题目:The Number of Inversions
题面:
For a given sequence , the number of pairs where and , is called the number of inversions. The number of inversions is equal to the number of swaps of Bubble Sort defined in the following program:
bubbleSort(A)
cnt = 0 // the number of inversions
for i = 0 to A.length-1
for j = A.length-1 downto i+1
if A[j] < A[j-1]
swap(A[j], A[j-1])
cnt++
return cnt
For the given sequence , print the number of inversions of . Note that you should not use the above program, which brings Time Limit Exceeded.
Input
In the first line, an integer , the number of elements in , is given. In the second line, the elements () are given separated by space characters.
output
Print the number of inversions in a line.
Constraints
- are all different
Sample Input 1
5
3 5 2 1 4
Sample Output 1
6
Sample Input 2
3
3 1 2
Sample Output 2
2
题解:
递归回溯是个奇妙的东西,几乎很多难题都要用到递归和回溯,能解出更多的解法,也能将所有情况都考虑到
逆序对 ,如果存在正整数 i, j 使得 1 ≤ i < j ≤ n 而且 A[i] > A[j],则 <A[i], A[j]> 这个有序对称为 A 的一个逆序对,也称作逆序数。
例如,数组(3,1,4,5,2)的逆序对有(3,1),(3,2),(4,2),(5,2),共4个,数据在数组中的位置是左边,但是数值比右边的某些数据大,这两个就组成 了一个 逆序对。
求解 逆序对方法:
1.最原始的 冒泡法
#include<stdio.h>
#include<iostream>
#include<string.h>
using namespace std;
typedef long long ll;
#include<stdio.h>
int b[10];
int main()
{
int num,i,j,k=0;
scanf("%d",&num);
for(i=0;i<num;i++)
scanf("%d",&b[i]);
for(i=0;i<num-1;i++)
for(j=0;j<num-1-i;j++)
{
if(b[j]>b[j+1])
{
swap(b[j],b[j+1]);
k++;
}
}
printf("%d",k);
return 0;
}
时间复杂度 是O(n^2) 数据大的时候,就会超时。这个方法是很容易理解的,我就不做解释了,c语言的书上有相关的解释,这个还是很简单的,但不是最优的解法。
2.二分并归排序 求解逆序对
我一开始也是众多迷茫读者中的一个,因为网上的题解都是些图解(不是图解不好),但是对于ACM新手来说,由图解就上手敲代码,还是很困难的(要经过很长的时间和大量的题的磨练才能够到达的)。
首先它是递归回溯与二分的一个结合,任何其中的一个都是比较难实现的,这里我们先将 递归回溯 和 二分 分开来考虑,因为这里面有很多的状态跳转,很不好理解。
第一先知道二分是怎么分的,看图解

https://visualgo.net/zh 这是一个 模拟排序的动画,大家可以看看,应该是很有帮助的。分区间(是由递归)和 合并区间(是由一个辅助数组来实现的)。
代码实现有些注释已经附上:
#include<stdio.h>
#include<iostream>
#include<string.h>
using namespace std;
typedef long long ll;
const ll maxn=200005;
ll a[maxn],b[maxn];
ll count;
void merge_sort1(ll x,ll mid,ll y)
{
//以下 是 将左右部分比较,谁小 就将谁装进b数组(辅助数组),这样就保证b中 是有序的。
ll i=x,j=mid+1,k=x;
while(i<=mid&&j<=y)
{
if(a[i]<=a[j])
b[k++]=a[i++]; //如果左边区间的某个元素小于右半边的元素,就不用考虑逆序对,因为这不是逆序对,就将左边区间元素下标+1,再比。
else
{
b[k++]=a[j++];
count+=mid-i+1; //在比较两边的区间 元素时,mid 两边的 区间 全是有序的,mid - i + 1 就是 中间 mid点(也包括mid 处点的元素) 到比较的左点 之间有几个元素,因为左边(右边)全是有序的,之间有几个元素,那就有几个比右半边元素大的逆序对。然后右半边的元素下标+1,再比.
}
}
// 以下的部分 就是 两边的东西谁比较大,就将大的装进b数组 (辅助数组)。
while(i<=mid)
b[k++]=a[i++];
while(j<=y)
b[k++]=a[j++];
// 再把b数组 中的东西 从x 到 y b数组中已经有序的东西,复制进 a 数组。
for(i=x;i<=y;i++)
a[i]=b[i];
//经过以上两个 部分 ,就将 从 x 到 y 的部分 排好序了。
}
void merge_sort(ll x,ll y)
{
if(x==y) //递归分区间,结束标志
return ;
ll mid=(x+y)/2; //每次取半
merge_sort(x,mid); // 先排左边(不是一开始到这里就排,而是要回溯时,用 merge_sort1(x,mid,y)去排) ,这里是可以分区间,分出左边以两个为一组的区间。
merge_sort(mid+1,y); // 再排右边(不是一开始到这里就排,而是要回溯时,用 merge_sort1(x,mid,y)去排) ,这里也是分区间的,分出右边以两个为一组的区间。
merge_sort1(x,mid,y); // 这部好了的话,就是(左或者右的一半) 已经排好了,进行下一半的排序。
//递归: 先递归找到最小的区间(有两个组成的)。
//回溯: 由小的区间 到大的区间,去排左右两边的区间 里的元素。
}
int main()
{
ll num;
ll i;
scanf("%lld",&num);
for(i=0;i<num;i++)
scanf("%lld",&a[i]);
merge_sort(0,num-1);
printf("%lld\n",count);
return 0;
}
如何分区间,是个重要的部分,这才能保证,怎么说呢,你才不会有BUG,不会出错。
看了上面的 代码,我们先来 弄懂 它是怎么用代码实现 分区间的。
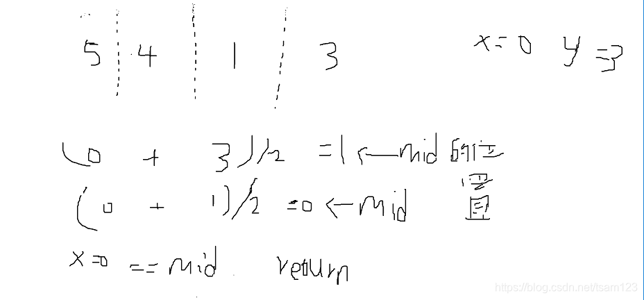
mid=(x+y)/2 , 这个x(一个区间的起始) 和y(一个区间的结束)和 mid 都是数组中的下标,不是数组的长度,就如 5 4 1 3 起始x位置 0 ,y位置 3 , mid = (x+y)/2=1 分 区间, mid=1处 , x=0 , y=3; 这时想想,什么时候还能再分?,当x 和 mid 相等的时候,就相当于x位置处的数据和mid 位置处的数据相同,这时,就不能再分出来,这其实上就用了递归了。 我们已经分好左半边的了,如何分右边的?方法一样 用 x=mid+1 , 和 y=区间的结束位置。不断mid=(x+y)/2,当 mid 与 x 相等的时候,就不能再分区间了。

