Accuracy,Precision, Recall, F1, MAP(Mean Average Precision) and NDCG(Normalized Discount Cumulative Gain )
1、Hit Ratio(HR)
在top-K推荐中,HR是一种常用的衡量召回率的指标,越大越好

分母是所有的测试集合,分子式每个用户top-K推荐列表中属于测试集合的个数的总和。例如:三个用户在测试集中的商品个数分别是10,12,8,模型得到的top-10推荐列表中,分别有6个,5个,4个在测试集中,那么此时HR的值是 (6+5+4)/(10+12+8) = 0.5。
2、MAP



P(1) = 它前面的项(包括自己)相关的个数除所在排序的位置(也就是1)。
AP: yi,j:排序中第j个元素对于查询i是否是相关的;相关为1,不相关为0。1/m(1或者0*前面对的概率的累积),
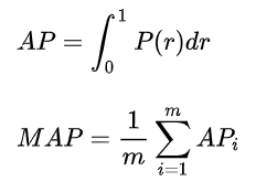
AP的最大值为1(也就是当相关的全部排在不相关的前面的时候) MAP就是对所有query的AP求平均。
MAP(Mean Average Precision),对Average Precision(AP)平均值。检测一个系统的性能,常用多个不同种类的查询对它进行测试,每个查询的结果都能计算出一个AP值,把所有AP取平均值就是系统的MAP。
3NDCG


(2^0/log2|2)=1 (2^0/log2|3)=0.63
NDCG是归一化之后的DCG,其中IDCG表示理想的DCG,k表示取前TopK个。
其他指标:
本文深入探讨了推荐系统中常用的评估指标,包括HR(Hit Ratio)、MAP(Mean Average Precision)和NDCG(Normalized Discounted Cumulative Gain)。通过具体实例解释了这些指标的计算方法及其在评价推荐系统性能中的作用。
481

被折叠的 条评论
为什么被折叠?



