基础概述
YUV 是一种颜色编码方法,和它等同的还有 RGB 颜色编码方法。
RGB颜色编码
RGB 三个字母分别代表了 红(Red)、绿(Green)、蓝(Blue),这三种颜色称为 三原色,将它们以不同的比例相加,可以产生多种多样的颜色。
在图像显示中,一张 1280 * 720 大小的图片,就代表着它有 1280 * 720 个像素点。其中每一个像素点的颜色显示都采用 RGB 编码方法,将 RGB 分别取不同的值,就会展示不同的颜色。

RGB 图像中,每个像素点都有红、绿、蓝三个原色,其中每种原色都占用 8 bit,也就是一个字节,那么一个像素点也就占用 24 bit,也就是三个字节。
一张 1280 * 720 大小的图片,就占用 1280 * 720 * 3 / 1024 / 1024 = 2.63 MB 存储空间。
YUV 颜色编码
YUV 颜色编码采用的是 明亮度 和 色度 来指定像素的颜色。
其中,Y 表示明亮度(Luminance、Luma),而 U 和 V 表示色度(Chrominance、Chroma)。
而色度又定义了颜色的两个方面:色调和饱和度。
使用 YUV 颜色编码表示一幅图像,它应该下面这样的。

和 RGB 表示图像类似,每个像素点都包含 Y、U、V 分量。但是它的 Y 和 UV 分量是可以分离的,如果没有 UV 分量一样可以显示完整的图像,只不过是黑白的。
对于 YUV 图像来说,并不是每个像素点都需要包含了 Y、U、V 三个分量,根据不同的采样格式,可以每个 Y 分量都对应自己的 UV 分量,也可以几个 Y 分量共用 UV 分量。
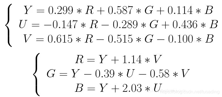
RGB 到 YUV 的转换
对于图像显示器来说,它是通过 RGB 模型来显示图像的,而在传输图像数据时又是使用 YUV 模型,这是因为 YUV 模型可以节省带宽。因此就需要采集图像时将 RGB 模型转换到 YUV 模型,显示时再将 YUV 模型转换为 RGB 模型。
RGB 到 YUV 的转换,就是将图像所有像素点的 R、G、B 分量转换到 Y、U、V 分量。

YUV 采样格式
YUV 图像的主流采样方式有如下三种:
- YUV 4:4:4 采样
- YUV 4:2:2 采样
- YUV 4:2:0 采样
YUV 4:4:4 采样
YUV 4:4:4 采样,意味着 Y、U、V 三个分量的采样比例相同,因此在生成的图像里,每个像素的三个分量信息完整,都是 8 bit,一个像素点大小也就是3字节。

其中,Y 分量用叉表示,UV 分量用圆圈表示。
举个例子 :
假如图像像素为:[Y0 U0 V0]、[Y1 U1 V1]、[Y2 U2 V2]、[Y3 U3 V3]
那么采样的码流为:Y0 U0 V0 Y1 U1 V1 Y2 U2 V2 Y3 U3 V3
最后映射出的像素点依旧为 [Y0 U0 V0]、[Y1 U1 V1]、[Y2 U2 V2]、[Y3 U3 V3]
可以看到这种采样方式的图像和 RGB 颜色模型的图像大小是一样,并没有达到节省带宽的目的,当将 RGB 图像转换为 YUV 图像时,也是先转换为 YUV 4:4:4 采样的图像。
YUV 4:2:2 采样
YUV 4:2:2 采样,意味着 UV 分量是 Y 分量采样的一半,Y 分量和 UV 分量按照 2 : 1 的比例采样。如果水平方向有 10 个像素点,那么采样了 10 个 Y 分量,而只采样了 5 个 UV 分量。

其中,Y 分量用叉表示,UV 分量用圆圈表示。
采样的码流映射为像素点,还是要满足每个像素点有 Y、U、V 三个分量。但是可以看到,第一和第二像素点公用了 U0、V1 分量,第三和第四个像素点公用了 U2、V3 分量,这样就节省了图像空间。
一张 1280 * 720 大小的图片,在 YUV 4:2:2 采样时的大小为:(1280 * 720 * 8 + 1280 * 720 * 0.5 * 8 * 2)/ 8 / 1024 / 1024 = 1.76 MB 。
可以看到 YUV 4:2:2 采样的图像比 RGB 模型图像节省了三分之一的存储空间,在传输时占用的带宽也会随之减少。
YUV 4:2:0 采样
YUV 4:2:0 采样,并不是指只采样 U 分量而不采样 V 分量。而是指,在每一行扫描时,只扫描一种色度分量(U 或者 V),和 Y 分量按照 2 : 1 的方式采样。比如,第一行扫描时,YU 按照 2 : 1 的方式采样,那么第二行扫描时,YV 分量按照 2:1 的方式采样。对于每个色度分量来说,它的水平方向和竖直方向的采样和 Y 分量相比都是 2:1

