在使用sentaurus TCAD的过程中,我们往往需要调试最后sdevice跑出来的Ion和Ioff大小。
调Ion和Ioff的目的:
1. 得到更好的器件性能;
2. 和实验中/文献中的IV曲线对上;
调Ion和Ioff的思路:
从影响因素上看,往往可以从器件的几何结构,器件掺杂和物理模型三个方面讨论。
从调试思路上看,为了校准IV,可以先调IV的shape,再校准Ioff,最后校准Ion。
调Ion和Ioff的具体过程记录:
步骤一:用sde搭建器件
这里,我们以bulk CMOS为例。首先用sde搭建一个几何模型,如图所示:
具体实现代码如下:(其中包含了许多可以调整的几何参数,有兴趣的同学可以自己设置)
; Reinitializing SDE
(sde:clear)
;Height of substrate
(define Hsub @Hsub@);1
(display "Height of substate: ") (display Hsub) (display "um")
(newline)
;Height of spacer
(define Hsp @Hsp@);0.1
(display "Height of spacer : ") (display Hsp) (display "um")
(newline)
;Length of total
(define Lsub @Lsub@);1
(display "Length of substrate: ") (display Lsub) (display "um")
(newline)
;Length of gate
(define Lg @Lg@);0.06
(display "Length of gate: ") (display Lg) (display "um")
(newline)
;Length of spacer
(define Lsp @Lsp@);0.2
(display "Length of pacer: ") (display Lsp) (display "um")
(newline)
;Length of oxide
(define Lox @Lox@);0.2
(display "Length of ox: ") (display Lox) (display "um")
(newline)
;oxide
(define Tox @Tox@);0.04
(display "Thickness of oxide: ") (display Tox) (display "um")
(newline)
;W
(define W @W@);
(display "Width: ") (display W) (display "um")
(newline)
(define Xsub (/ Lsub 2.0))
(define Ysub Hsub)
(define Xsp (/ Lsp 2.0))
(define Xox (/ Lox 2.0))
(define Xg (/ Lg 2.0))
; set coordinate system up direction
(sde:set-process-up-direction "+z")
; Selecting default Boolean expression
(sdegeo:set-default-boolean "ABA")
; Creating rectangular regions
(sdegeo:create-cuboid
(position (- Xsub) 0 0.0) (position Xsub Ysub W)
"Silicon" "substrate"
)
(sdegeo:create-cuboid
(position (- Xox) (- Tox) 0.0) (position Xox 0.0 W)
"Oxide" "R.Gateox"
)
(sdegeo:create-cuboid
(position (- Xsp) (- Hsp) 0.0) (position Xsp (- Tox) W)
"Nitride" "R.Spacer"
)
(define Tox2 @Tox2@);0.0002
(sdegeo:create-cuboid
(position (- (- Xg) Tox2) (- Hsp) 0.0) (position (+ Xg Tox2) (- Tox) W)
"Oxide" "R.Gateox2"
)
(sdegeo:create-cuboid
(position (- Xg) (- Hsp) 0.0) (position Xg (- Tox) W)
"Nitride" "R.Polygate"
)
(sdegeo:create-cuboid
(position (+ Xox 0.285) 0 0.0) (position (+ Xox 0.002) 0.001 W)
"Silicon" "R.del1"
)
(sdegeo:create-cuboid
(position (- (- Xox) 0.285) 0 0.0) (position (- (- Xox) 0.002) 0.001 W)
"Silicon" "R.del2"
)
(sdegeo:set-contact (find-body-id (position (+ Xox 0.1) 0.0005 (/ W 2))) "C.drain" "remove")
(sdegeo:set-contact (find-body-id (position (- (- Xox) 0.1) 0.0005 (/ W 2))) "C.source" "remove")
;(sdegeo:delete-region(find-body-id (position (+ Xox 0.1) 0.0005 (/ W 2) )))
; Rounding edges
;(sde:define-parameter "fillet-radius" 0.08 0.0 0.0 )
;(sdegeo:fillet-2d (find-vertex-id (position -0.2 -0.2 0.0)) fillet-radius)
;(sdegeo:fillet-2d (find-vertex-id (position 0.2 -0.2 0.0)) fillet-radius)
; Defining contacts
;(sdegeo:set-current-contact-set "C.source")
;(sdegeo:set-contact (find-face-id (position (- (- Xox) 0.05) 0 (/ W 2))) "C.source")
;(sdegeo:set-current-contact-set "C.drain")
;(sdegeo:set-contact (find-face-id (position (+ Xox 0.05) 0.0 (/ W 2))) "C.drain")
;(sdegeo:set-contact (find-face-id (position 0.0 (- Hsp) (/ W 2))) "gate" )
(sdegeo:set-contact (find-face-id (position 0.0 Hsub (/ W 2))) "C.substrate")
