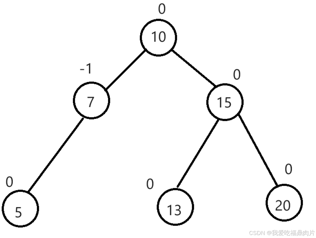
AVL树是什么
AVL树是在平衡二叉树的基础上改进的。

特点:
- AVL树每个节点的平衡因子只可能是 -1, 1, 0
- 在AVL树中,任何节点的两个子树的高度最大差别为1,因此它也被称为高度平衡树。
- AVL树在插入和删除节点时,能够通过旋转操作自动调整树的结构,以保持树的平衡性。
AVL树的实现
功能:
- 插入
- 删除
- 查找
掌握插入即可
AVL树的节点
和二叉搜索树相似,AVL树多了一个平衡因子
template<class K, class V>
struct AVLTreeNode
{
// 需要parent指针,后续更新平衡因子可以看到
pair<K, V> _kv;
AVLTreeNode<K, V>* _left;
AVLTreeNode<K, V>* _right;
AVLTreeNode<K, V>* _parent;
int _bf; // balance factor
AVLTreeNode(const pair<K, V>& kv)
:_kv(kv)
, _left(nullptr)
, _right(nullptr)
, _parent(nullptr)
, _bf(0)
{}
};
ALV树的插入
插入数据要更新平衡因子,如果高度差大于一,就需要通过旋转平衡。
AVL树旋转操作分4种类型:
右单旋
左单旋
右左双旋
左右双旋
- 右单旋