举个例子 :
假设图像像素为:
[Y0 U0 V0]、[Y1 U1 V1]、 [Y2 U2 V2]、 [Y3 U3 V3]
[Y5 U5 V5]、[Y6 U6 V6]、 [Y7 U7 V7] 、[Y8 U8 V8]
那么采样的码流为:Y0 U0 Y1 Y2 U2 Y3 Y5 V5 Y6 Y7 V7 Y8
其中,每采样过一个像素点,都会采样其 Y 分量,而 U、V 分量就会间隔一行按照 2 : 1 进行采样。
最后映射出的像素点为:
[Y0 U0 V5]、[Y1 U0 V5]、[Y2 U2 V7]、[Y3 U2 V7]
[Y5 U0 V5]、[Y6 U0 V5]、[Y7 U2 V7]、[Y8 U2 V7]
从映射出的像素点中可以看到,四个 Y 分量是共用了一套 UV 分量,而且是按照 2*2 的小方格的形式分布的,相比 YUV 4:2:2 采样中两个 Y 分量共用一套 UV 分量,这样更能够节省空间。
一张 1280 * 720 大小的图片,在 YUV 4:2:0 采样时的大小为:
(1280 * 720 * 8 + 1280 * 720 * 0.25 * 8 * 2)/ 8 / 1024 / 1024 = 1.32 MB 。
可以看到 YUV 4:2:0 采样的图像比 RGB 模型图像节省了一半的存储空间,因此它也是比较主流的采样方式。
YUV 存储格式
YUV 存储格式有两种:
- planar平面格式
- 指连续存储所有像素点的YUV分量
- packed打包格式
- 指每个像素点的YUV分量是连续交替存储的
根据采样方式和存储格式的不同,就有了多种 YUV 格式。这些格式主要是基于 YUV 4:2:2 和 YUV 4:2:0 采样。
常见的基于 YUV 4:2:2 采样的格式有
- YUYV
- UYVY
- YUV 422P格式
常见的基于YUV 4:2:0 采样的格式有
| YUV 4:2:0 采样 | YUV 4:2:0 采样 | |
|---|---|---|
| YUV 420P 类型 | YV12 格式 | YU12 格式 |
| YUV 420SP 类型 | NV12 格式 | NV21 格式 |
基于 YUV 4:2:2 采样的格式
YUV 4:2:2 采样规定了 Y 和 UV 分量按照 2: 1 的比例采样,两个 Y 分量公用一组 UV 分量。
YUYV 格式
YUYV个税是采用打包格式进行存储的,指每个像素点都采用Y分量,但是每隔一个像素采样它的UV分量。

Y0 和 Y1 公用 U0 V0 分量,Y2 和 Y3 公用 U2 V2 分量。
UYVY 格式
UYVY 格式也是采用打包格式进行存储,它的顺序和 YUYV 相反,先采用 U 分量再采样 Y 分量,排列顺序如下:

YUV 422P 格式
YUV 422P 格式,又叫做 I422,采用的是平面格式进行存储,先存储所有的 Y 分量,再存储所有的 U 分量,再存储所有的 V 分量。
基于 YUV 4:2:0 采样的格式
YUV420SP 和 YUV420P
YUV 420P 和 YUV 420SP 都是基于 Planar 平面模式 进行存储的,先存储所有的 Y 分量后, YUV420P 类型就会先存储所有的 U 分量或者 V 分量,而 YUV420SP 则是按照 UV 或者 VU 的交替顺序进行存储了。
YUV420SP

YU12 和 YV12 格式都属于 YUV 420P 类型,即先存储 Y 分量,再存储 U、V 分量,区别在于:YU12 是先 Y 再 U 后 V,而 YV12 是先 Y 再 V 后 U 。
YUV420P
NV12 和 NV21 格式都属于 YUV420SP 类型。它也是先存储了 Y 分量,但接下来并不是再存储所有的 U 或者 V 分量,而是把 UV 分量交替连续存储。
NV12 是 IOS 中有的模式,它的存储顺序是先存 Y 分量,再 UV 进行交替存储。NV21 是 安卓 中有的模式,它的存储顺序是先存 Y 分量,在 VU 交替存储。
本文详细介绍了YUV颜色编码系统,包括RGB到YUV的转换、YUV的采样格式(4:4:4, 4:2:2, 4:2:0)以及不同存储格式(如YUYV, UYVY, YUV420SP, YUV420P)。YUV编码通过分离亮度和色度信息,能有效节省存储空间,常用于图像传输和处理。"
124068731,13376367,CSS渐变背景与交互效果实践,"['CSS', '前端开发', '网页交互']
206

被折叠的 条评论
为什么被折叠?