(sdegeo:set-contact (find-body-id (position 0.0 (- Hsp) (/ W 2))) "gate" "remove")
; Constant doping profile definions
(sdedr:define-constant-profile "Const.Bulk" "BoronActiveConcentration" @d_bulk@)
(sdedr:define-constant-profile-region "PlaceCD.Bulk"
"Const.Bulk" "substrate")
(sdedr:define-constant-profile "Const.Poly" "ArsenicActiveConcentration" @d_poly@)
(sdedr:define-constant-profile-region "PlaceCD.Poly"
"Const.Poly" "R.Polygate")
(define L_dop_sd_g @L_dop_sd_g@);0.01
; S/D Imp
(sdedr:define-refeval-window "BaseLine.Source" "cuboid"
(position (- (- Xg) L_dop_sd_g) @depth_sd@ 0.0) (position (- Xsub) 0.0 W) )
(sdedr:define-refeval-window "BaseLine.Drain" "cuboid"
(position (+ Xg L_dop_sd_g) @depth_sd@ 0.0) (position Xsub 0.0 W) )
(sdedr:define-gaussian-profile "Gauss.SourceDrain"
"ArsenicActiveConcentration" "PeakPos" 0.0 "PeakVal" @d_sd@
"ValueAtDepth" (* 0.1 @d_sd@) "Depth" @dep_sd@ "Gauss" "Factor" @G_factor@)
(sdedr:define-analytical-profile-placement "PlaceAP.Source"
"Gauss.SourceDrain" "BaseLine.Source" "Both" "NoReplace" "Eval")
(sdedr:define-analytical-profile-placement "PlaceAP.Drain"
"Gauss.SourceDrain" "BaseLine.Drain" "Both" "NoReplace" "Eval")
(define ldd_dop @ldd_dop@);1e19
(define ldd_l @ldd_l@);0.01
(define ldd_h @ldd_h@);0.01
#if @ADD_LDD@ == 1
;LDD Imp
(sdedr:define-refinement-window "ldd.Source" "cuboid"
(position (+ (- Xg) @ldd_l@) 0.0 0.0) (position (- (- Xg) 0.05) @ldd_h@ W) )
(sdedr:define-refinement-window "ldd.Drain" "cuboid"
(position (- Xg @ldd_l@) 0.0 0.0) (position (+ Xg 0.05) @ldd_h@ W) )
(sdedr:define-constant-profile "ldd" "ArsenicActiveConcentration" @ldd_dop@ )
(sdedr:define-constant-profile-placement "ldd-place" "ldd" "ldd.Drain")
(sdedr:define-constant-profile-placement "ldd-place1" "ldd" "ldd.Source")
#endif
; Meshing strategies
(sdedr:define-refeval-window "RefWin.Global" "cuboid"
(position (- Xsub) 0 0.0) (position Xsub Ysub W) )
(sdedr:define-refinement-size "RefDef.Global"
0.1 0.1
0.04 0.04
0.08 0.08 )
(sdedr:define-refinement-placement "Place.Global"
"RefDef.Global" "RefWin.Global" )
(sdedr:define-refeval-window "RefWin.Active" "cuboid"
(position (- Xox) -0.2 0 ) (position Xox 0.2 W))
(sdedr:define-refinement-size "RefDef.Active"
0.06 0.06
0.05 0.05
0.1 0.1 )
(sdedr:define-refinement-placement "Place.Active"
"RefDef.Active" "RefWin.Active")
(sdedr:define-refeval-window "RefWin.channel" "cuboid"
(position (- (- Xox) 0.1) 0 0) (position (+ 0.1 Xox) 0.3 W))
(sdedr:define-refinement-size "RefDef.channel"
@refine_size_max@ @refine_size_max@
@refine_size_min@ @refine_size_min@
0.1 0.1)
(sdedr:define-refinement-placement "Place.Global"
"RefDef.channel" "RefWin.channel" )
; Saving the model
(sde:save-model "n@node@_geo")
; Build Mesh
(sde:build-mesh "n@node@_msh")
sde中参数设置如下

步骤二:用sdevice给器件电流仿真激励
#define _CAR1_ Electron
#define _DG_ eQuantumPotential
#define _Vdd_ @Vd@
#define _VdLin_ @Vg@
Electrode{
{ Name="C.source" Voltage= 0.0 }
{ Name="C.drain" Voltage= 0.0 }
{ Name="gate" Voltage=0.0 Schottky Workfunction=@WF@}
{ Name="C.substrate" Voltage= 0.0 }
}
File {
Grid= "@tdr@"
Plot= "@tdrdat@"
Current="@plot@"
Output= "@log@"
Parameter = "@parameter@"
}
