医疗电子——迈向未来智慧城市的一大步
1. 引言
物联网(IoT)在医疗保健领域有众多应用,从远程监控到智能传感器和医疗设备集成。它不仅有望保障患者的 安全与健康 ,还能改善医生提供医疗服务的方式。医疗保健物联网还可以通过让患者有更多时间与医生互动,从而提升患者参与度和满意度。
由于年龄相关疾病对发展中国家和发达国家而言都是最突出的挑战之一,采用远程医疗技术可能有助于减少慢性疾病的管理,并有助于改善老年人的生活质量。然而,尽管物联网的出现以及传感器价格的不断下降,当前的方案在运行时仍无法扩展,因为它们需要足够紧凑、便携且低功耗。本文提出了一种低功耗、紧凑且便携的视觉
据报告,一种恢复芯片设计可用于安装在患者头部,以刺激经过基因改造的视网膜神经节细胞,从而为患有年龄相关性黄斑变性和色素性视网膜炎等疾病的患者恢复部分视力。Marc、Pfeiffer和Jones在[1]中指出,目前主要用于帮助视网膜退化导致部分失明患者恢复光感知的三大技术分别是光遗传学、视网膜假体和光开关。尽管每种技术各有优缺点,但视觉植入物尤其需要复杂的手术程序,且分辨率有限。虽然基于光遗传学的技术具有更高的分辨率,但在人眼中实现基于光遗传学的植入物仍具挑战性。本文所展示的研究是迈向长期目标的第一步,即提供一个平台,并开发完全可植入的基于光遗传学的视觉假体。作者设想了多种医疗应用可能受益于该技术,特别是阿尔茨海默病和癫痫发作患者。
LED阵列的应用范围广泛,包括消费电子领域中的LED打印机、手持移动设备中的薄型显示器,以及用于科学研究的电子设备,如神经刺激/抑制[2]。最近,微型LED阵列在生物医学工程领域,特别是视网膜假体中的应用已有报道。微型LED阵列可用于视网膜假体中,通过像素阵列刺激盲人视网膜内的基因改造区域,以恢复部分视力[3]。在智慧医疗和视觉假体的背景下,本文介绍了一项研究,设计了一种光电控制芯片,用于控制视网膜刺激中使用的LED矩阵。为了寻址芯片上的单个像素,设计了解码电路以解码输入的二进制地址值。解码器生成的二进制输入地址用于选择单个像素驱动单元。设计了一款A 16 × 16 LED矩阵控制器芯片,其像素焊盘对应256个微GaNL ED。采用倒装芯片键合技术,利用CMOS驱动器驱动微型LED。像素尺寸设计为150 μm× 150 μm,像素间距为70微米。由于像素阵列控制器的设计旨在刺激基因改造神经元,因此设计的主要重点是开发一种针对可单独寻址LED的优化控制器。电路设计和芯片仿真均采用X‐FAB 1.35微米高压(HV)CMOS工艺完成。
本文结构如下:第2节简要讨论视网膜假体,第3节详细阐述CMOS微LED设计。总结部分在论文的结果/结论部分给出。
2. 视网膜假体
2.1. 视网膜假体的重要性
目前,全球有超过2000万人因不同的基因突变而遭受不可逆的视力丧失。较为常见的视网膜疾病包括色素性视网膜炎和年龄相关性黄斑变性。在色素性视网膜炎患者中,视杆感光细胞受到影响,导致管状视野和夜盲,最终可能发展为完全失明。目前正在研究多种治疗方法,如光遗传学、光开关和假体。其中,光遗传学被认为是最具前景的技术,其通过基因改造的神经节细胞刺激效果取决于像素总数所决定的分辨率以及微型LED的功率效率。由于通道视紫红质(ChR2)在473纳米处具有峰值灵敏度,因此对于该可见光谱区域,氮化镓(GaN)LED能够提供足够的电流密度和辐照度来刺激光敏化神经元。
在过去,视网膜假体采用类似于人工耳蜗植入体的电刺激方法。最近的研究工作由赵等人,2004、胡迈安等人,2012、克劳克等人,2011、帕兰克等人,2005以及Stingl等人,2013[6–10]报道。此外,在人脸识别和视觉等应用中,可能需要大量(数百个)电极来执行任务。因此,
与电刺激相比,基于神经节细胞光敏化的刺激更具前景。然而,由于该技术仍处于发展阶段,需要一种电子技术来充分理解并挖掘其潜力,才能安全地将其应用于人体试验。下一部分介绍了一种设计原型,该原型有望作为医疗技术开发的平台,特别是用于视网膜假体。
