目录
1. 要点
一句话概括 DDPG: Google DeepMind 提出的一种使用 Actor Critic 结构, 但是输出的不是行为的概率, 而是具体的行为, 用于连续动作 (continuous action) 的预测. DDPG 结合了之前获得成功的 DQN 结构, 提高了 Actor Critic 的稳定性和收敛性.
因为 DDPG 和 DQN 还有 Actor Critic 很相关, 所以最好这两者都了解下, 对于学习 DDPG 很有帮助. 我的教程链接都能在上面的学习资料中找到.
下面是这节内容的效果提前看:


2. 算法
DDPG 的算法实际上就是一种 Actor Critic, 我在上一篇中简短地介绍了 Actor Critic 的算法. 不太清楚的同学先去看看上一篇吧.
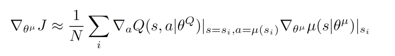
关于 Actor 部分, 他的参数更新同样会涉及到 Critic, 上面是关于 Actor 参数的更新, 它的前半部分 grad[Q] 是从 Critic 来的, 这是在说: 这次 Actor 的动作要怎么移动, 才能获得更大的 Q, 而后半部分 grad[u] 是从 Actor 来的, 这是在说: Actor 要怎么样修改自身参数, 使得 Actor 更有可能做这个动作. 所以两者合起来就是在说: Actor 要朝着更有可能获取大 Q 的方向修改动作参数了.
表示a_,L表示td_error。
上面这个是关于 Critic 的更新, 它借鉴了 DQN 和 Double Q learning 的方式, 有两个计算 Q 的神经网络, Q_target 中依据下一状态, 用 Actor 来选择动作, 而这时的 Actor 也是一个 Actor_target (有着 Actor 很久之前的参数). 使用这种方法获得的 Q_target 能像 DQN 那样切断相关性, 提高收敛性.
3. 代码
3.1 主结构
注意, 录视频的时候代码有个地方有小错误, 以下部分和视频中有些地方不同, 特别是计算 Actor 更新的时候. 所以请以文字描述中的为准.
我们用 Tensorflow 搭建神经网络, 主结构可以见这个 tensorboard 的出来的图.
看起来很复杂吧, 没关系, 我们一步步来, 拆开来看就容易了. 首先看看 Actor 和 Critic 中各有什么结构.
其搭建的代码部分在这 (如果想一次性看全部, 请去我的Github):
class Actor(object):
def __init__(self):
...
with tf.variable_scope('Actor'):
# 这个网络用于及时更新参数
self.a = self._build_net(S, scope='eval_net', trainable=True)
# 这个网络不及时更新参数, 用于预测 Critic 的 Q_target 中的 action
self.a_ = self._build_net(S_, scope='target_net', trainable=False)
...
class Critic(object):
def __init__(self):
with tf.variable_scope('Critic'):
# 这个网络是用于及时更新参数
self.a = a # 这个 a 是来自 Actor 的, 但是 self.a 在更新 Critic 的时候是之前选择的 a 而不是来自 Actor 的 a.
self.q = self._build_net(S, self.a, 'eval_net', trainable=True)
# 这个网络不及时更新参数, 用于给出 Actor 更新参数时的 Gradient ascent 强度
self.q_ = self._build_net(S_, a_, 'target_net', trainable=False)
3.2 Actor Critic
有了对 Actor Critic 每个里面各两个神经网络结构的了解, 我们再来具体看看他们是如何进行交流, 传递信息的. 我们从 Actor 的学习更新方式开始说起.
这张图我们就能一眼看穿 Actor 的更新到底基于了哪些东西. 可以看出, 它使用了两个 eval_net, 所以 Actor class 中用于 train 的代码我们这样写:
with tf.variable_scope('policy_grads'):
# 这是在计算 (dQ/da) * (da/dparams)
self.policy_grads = tf.gradients(
ys=self.a, xs=self.e_params, # 计算 ys 对于 xs 的梯度
grad_ys=a_grads # 这是从 Critic 来的 dQ/da
)
with tf.variable_scope('A_train'):
opt = tf.train.AdamOptimizer(-self.lr) # 负的学习率为了使我们计算的梯度往上升, 和 Policy Gradient 中的方式一个性质