Physics {
Fermi
Mobility (
PhuMob
Enormal( @Enormal@)
)
}
Plot{
*--Density and Currents, etc
VertexIndex
eJouleHeat
eDensity hDensity
TotalCurrent/Vector eCurrent/Vector hCurrent/Vector
eMobility hMobility
eVelocity hVelocity
eQuasiFermi hQuasiFermi
*--Temperature
eTemperature Temperature hTemperature
*--Fields and charges
ElectricField/Vector Potential SpaceCharge
*--Doping Profiles
Doping DonorConcentration AcceptorConcentration
*--Generation/Recombination
SRH Band2Band * Auger
* AvalancheGeneration eAvalancheGeneration hAvalancheGeneration
*--Driving forces
eGradQuasiFermi/Vector hGradQuasiFermi/Vector
eEparallel hEparallel eENormal hENormal
*--Band structure/Composition
BandGap
BandGapNarrowing
Affinity
ConductionBand ValenceBand
eQuantumPotential hQuantumPotential
*--Stress related data
StressXX StressYY StressZZ
StressXY StressXZ StressYZ
}
Math {
Extrapolate
Derivatives
RelErrControl
Digits=5
RHSmin=1e-10
Notdamped=100
Iterations=500
DirectCurrent
ExitOnFailure
*Method=ParDiso
}
Solve{
#-initial solution:
NewCurrentPrefix="init_"
Coupled(Iterations= 100 LineSearchDamping= 1e-4 ){ Poisson _DG_}
Coupled { Poisson _CAR1_ _DG_ }
#----------------------------------------------------------------------#
#- IdVg
#if @IdVd@ == 0
#----------------------------------------------------------------------#
#-ramp drain
Quasistationary(
InitialStep= 1e-7
MaxStep= 0.1 Minstep= 1.e-15
Increment= 1.3
Goal { Name="C.drain" Voltage=@Vd@ }
){ Coupled{ Poisson _CAR_ _DG_} }
NewCurrentPrefix="IdVg_VdLin_"
#-ramp gate:
Quasistationary(
DoZero
InitialStep= 1.e-8
MaxStep= 0.01 Minstep= 1.e-15
Increment= 1.3
Goal{ Name="gate" Voltage=@Vg@ }
){ Coupled{ Poisson _CAR_ _DG_} }
#----------------------------------------------------------------------#
#- IdVd
#else
#----------------------------------------------------------------------#
Quasistationary(
InitialStep= 1e-3 Increment= 1.25
Minstep= 1e-5 MaxStep= 0.2
Goal{ Name="gate" Voltage= 0 }
){ Coupled{ Poisson _CAR1_ _DG_ } }
Quasistationary(
InitialStep= 1e-3 Increment= 1.2
Minstep= 1e-5 MaxStep= 0.2
Goal{ Name="gate" Voltage= @Vg@ }
){ Coupled{ Poisson _CAR1_ _DG_ }
Save(
FilePrefix="n@node@"
Time=(Range=(0 1) Intervals= @<IdVd-1>@ )
NoOverWrite
)
}
*- Vd sweeps
!(
for { set i 0 } { $i < @IdVd@ } { incr i } {
set Number [format "%04d" $i]
puts "
NewCurrentPrefix=\"IdVd_${i}_\"
Load(FilePrefix=\"n@node@_$Number\")
Quasistationary(
DoZero
InitialStep=1e-5 Increment=1.5
MinStep=1e-5 MaxStep=0.02
Goal \{ Name=\"drain\" Voltage= _Vdd_ \}
)\{ Coupled \{ Poisson _CAR_ _DG_ \}
CurrentPlot( Time=(Range=(0 0.25) Intervals=100;
Range=(0.25 1) Intervals=30) )
\}"
}
)!
#endif
}
对IV shape影响很大的因素有
首先对IV的shape进行调整, 对IV shape影响很大的因素有:
1. 功函数@WF@ :nmos功函数的范围要在4.0-4.5v之内,不然IV的shape会很奇怪。 笔者往往用WF来调整Ioff(Ion影响较小),对nmos,WF越大,Ioff越小。
2. 氧化层的厚度@Tox@: 一般来说,Tox越薄,跑出来的Ion越大,Ioff越小。(一般范围在0.8nm-8nm以内)
3. 各种掺杂::这个根据不同器件的文献找对应的参数或者问chatgpt即可。
bulk的掺杂@d_bulk@ S/D的掺杂@d_sd@ LDD的掺杂@d_ldd@ 【有时候会遇到Ioff降不下去的情况,这个时候可以考虑加一个轻掺杂LDD】
一般来说,可以根据这几个参数确定大概的IV shape,还有其他的参数可以细调。笔者下一篇再详细讨论。
邮箱:rujia_sj@sjtu.edu.cn
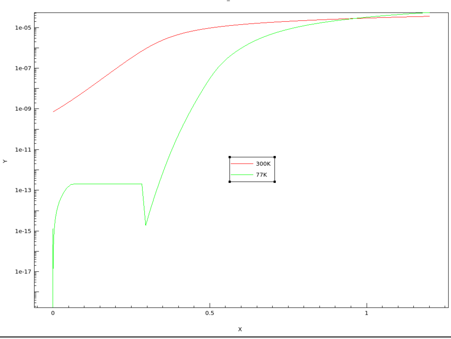
目前Vd=0.1V下的Vg-Id结果,环境温度在77K和300K下的结果。


1232

被折叠的 条评论
为什么被折叠?