2. 左单旋

3. 左右双旋

- 右左双旋
左右双旋反过来就是右左双旋。(省略画图)
bool Insert(const pair<K, V>& kv) //插入节点
{
if (_root == nullptr)
{
_root = new Node(kv);
return true;
}
Node* parent = nullptr;
Node* cur = _root;
while (cur)
{
if (cur->_kv.first < kv.first)
{
parent = cur;
cur = cur->_right;
}
else if (cur->_kv.first > kv.first)
{
parent = cur;
cur = cur->_left;
}
else
{
return false;
}
}
cur = new Node(kv);
if (parent->_kv.first < kv.first)
{
parent->_right = cur;
cur->_parent = parent;
}
else
{
parent->_left = cur;
cur->_parent = parent;
}
//管控平衡
while (parent) //当为根时,停止
{
if (cur == parent->_left)
{
parent->_bf--;
}
else
{
parent->_bf++;
}
if (parent->_bf == 0)
{
break;
}
else if (parent->_bf == 1 || parent->_bf == -1)
{
cur = parent;
parent = parent->_parent;
}
else if (parent->_bf == 2 || parent->_bf == -2) //旋转
{
if (parent->_bf == 2 && cur->_bf == 1)
{
//左单旋
RotateL(parent);
break;
}
else if (parent->_bf == -2 && cur->_bf == -1)
{
//右单旋
RotateR(parent);
break;
}
else if (parent->_bf == 2 && cur->_bf == -1)
{
//RL型
RotateRL(parent);
break;
}
else if (parent->_bf == -2 && cur->_bf == 1)
{
//LR型
RotateLR(parent);
break;
}
}
else
{
assert(false);
}
}
return true;
}
AVL树的旋转
// 右单旋
void RotateR(Node* parent)
{
Node* subL = parent->_left;
Node* subLR = subL->_right;
if (subLR) // 防止野指针
subLR->_parent = parent;
Node* pParent = parent->_parent;
subL->_right = parent;
parent->_parent = subL;
if (parent == _root)
{
_root = subL;
subL->_parent = nullptr;
}
else
{
if (pParent->_left == parent)
{
pParent->_left = subL;
}
else
{
pParent->_right = subL;
}
subL->_parent = pParent;
}
subL->_bf = 0;
parent->_bf = 0;
}
// 左单旋
void RotateL(Node* parent)
{
Node* subR = parent->_right;
Node* subRL = subL->_left;
if (subRL) // 防止野指针
parent->_right = subRL;
Node* pParent = parent->_parent;
parent->_parent = subR;
subR->_left = parent;
if (parent == _root)
{
_root = subR;
subR->_parent = nullptr;
}
else
{
if (pParent->_left == parent)
{
pParent->_left = subR;
}
else
{
pParent->_right = subR;
}
suLR->_parent = pParent;
}
subR->_bf = 0;
parent->_bf = 0;
}
// 左右双旋
void RotateLR(Node* parent)
{
Node* subL = parent->_left;
Node* subLR = subL->_right;
int bf = subLR->_bf;
RotateL(parent->_left);
RotateR(parent);
if (bf == -1)
{
subLR->_bf = 0;
subL->_bf = 0;
parent->_bf = 1;
}
else if (bf == 1)
{
subLR->_bf = 0;
subL->_bf = -1;
parent->_bf = 0;
}
else if (bf == 0)
{
subLR->_bf = 0;
subL->_bf = 0;
parent->_bf = 0;
}
else
{
perror("bf failed");
}
}
// 右左双旋
void RotateRL(Node* parent)
{
Node* subR = parent->_right;
Node* subRL = subR->_left;
int bf = subRL->_bf;
RotateR(parent->_right);
RotateL(parent);
if (bf == -1)
{
subRL->_bf = 0;
subR->_bf = 1;
parent->_bf = 0;
}
else if (bf == 1)
{
subRL->_bf = 0;
subR->_bf = 0;
parent->_bf = -1;
}
else if(bf == 0)
{
subRL->_bf = 0;
subR->_bf = 0;
parent->_bf = 0;
}
else
{
perror("bf failed");
}
}
AVL树打印与检查
void _Inorder(Node* root)
{
if (root == nullptr)
return;
_Inorder(root->_left);
cout << root->_kv.first << " ";
_Inorder(root->_right);
}
int _High(Node* root)
{
if (root == nullptr)
return 0;
int LeftHigh = _High(root->_left);
int RightHigh = _High(root->_right);
return LeftHigh > RightHigh ? LeftHigh + 1 : RightHigh + 1;
}
bool _IsBalance(Node* root)
{
if (root == nullptr)
return true;
int LeftHigh = _High(root->_left);
int RightHigh = _High(root->_right);
if (RightHigh - LeftHigh != root->_bf)
{
cout << _root->_kv.first << "当前节点平衡因子有问题" << endl;
return false;
}
return abs(LeftHigh - RightHigh) < 2
&& _IsBalance(root->_left)
&& _IsBalance(root->_right);
}
完整代码
头文件
#pragma once
#include<iostream>
#include<assert.h>
using namespace std;
template<class K, class V>
struct AVLTreeNode
{
AVLTreeNode<K, V>* _left; //左子树
AVLTreeNode<K, V>* _right; //右子树
AVLTreeNode<K, V>* _parent; //父亲
pair<K, V> _kv; //存放节点值的
int _bf; //平衡因子(通过这个可以直到左右子树存在情况)
//构造函数
AVLTreeNode(const pair<K, V>& kv)
:_left(nullptr)
, _right(nullptr)
, _parent(nullptr)
, _kv(kv)
, _bf(0) //平衡因子起始值是0,当左子树插入一个节点时-1,右子树插入一个节点时+1
{}
};
template<class K, class V>
class AVLTree
{
typedef AVLTreeNode<K, V> Node;
public:
