传统的磁悬浮轴承系统需要安装多个位移传感器,这不仅增加了系统的复杂度和成本,还限制了其在高温、高速等极端环境下的应用。自传感技术的出现为解决这一难题提供了创新方案。
1. 引言
磁悬浮轴承通过电磁力将转子悬浮在空中,实现转子与定子之间的无接触支撑,具有无摩擦、无润滑、高速度等优点,在高速电机、飞轮储能、离心压缩机等领域有着广泛应用。然而,传统磁悬浮轴承系统需要安装多个位移传感器来检测转子位置,这不仅增加了系统的体积和成本,还降低了可靠性,限制了应用范围。
自传感磁悬浮轴承(Self-Sensing Magnetic Bearing)技术利用已有的功率放大器和电磁线圈,通过提取电信号中的转子位置信息,实现同时驱动与传感的功能,消除了对物理位移传感器的依赖。本文将深入解析自传感磁悬浮轴承的技术原理、实现方法和关键技术挑战。
2. 磁悬浮轴承基础原理
2.1 电磁力数学模型
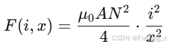
磁悬浮轴承的基本工作原理基于麦克斯韦电磁理论。对于简单的单自由度磁轴承,电磁力可以表示为:

其中:
-
为电磁力
-
为真空磁导率
-
为磁极面积
-
为线圈匝数
-
为线圈电流
-
为气隙长度
在实际应用中,通常采用线性化模型。当转子在平衡位置附近小范围波动时,电磁力可以近似为:
![]()
其中 为电流刚度系数,
为位移刚度系数。
2.2 传统磁轴承系统结构
传统磁悬浮轴承系统包含以下关键组件:
-
位移传感器:检测转子位置
-
控制器:处理位置信号并生成控制指令
-
功率放大器:驱动电磁铁
-
电磁铁:产生电磁力
-
转子:被悬浮对象
这种结构的主要缺点是位移传感器增加了系统复杂性,且在高温、强振动等恶劣环境下容易失效。
3. 自传感技术基本原理
3.1 核心思想
自传感技术的基本思想是:电磁线圈的电参数(电感、电阻)会随着转子位置的变化而改变,通过检测这些电参数的变化,可以反推出转子的位置信息。
线圈的电感可以表示为:

其中 为磁路磁阻。可以看出,线圈电感与气隙长度

最低0.47元/天 解锁文章
1685

被折叠的 条评论
为什么被折叠?