self.train_op = opt.apply_gradients(zip(self.policy_grads, self.e_params)) # 对 eval_net 的参数更新
同时下面也提到的传送给 Actor 的 a_grad 应该用 Tensorflow 怎么计算. 这个 a_grad 是 Critic class 里面的, 这个 a 是来自 Actor 根据 S 计算而来的:
with tf.variable_scope('a_grad'):
self.a_grads = tf.gradients(self.q, self.a)[0] # dQ/da
而在 Critic 中, 我们用的东西简单一点.
下面就是 Critic 更新时的代码了.
# 计算 target Q
with tf.variable_scope('target_q'):
self.target_q = R + self.gamma * self.q_ # self.q_ 根据 Actor 的 target_net 来的
# 计算误差并反向传递误差
with tf.variable_scope('TD_error'):
self.loss = tf.reduce_mean(tf.squared_difference(self.target_q, self.q)) # self.q 又基于 Actor 的 target_net
with tf.variable_scope('C_train'):
self.train_op = tf.train.AdamOptimizer(self.lr).minimize(self.loss)
最后我们建立并把 Actor 和 Critic 融合在一起的时候是这样写的.
actor = Actor(...)
critic = Critic(..., actor.a, actor.a_) # 将 actor 同它的 eval_net/target_net 产生的 a/a_ 传给 Critic
actor.add_grad_to_graph(critic.a_grads) # 将 critic 产出的 dQ/da 加入到 Actor 的 Graph 中去
同样, 如果你觉得只看部分代码不舒服, 这里有全部代码.
3.3 记忆库 Memory
以下是关于类似于 DQN 中的记忆库代码, 我们用一个 class 来建立. 关于 Memory 的详细算法, 请直接去我的 Github 中看, 这样更简单.
class Memory(object):
def __init__(self, capacity, dims):
"""用 numpy 初始化记忆库"""
def store_transition(self, s, a, r, s_):
"""保存每次记忆在 numpy array 里"""
def sample(self, n):
"""随即从记忆库中抽取 n 个记忆进行学习"""
3.4 每回合算法
这里的回合算法只提到了最重要的部分, 省掉了一些没必要的, 有助理解. 如果想一次性看到全部代码, 请去我的 Github
var = 3 # 这里初始化一个方差用于增强 actor 的探索性
for i in range(MAX_EPISODES):
...
for j in range(MAX_EP_STEPS):
...
a = actor.choose_action(s)
a = np.clip(np.random.normal(a, var), -2, 2) # 增强探索性
s_, r, done, info = env.step(a)
M.store_transition(s, a, r / 10, s_) # 记忆库
if M.pointer > MEMORY_CAPACITY: # 记忆库头一次满了以后
var *= .9998 # 逐渐降低探索性
b_M = M.sample(BATCH_SIZE)
... # 将 b_M 拆分成下面的输入信息
critic.learn(b_s, b_a, b_r, b_s_)
actor.learn(b_s)
s = s_
if j == MAX_EP_STEPS-1:
break
我也用这套 DDPG 测试过自己写的机器手臂的环境, 发现效果也还行. 有兴趣的朋友可以看到这里.

有很多人留言说想要我做一个关于这个机器手臂的教程, 不负众望, 你可以在这里 看到我怎么从零开始, 手写环境, debug 测试, 来制作一个强化学习的机器手臂.
3.5 简化版代码(录完视频后发现了小错误, 重写了代码)
后来我在回过头来看代码, 结果发现计算 Actor 更新时有点小问题, 所以就修改了之前的代码. 但是修改后我觉得.. 代码变得累赘了, 所以我觉得再重写一个, 简化所有流程. 能看到这一个板块的朋友们有没有感到绝望(MD 看了那么久上面的代码, 结果有个更简单的). 哈哈,没关系. 学习代码和技术不要嫌多. 所以代码就直接看吧, 相信有了上面的了解, 看这份代码会比较容易.
本文详细解析了Google DeepMind提出的DDPG算法,结合Actor-Critic结构,适用于连续动作预测。通过Tensorflow实现的代码示例,包括内存管理、每回合算法和关键代码片段的修订。






2241

被折叠的 条评论
为什么被折叠?



