1.什么是损失
真是值和预测值之间的误差
公式:最小二乘法

2.如何进行优化
第一种方法 正规方程

举例

详解:
1.特征值逆矩阵 乘 特征值原矩阵 乘 特征值逆矩阵 * 目标值矩阵 T 就是矩阵转置 -1就是逆矩阵


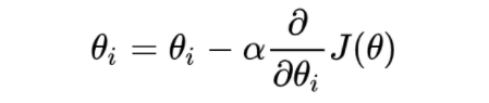
第二种方法 梯度下降
概念
梯度是微积分中一个很重要的概念
在单变量的函数中,梯度其实就是函数的微分,代表着函数在某个给定点的切线的斜率
在多变量函数中,梯度是一个向量,向量有方向,梯度的方向就指出了函数在给定点的上升最快的方向
这也就说明了为什么我们需要千方百计的求取梯度!我们需要到达山底,就需要在每一步观测到此时最陡峭的地方,梯度就恰巧告诉了我们这个方向。梯度的方向是函数在给定点上升最快的方向,那么梯度的反方向就是函数在给定点下降最快的方向,这正是我们所需要的。所以我们只要沿着梯度的反方向一直走,就能走到局部的最低点!
单变量梯度下降

多变量梯度下降

梯度下降的公式

本文介绍了线性回归中的损失函数,重点讨论了最小二乘法和优化过程。通过正规方程与梯度下降两种方式解释了如何寻找最佳参数,其中梯度下降利用函数的梯度方向指导参数更新,以达到损失函数最小化的目标。
790

被折叠的 条评论
为什么被折叠?



