[数据自习室]第一周-数据的描述性统计
数据的集中趋势
**众数:**出现次数最多的数。
**中位数:**按顺序排序,处于中间位置的数。
**平均数:**一般指的是 算术平均数。
**极差:**最大值与最小值之间的差距。
**分位数:**亦称分位点,是指将一个随机变量的概率分布范围分为几个等份的数值点,常用的有中位数(即二分位数)、四分位数、百分位数等。
1.二分位数
对于有限的数集,可以通过把所有观察值高低排序后找出正中间的一个作为中位数。如果观察值有偶数个,则中位数不唯一,通常取最中间的两个数值的平均数作为中位数,即二分位数。
2.四分位数
四分位数(Quartile)是统计学中分位数的一种,即把所有数值由小到大排列并分成四等份,处于三个分割点位置的数值就是四分位数。
1)第一四分位数(Q1),又称“较小四分位数”,等于该样本中所有数值由小到大排列后第25%的数字;
2)第二四分位数(Q2),又称“中位数”,等于该样本中所有数值由小到大排列后第50%的数字;
3)第三四分位数(Q3),又称“较大四分位数”,等于该样本中所有数值由小到大排列后第75%的数字。
第三四分位数与第一四分位数的差距又称四分位差。
3.百分位数
百分位数,如果将一组数据从小到大排序,并计算相应的累计百分位,则某一百分位所对应数据的值就称为这一百分位的百分位数。运用在教育统计学中,例如表现测验成绩时,称PR值。
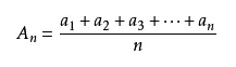
算术平均数:
算术平均数是指在一组数据中所有数据之和再除以数据的个数。它是反映数据集中趋势的一项指标。

加权平均数:
加权平均数是不同比重数据的平均数,加权

本文详细介绍了数据的描述性统计,包括集中趋势(众数、中位数、平均数、极差、分位数)、离中趋势(方差、标准差、极差、平均差)、相对离散程度(离散系数)和分布形状(偏态系数、峰态系数)。内容涵盖了数值型、顺序和分类数据的统计指标。
最低0.47元/天 解锁文章
623

被折叠的 条评论
为什么被折叠?



