问题描述:回文联,它是我国对联中的一种。用回文形式写成的对联,既可顺读,也可倒读。不仅它的意思不变,而且颇具趣味。是我国的重要文化之一。有趣的回文联有
斗鸡山上山鸡斗
天连水尾水连天
鱼傍水活水傍鱼
等。写代码,输入字符串s,判断s是否是回文联。
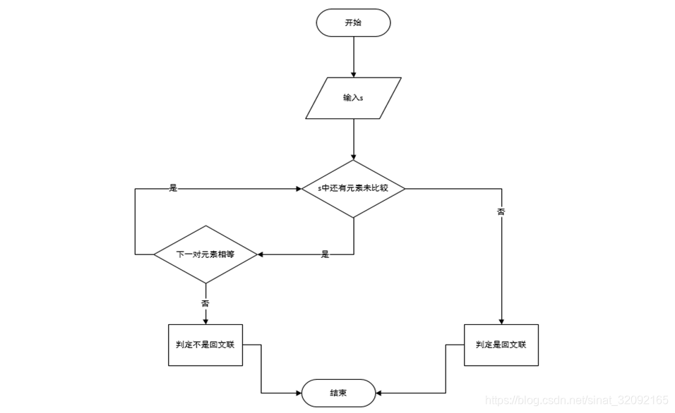
常规方法:
我们先来用最通常的方法来解决这道题,即借助循环:先比较字符串的第一个字符和最后一个字符,如果相等,则比较第二个字符和倒数第二个字符,依此类推,直到最后比较最后一对字符,如果它们都相等,则判断该字符串为回文串。在比较过程中,任意一对字符串不等,则跳出循环,判定不是回文串。
流程图如图所示:

代码如下所示:
s=input('请输入需要判断的字符串:')
is

本文介绍了如何使用Python解决回文串问题。通过循环法比较字符串首尾字符,若所有对应字符相等则为回文串。同时,利用切片方式截取字符串的前半部分与后半部分比较,同样可判断回文。文章详细解释了两种方法的实现思路,并指出在切片方法中需考虑字符串长度的奇偶性。
最低0.47元/天 解锁文章
998

被折叠的 条评论
为什么被折叠?