bool Insert(const pair<K, V>& kv) //插入节点
{
if (_root == nullptr)
{
_root = new Node(kv);
return true;
}
Node* parent = nullptr;
Node* cur = _root;
while (cur)
{
if (cur->_kv.first < kv.first)
{
parent = cur;
cur = cur->_right;
}
else if (cur->_kv.first > kv.first)
{
parent = cur;
cur = cur->_left;
}
else
{
return false;
}
}
cur = new Node(kv);
if (parent->_kv.first < kv.first)
{
parent->_right = cur;
cur->_parent = parent;
}
else
{
parent->_left = cur;
cur->_parent = parent;
}
//管控平衡
while (parent) //当为根时,停止
{
if (cur == parent->_left)
{
parent->_bf--;
}
else
{
parent->_bf++;
}
if (parent->_bf == 0)
{
break;
}
else if (parent->_bf == 1 || parent->_bf == -1)
{
cur = parent;
parent = parent->_parent;
}
else if (parent->_bf == 2 || parent->_bf == -2) //旋转
{
if (parent->_bf == 2 && cur->_bf == 1)
{
//左单旋
RotateL(parent);
break;
}
else if (parent->_bf == -2 && cur->_bf == -1)
{
//右单旋
RotateR(parent);
break;
}
else if (parent->_bf == 2 && cur->_bf == -1)
{
//RL型
RotateRL(parent);
break;
}
else if (parent->_bf == -2 && cur->_bf == 1)
{
//LR型
RotateLR(parent);
break;
}
}
else
{
assert(false);
}
}
return true;
}
void RotateL(Node* parent) //左单旋(RR型)
{
Node* subR = parent->_right;
Node* subRL = subR->_left;
Node* parentParent = parent->_parent;
parent->_right = subRL;
subR->_left = parent;
if (subRL)
subRL->_parent = parent;
if (_root == parent)
{
_root = subR;
subR->_parent = nullptr;
}
else
{
if (parentParent->_left == parent)
{
parentParent->_left = subR;
}
else
{
parentParent->_right = subR;
}
subR->_parent = parentParent;
}
parent->_parent = subR;
parent->_bf = 0;
subR->_bf = 0;
}
void RotateR(Node* parent) //右单旋(LL型)
{
Node* subL = parent->_left;
Node* subLR = subL->_right;
Node* parentParent = parent->_parent;
parent->_left = subLR;
subL->_right = parent;
if (subLR)
{
subLR->_parent = parent;
}
if (_root == parent)
{
_root = subL;
subL->_parent = nullptr;
}
else
{
if (parentParent->_left == parent)
{
parentParent->_left = subL;
}
else
{
parentParent->_right = subL;
}
subL->_parent = parentParent;
}
parent->_parent = subL;
subL->_bf = parent->_bf = 0;
}
void RotateRL(Node* parent) //先右单旋,再左单旋(RL型)
{
Node* subR = parent->_right;
Node* subRL = subR->_left;
int bf = subRL->_bf;
RotateR(parent->_right);
RotateL(parent);
if (bf == 0)
{
//subRL自己就是新增点
parent->_bf = subR->_bf = 0;
}
else if (bf == -1)
{
//subRL的左子树上新增
parent->_bf = 0;
subRL->_bf = 0;
subR->_bf = 1;
}
else if (bf == 1)
{
//subRL的右子树上新增
parent->_bf = -1;
subRL->_bf = 0;
subR->_bf = 0;
}
else
{
assert(false);
}
}
void RotateLR(Node* parent) //先左单旋,再右单旋(LR型)
{
Node* subL = parent->_left;
Node* subLR = subL->_right;
int bf = subLR->_bf;
RotateL(parent->_left);
RotateR(parent);
if (bf == 0)
{
//subLR自己就是新增点
parent->_bf = subL->_bf = 0;
}
else if (bf == -1)
{
//subLR的左子树上新增
parent->_bf = 1;
subLR->_bf = 0;
subL->_bf = 0;
}
else if (bf == 1)
{
//subLR的右子树上新增
parent->_bf = 0;
subLR->_bf = 0;
subL->_bf = -1;
}
else
{
assert(false);
}
}
//中序打印
void Inorder()
{
_Inorder(_root);
cout << endl;
}
//检查是否为AVL树
bool IsBalance()
{
return _IsBalance(_root);
}
private:
void _Inorder(Node* root)
{
if (root == nullptr)
return;
_Inorder(root->_left);
cout << root->_kv.first << " ";
_Inorder(root->_right);
}
int _High(Node* root)
{
if (root == nullptr)
return 0;
int LeftHigh = _High(root->_left);
int RightHigh = _High(root->_right);
return LeftHigh > RightHigh ? LeftHigh + 1 : RightHigh + 1;
}
bool _IsBalance(Node* root)
{
if (root == nullptr)
return true;
int LeftHigh = _High(root->_left);
int RightHigh = _High(root->_right);
if (RightHigh - LeftHigh != root->_bf)
{
cout << _root->_kv.first << "当前节点平衡因子有问题" << endl;
return false;
}
return abs(LeftHigh - RightHigh) < 2
&& _IsBalance(root->_left)
&& _IsBalance(root->_right);
}
Node* _root = nullptr;
};
源文件
#define _CRT_SECURE_NO_WARNINGS 1
#include "AVLTree.h"
int main()
{
int a[] = { 16,3,7,11,9,26,18,14,15 };
AVLTree<int, int> t;
for (auto e : a)
{
t.Insert(make_pair(e, e));
}
t.Inorder();
cout << "输出1代表是AVL树,输出0代表不是:" << t.IsBalance() << endl;
return 0;
}
1926

被折叠的 条评论
为什么被折叠?



