机器学习-统计学习方法第二版学习笔记-第六章 逻辑斯蒂模型及最大熵模型
最新推荐文章于 2025-12-15 17:02:56 发布
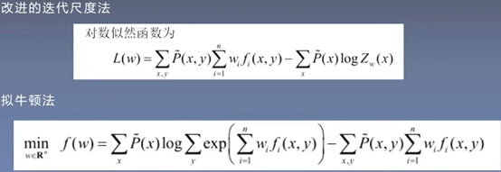
博客主要提及了最大熵模型,最大熵模型是机器学习领域的重要内容。
博客主要提及了最大熵模型,最大熵模型是机器学习领域的重要内容。
202
547

被折叠的 条评论
为什么被折叠?