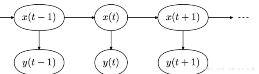
是关于时序的概念模型,描述了由一个隐藏的马尔科夫链随机产生不可观测的状态随机序列,再由各个状态生成一个观测而产生的观测随机序列的过程。隐藏的马尔科夫链随机生成的状态序列成为状态序列:每个状态生成一个观测,而由此产生的观测的随机序列,称为观测序列。序列的每一个位置又可以看作一个时刻。
举个例子,假设朋友仅仅对三种活动感兴趣:公园散步,购物以及清理房间做什么事情只凭天气.你不知道天气但知道他做的事情,可以猜测他所在地的天气情况。其实这个就是一个隐马尔科夫模型。每一天天气的变化就是一个隐马尔科夫链(即不同状态 “雨"和"晴”之间的转换)
具体参考:https://blog.youkuaiyun.com/gzj_1101/article/details/79955340
![]()
状态转移矩A和初始状态概率π确定隐藏的马尔科夫链,生成不可观测的状态序列,观测概率矩阵B确定了如何从观测状态生成观测序列。图中,上面的x即对应的状态序列,y表示的是观测序列:
三个基本问题

7821

被折叠的 条评论
为什么被折叠?