分完区间后 ,就要考虑到如何排序,通过比较来找逆序对,这个过程 是包含在分区间 中的,它是一边分区间,一边比较排序的,不是一个个独立的过程,递归分区间,回溯时,就可以去排序,找逆序对。
下面看看如何来 求逆序对和排序。
先附上图解:

这个图解是每次回溯是都会这样排。下面 看看代码实现
void merge_sort1(ll x,ll mid,ll y)
{
//以下 是 将左右部分比较,谁小 就将谁装进b数组(辅助数组),这样就保证b中 是有序的。
ll i=x,j=mid+1,k=x;
while(i<=mid&&j<=y)
{
if(a[i]<=a[j])
b[k++]=a[i++]; //如果左边区间的某个元素小于右半边的元素,就不用考虑逆序对,因为这不是逆序对,就将左边区间元素下标+1,再比。
else
{
b[k++]=a[j++];
count+=mid-i+1; //在比较两边的区间 元素时,mid 两边的 区间 全是有序的,mid - i + 1 就是 中间 mid点(也包括mid 处点的元素) 到比较的左点 之间有几个元素,因为左边(右边)全是有序的,之间有几个元素,那就有几个比右半边元素大的逆序对。然后右半边的元素下标+1,再比.
}
}
// 以下的部分 就是 两边的东西谁比较大,就将大的装进b数组 (辅助数组)。
while(i<=mid)
b[k++]=a[i++];
while(j<=y)
b[k++]=a[j++];
// 再把b数组 中的东西 从x 到 y b数组中已经有序的东西,复制进 a 数组。
for(i=x;i<=y;i++)
a[i]=b[i];
//经过以上两个 部分 ,就将 从 x 到 mid+1 的部分 排好序了。
}
在这里,我们需要一个辅助数组来辅助,每次排好,都需要往原来的数组里复制一下,在这里,我们需要很多的下标变量来往辅助数组里面装东西,由上图可知,我们需要分别比较两边区间(都是已经排好序的)各个位数据的大小,则就要三个 i , j , k ,来分别匹配左半边区间的开始位置,右半边区间的开始位置,左区间的开始位置,如果左半边的元素小于右半边的对应元素,则就把左半边这个元素装进辅助数组中,否则就把右半边的这个元素装进辅助元素中,当装的时候,相应的下表变量也会变化,当i和j都小于相应的(mid)和(y)时,就继续比较来排序,当其中一个不满足时,就不在比了(因为都是有序的)。这时辅助数组中的值都是有序的,并且都是两边区间比较小的,两边区间有一个的i或者j已经大于mid或者y。这时该往辅助数组里面排剩下区间的元素,如果i<=mid 就把左半边区间(剩下的)的元素装到辅助数组里面(装的时候辅助数组肯定是有序的),如果j<=y(又区间的结束)时,就装它剩下的元素,为什么就能精确的装那个数据呢?因为有下标变量i,j,k(是辅助数组的下标)来控制。
这样就能使辅助数组中是有序的,然后再将辅助数组的有序元素,一个一个都装到原来数组中,这样就保证有序了。
以上的过程都是每次回溯时要做的,每次排的时候都会上演一次,不只是最后一次排的。
先用递归分区间在这之后用一个合并的函数,而这就是用递归一步一步分和分和实现的。
接下来,怎么来求逆序对,上面已经有了定义了,逆序对就是下标与数据大小不同步,看一下,什么时候有逆序对
while(i<=mid&&j<=y)
{
if(a[i]<=a[j])
b[k++]=a[i++];
else
{
b[k++]=a[j++];
count+=mid-i+1;
}
}
当正常比后面区间各个数据小的时候,是没有逆序对的,当比后面区间大的时候,这时就会有了逆序对,而计数器count=mid-i+1就是这时候的逆序对的数量,由上面说的,这个 mid 就是 在数组中的下标,mid - i+1 就是 mid 到 i的距离 ,这个距离 就是 此时的逆序对的个数,因为 这个 距离 就是 mid 与 i 之间 的 左区间元素的个数 ,因为 左区间是递增 的 ,所以 x 到 mid 之间所有的点 的个数 就是 逆序对的个数,当然 下一个 状态 还是可能会有逆序对的 ,每一次和回溯 ,都会 经过这个过程。
如果还有什么 不懂的话,可以去VS 上调试几遍,弄懂。
这个时间复杂度是O(nlog^(n));
557

被折叠的 条评论
为什么被折叠?