3. CMOS微LED驱动器设计
为了开发用于刺激神经节细胞的微型LED阵列,设计了一种 16 × 16微型LED阵列。计算机辅助设计(CAD)布局如图1所示,像素的布局显示在子图中。芯片尺寸为4 mm × 4 mm,单个像素尺寸实测为150 μm × 150 μm,焊盘尺寸为80 μm²,用于微型LED的焊球键合。该芯片采用X‐FAB 0.35‐μm工艺制造。微型LED的发射光谱中心波长为470纳米,半高全宽(FWHM)为22纳米,与ChR2的峰值灵敏度相重叠。[11]。
为了调节LED的亮度,采用了脉冲宽度调制(PWM)技术,并通过改变脉冲宽度来控制亮度。为了屏蔽电子电路并最小化发光的影响,使用了第四层金属。行列通信电路采用最少数量的晶体管设计,版图面积为916 μm (L) ×106 μm (W)。为了在串行/并行模式之间切换,设计了16位多路复用器,其版图面积为249 μm (L) ×13.9 μm (W)。行解码器的版图面积为187.6 μm (L) × 39.4 μm (W)。为了保持每个像素的存储状态,T触发器的版图面积为68.55 μm (L) × 16.15 μm (W)。
3.1. LED控制电路设计
使用CAD工具设计了一个 16 × 16微米级LED阵列,其中设计了多个CMOS驱动电路用于量化刺激神经反应所需的光学效率。LED的开关通过控制MOS晶体管的栅极电压来实现。回顾以往,LED亮度是通过脉宽调制(PWM)改变晶体管的开关速度来控制的。因此,输送到负载的总电压通过脉冲的占空比进行控制。该技术在面积方面具有独特优势,因为模拟电压被转换为数字信号而无需额外电路。波形f(t)的平均值可表示为最大值A、最小值A₀,占空比c和周期T。
$$
y = \frac{1}{T} \int_0^T f(t) dt
$$
$$
y = \frac{1}{T} \left( \int_0^{cT} A dt + \int_{cT}^T A_0 dt \right)
$$
$$
y = \frac{c \cdot T \cdot A + T \cdot (1 - c) \cdot A_0}{T}
$$
$$
y = c \cdot A + (1 - c) \cdot A_0
$$
由于LED的亮度取决于通过它的电流,因此信号的平均值将与波形的占空比成正比。假设氮化镓的方块电阻恒定,则通过LED的电流将与LED两端出现的电压成正比。因此,必须确定在不引起控制驱动电路击穿的情况下可施加在LED两端的最大电压。由于足够的LED亮度取决于可安全施加的最大电压,芯片制造中采用了X‐FAB HVCMOS PMOS晶体管作为驱动晶体管。该高压PMOS晶体管具有独特优势,能够耐受高达45伏特的电压而不发生击穿。
医疗电子——迈向未来智慧城市的一大步
3.2. 功率效率分析
如先前由[11]所证明,刺激ChR2所需的光强度通常为1 mW/mm²。标准氮化镓LED的输出光功率效率约为其消耗总电功率的1%。由于光在LED表面的散射以及通过空气传播时的功率损耗,LED产生的光整体效率进一步降低,照射到目标神经元顶部的光强再次下降至约1%。为了获得1 mW/mm²所需的功率等级,需要提供给LED的电功率约为10 W/mm²。
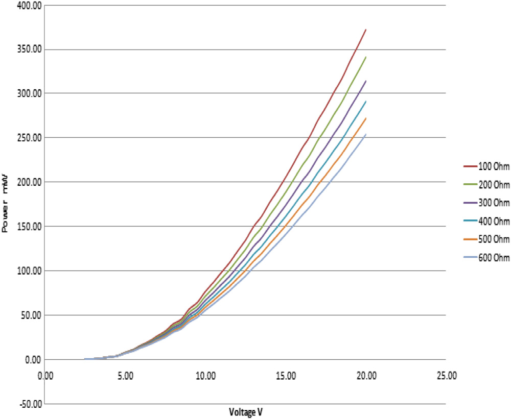
随着通过二极管的电流增加,二极管阻抗降低,因此二极管上的电压降由二极管的方块电阻控制。因此,电路的总阻抗是通过将二极管阻抗和晶体管的方块电阻相加来计算的。被测PMOS晶体管的方块电阻为 108 Ω。图2 显示了晶体管在不同方块电阻下输出功率的变化情况。图2表明,在微米级LED阵列正常工作电压低于15伏特时,方块电阻的变化并未引起功率的显著变化。
与电压 (V) 和方块电阻 (Ω) 的关系)
