学习笔记第一周
数据的描述性统计0715-0721
目录

一、数据的集中趋势
1.众数:
一组数据中,出现次数最多的那个数,用大写字母 M 表示。 一组数据可以有多个众数,也可以没有众数。 用众数代表一组数据,可靠性较差,不过众数不受极端数据的影响,并且求法简便。在一组数据中,如果个别数据有很大的变动,选择中位数表示这组数据的“集中趋势”就比较适合。 众数的三种求解方法: 观察法:直接找出次数最多的那组数 ;金氏插入发法;皮尔逊经验法
2.中位数:
按顺序排序,处于中间位置的数。一组数据中,从小到大排序,或者从大到小排序,正中间那个数就是中位 数。如果是这组数据是奇数个数,则为中间那个数,如果是偶数个数,则为中间那两个数的平均数。 在概率密度函数中,中位数就是把整个图分成两边面积相等的地方。
3.平均数:
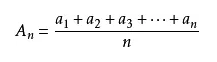
一般指的是 算术平均数。表示一组数据集中趋势的量数,是指在一组数据中所有数据之和再除以 这组数据的个数。易受到极端数据的影响。
算数平均数: 
几何平均数 :![]()
加权平均数:

本文介绍了数据的描述性统计,包括数据的集中趋势(众数、中位数、平均数和分位数),离中趋势(方差、标准差、极差和四分位差),相对离散程度(离散系数)以及分布的形状(偏态系数和峰态系数)。通过这些统计量,可以更好地理解和分析数据的特性。
最低0.47元/天 解锁文章
2万+

被折叠的 条评论
为什么被折叠?



