机器学习-统计学习方法学习笔记-第七章 支持向量机

本文详细介绍了支持向量机(SVM)的相关概念和技术,包括线性可分支持向量机与硬间隔最大化、线性支持向量机与软间隔最大化、非线性支持向量机与核函数以及序列最小最优化算法等内容。

第七章 支持向量机

7.1 线性可分支持向量机与硬间隔最大化

在这里插入图片描述
在这里插入图片描述
在这里插入图片描述

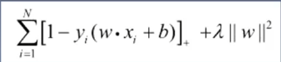
7.2 线性支持向量机与软间隔最大化

在这里插入图片描述
在这里插入图片描述
在这里插入图片描述
在这里插入图片描述

7.3 非线性支持向量机与核函数

在这里插入图片描述
在这里插入图片描述
在这里插入图片描述

7.4 序列最小最优化算法

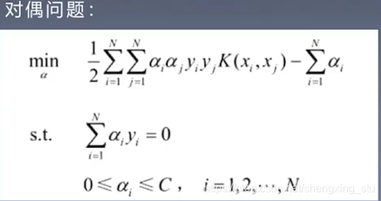
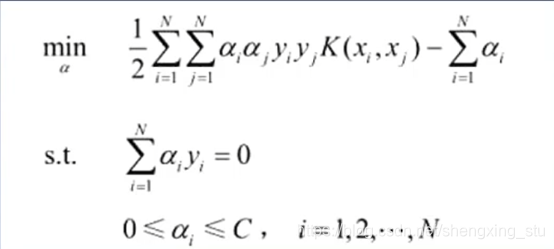
对偶问题

在这里插入图片描述

评论
成就一亿技术人!
拼手气红包6.0元
还能输入1000个字符
 
红包 添加红包
表情包 插入表情
 条评论被折叠 查看
添加红包

请填写红包祝福语或标题

红包个数最小为10个

红包金额最低5元

当前余额3.43前往充值 >
需支付:10.00
成就一亿技术人!
领取后你会自动成为博主和红包主的粉丝 规则
hope_wisdom
发出的红包
实付
使用余额支付
点击重新获取
扫码支付
钱包余额 0

抵扣说明:

1.余额是钱包充值的虚拟货币,按照1:1的比例进行支付金额的抵扣。
2.余额无法直接购买下载,可以购买VIP、付费专栏及课程。

余额充值