目录
摘要
利用多尺度表示对于提高不同尺度对象的边缘检测至关重要。为了利用多尺度提取边缘,我们提出了一种全向级联网络(BDCN)结构,在该结构中,单个层由具有特定比例的标记边缘进行监督,而不是直接对所有CNN输出应用相同的监督。此外,为了丰富BDCN,我们引入了acale增强模块(SEM),以生成多尺度特征,而不是使用更深的CNN。这种新方法鼓励学习不同层中的多尺度表示,并检测其边缘,并按多尺度描绘边缘。该算法可以生成多尺度特征,而不是使用更深的CNN。它还可以生成具有分数参数的紧凑网络。
1.介绍
边界检查的目标在于提取对象的边界,保留图像的边界信息,忽略不重要的东西,现在有很多方法确实做得很好了,但是也有很多问题需要去研究,比如
,
一个人的边缘,手部的轮廓和头部的轮廓尺度就不一样,手弯弯曲曲很小,这样的边缘很难学习;但头部或者身体,就很宽很大,很好学习。那么如何解决多尺度问题就是边缘提取的重点。为了解决这个问题有人有人使用超深层神经网络结构,但是带来了大规模参数训练困难、耗时多、成本高的问题,有人采用图像金字塔与多级特征融合的方法,同时带来了冗余计算的问题。除网络结构问题外,还有训练策略的问题,在一定程度上都影响了最终的准确率。为了解决这些问题,作者就提出了一种双向的(bi-directional)级联网络结构,每个层的输出都被一个特定尺度的边缘label监督,这个特定尺度是网络自身学习到的。为了增强每个层输出的特征,使用类似ASPP结构的SEM模块产生多尺度特征。最后的输出是很多多尺度特征的融合。

2.相关工作
3.方法
3.1公式
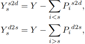
由于分辨尺度的不同,将结果集Y分为S个部分,那么
,人为的找到分辨率的尺度明显不现实,作者提出了用深度神经网络自己学习特定层的特定尺度,规定Ns是第S个卷积层的输出特征图,Ds是用于提取Ns的边缘的,Ps=Ds(Ns),那么第S层的损失函数为
,那么问题来了,Ys怎么求,作者提出了一种可能的解,那就是用结果集Y和除第s层以外的所预测的结果来求近似解,其公式为
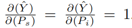
,但是,这个公式好像也有点毛病,作者指出根据
,对任意的s,损失L对Ps求导都相等,即
,这就相当于用了同一样的尺度去监督每一层,这和没有优化有啥区别,作者为了解决这个问题设计了一个新的算法,他的表示是这样的
,将Ys 再分解为两个互补的监督。其中一个忽略

本文介绍了全向级联网络(BDCN)在解决多尺度边缘检测问题上的创新方法。BDCN通过特定尺度的监督学习和尺度增强模块(SEM)生成多尺度特征,以提高边缘检测的准确性。网络结构避免了深层神经网络带来的复杂性和冗余计算,通过双向级联结构和优化的损失函数实现不同尺度边缘的精确检测。
最低0.47元/天 解锁文章
996