3.3. 控制像素
为了分析微型LED的功率性能,测试了多种驱动电路;然而,发现单个HVPMOS(XFAB)在最大击穿电压方面更适用于控制LED。所设计的电路允许晶体管两端产生最大电压,进而使LED像素两端达到最大电压。因此,选择单个晶体管电路来控制LED矩阵芯片中的LED。该LED阵列由LED的矩阵结构组成,制造在氮化镓衬底上,并通过倒装芯片键合方式与控制芯片连接。控制芯片中的单个像素作为LED的电流源。PMOS晶体管因此可以作为控制芯片中单个像素的组成部分进行集成。控制芯片的组件包括一个T触发器和一个PMOS LED驱动晶体管。T触发器用于保持存储状态,根据需要使LED保持ON和OFF状态。此外,还包含了一系列齐纳二极管,以消除倒装芯片键合过程中产生的静电积聚。
由于每个像素都需要能够单独控制,当选择特定像素时,电子电路应向PMOS晶体管提供电压,从而导通LED。当选择该像素的控制信号被移除后,LED应保持在导通状态,并在该像素再次被选中时关闭。因此,该电路需要一个存储元件来保持其当前状态。引入T触发器,使其每次被时钟触发时都翻转状态,从而可用于控制PMOS晶体管的导通/关断。控制像素的顶层电路图如图3所示。
3.4. 寻址模式
为了完全控制可单独寻址的微型LED阵列,实现了四种不同的寻址模式,即全串行、全并行、行串行‐列并行和列串行‐行并行。不同模式的主要目的寻址模式旨在以不同的速度控制LED像素,以满足神经刺激的需求。在控制芯片的顶部和左侧实现了两个通信解码器。由于16×16 LED矩阵具有十六行和十六列,因此设计了一个4位二进制地址解码器。该解码器的输入为4位二进制地址,具有对应于输入二进制地址的十六条输出线。
3.5. 光电子控制芯片仿真
光电控制芯片的主要组件是单个像素和地址解码器。像素连接在地址解码器的行列输出上。要选择任意单个像素,需将该像素的行和列二进制地址提供给地址解码器的输入端。相应的行和列用于当输入信号施加后,输入端将立即变为高电平。这将选中连接到该行和列的像素,即单个像素内部的T触发器。T触发器通过将控制晶体管开启或关闭,使其输出状态相对于之前的状态发生翻转,从而根据先前的状态决定LED的开启或关闭。芯片级仿真结果如图4所示。
3.6. 加热曲线与限制
为了提升微型LED阵列的性能参数,开发超亮LED至关重要。因此,制定有效的散热策略变得尤为关键。高亮度需要高电流密度,而这会产生更多热量。在微型LED阵列中,提高单个发射器的光输出功率非常重要。这可以通过增大发光面积和注入电流来实现。然而,由于器件的自发热,这些改变并不能显著提高光学输出功率。观察发现,长时间开启阵列会导致局部自发热,这从性能和医疗应用的角度来看都是不可取的。器件过高的局部温度可能会损伤细胞和组织,主要是由于LED表面p型接触点处产生的自发热所致。这种过热反过来会降低光输出功率和电光转换效率。因此,器件发热会导致性能下降,并引起光谱偏移[12]。为解决这一问题,将珀尔帖冷却器连接到芯片表面,而相对于珀尔帖电压的温度分布如图5所示。后者显示出显著改善,通过增加珀尔帖电压,芯片的表面温度得以降低。
4. 结果/结论
本文中,采用德国晶圆代工厂X‐FAB的0.35微米CMOS工艺设计并制造了一款控制芯片,旨在构建一个用于刺激视网膜神经节细胞的平台。该芯片包含低层驱动电路和高层通信电路。通过低接入RC时间常数实现了有源双稳态电路。该电路的关键在于微型LED所需的驱动电流。由于输出晶体管具有高源漏阻抗,需驱动高达9伏特的电压。高压晶体管具有较大的阻抗,从而降低了驱动器与LED组合的整体效率。驱动线经过专门设计,可在避免电迁徙问题的同时提供足够的功率。由于芯片的长期使用要求微型LED长时间保持开启状态,散热成为一个主要因素。为解决这一问题,特别设计了一个珀尔帖冷却器并安装在芯片表面以保持冷却。我们在表面温度和珀尔帖电压方面观察到了显著改善。

被折叠的 条评论
为什么被折叠?



