来源:吴恩达教授 教学视频课后题目
1. Simple MATLAB function
问题:输出一个5×5的单位矩阵
MATLAB
warmUpExercise.m
function A = warmUpExercise()
A = eye(5);lx.m
fprintf('Running warmUpExercise ... \n');
fprintf('5x5 Identity Matrix: \n');
warmUpExercise()Running warmUpExercise ...
5x5 Identity Matrix:
ans =
1 0 0 0 0
0 1 0 0 0
0 0 1 0 0
0 0 0 1 0
0 0 0 0 1
Python
inputIdentityMatrix.py
import numpy as np # NumPy库支持大量的维度数组与矩阵运算
def inputIdentityMatrix():
print(np.eye(5))lx.py
from inputIdentityMatrix import *
inputIdentityMatrix()[[1. 0. 0. 0. 0.]
[0. 1. 0. 0. 0.]
[0. 0. 1. 0. 0.]
[0. 0. 0. 1. 0.]
[0. 0. 0. 0. 1.]]
2. Linear regression with one variable
数据:
第一列:给出城市人口数量
第二列:该城市饭店的收益
2.1 Plotting the Data
MATLAB
plotData.m
function plotData(x,y)
% r:red--x:用x作标记--MarkerSize:标记符的大小
plot(x,y,'rx', 'MarkerSize', 10);
xlabel('Population of City in 10,000s');
ylabel('Profit in $10,000s');
title('Scatter plot of training data');
endlx.m
fprintf('Plotting Data...\n')
data = load('ex1data1.txt');
X = data(:,1); % data第一列赋值给X向量
y = data(:,2); % data第二列赋值给y向量
m = length(X); % No. of training set
plotData(X,y);
Python
lx.py
import pandas as pd # 一种用于数据分析的扩展程序库
import matplotlib.pyplot as plt # matplotlib是一种数据可视化库
# header=None:无列标题行 names命名,data为DataFrame类型
# read_csv 以纯文本形式存储表格数据(数字和文本)
data = pd.read_csv('ex1data1.txt', header=None, names=['Population', 'Profit'])
# DataFrame类型与plot函数结合使用
data.plot(x='Population', y='Profit', kind='scatter', marker='x')
plt.show() # 展示图
2.2 Gradient Descent
2.2.1 Update Equations
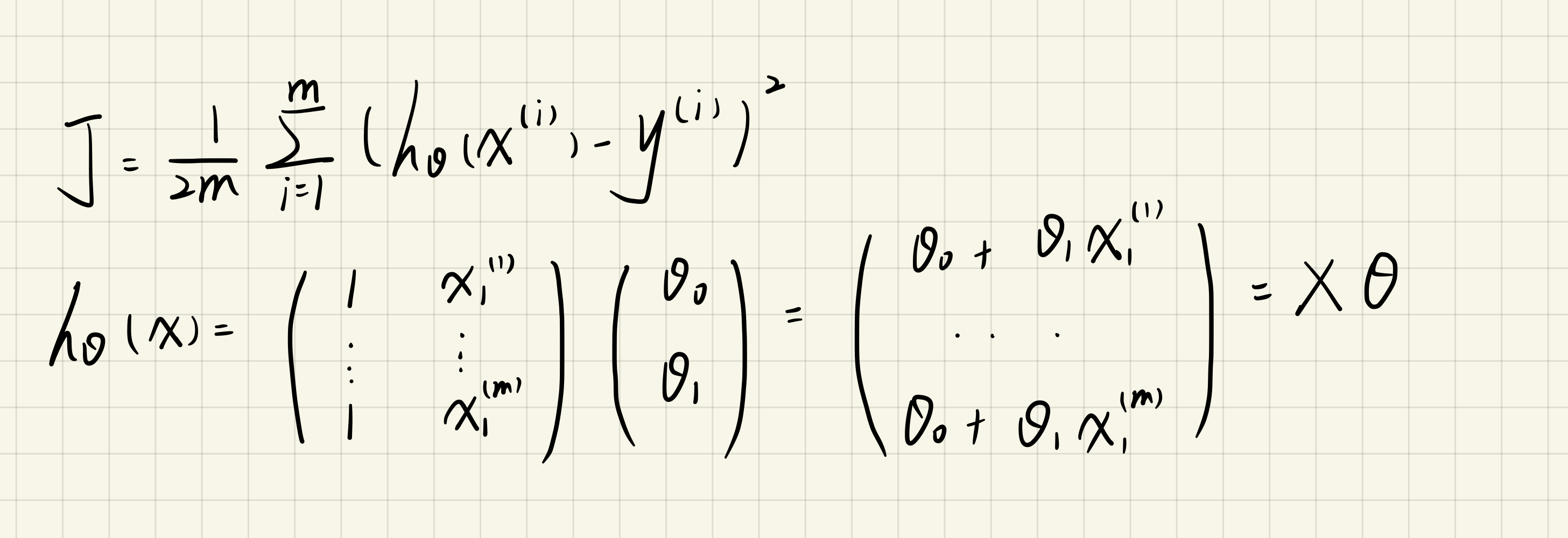
Cost Funtion:

Update Equations:

2.2.2 Computing the cost J(theta)
绘制J(theta)图像

MATLAB
computeCost.m
function J = computeCost(X,y,theta)
predictions = X * theta; % 预测值
sqrErrors = (predictions - y).^2; % 误差的平方
J = 1 / (2 * length(X(:,1))) * sum(sqrErrors);
endlx.m
data = load('ex1data1.txt');
m = length(data(:,1)); % No. of training set
X = [ones(m,1),data(:,1)]; % 设置X向量
y = data(:,2); % 设置y向量
theta = zeros(2,1); % theta设置为两行一列的0向量
alpha = 0.01; % learning rate
fprintf('\nTesting the cost function ...\n');
J = computeCost(X,y,theta);
fprintf('With theta = [0 ; 0]\nCost computed = %f\n', J);
J = computeCost(X, y, [-1 ; 2]);
fprintf('\nWith theta = [-1 ; 2]\nCost computed = %f\n', J);Testing the cost function ...
With theta = [0 ; 0]
Cost computed = 32.072734
With theta = [-1 ; 2]
Cost computed = 54.242455
Python
lx.py
import pandas as pd # 一种用于数据分析的扩展程序库
import numpy as np # NumPy库支持大量的维度数组与矩阵运算
import matplotlib.pyplot as plt # matplotlib是一种数据可视化库
def computeCost(theta, X, y):
inner = np.power((X * theta.T - y), 2)
# sum与np.sum的区别:sum不能处理二维及二维以上的数组
return np.sum(inner) / (2 * len(X))
data = pd.read_csv('ex1data1.txt', header=None, names=['Population', 'Profit'])
data.insert(0, 'Ones', 1) # 第0列插入名为Ones的值为1的一列
cols = data.shape[1]
X = data.iloc[:, :-1] # iloc的用法[a:b,c:d]表示行从a到b-1,列从c到d-1
# data.shape[0]是行数
# data.shape[1]是列数
y = data.iloc[:, cols - 1:cols]
# 将X和y变成矩阵的形式
X = np.matrix(X)
y = np.matrix(y)
theta = np.matrix([0, 0])
# 观察维度
# print(X.shape, theta.shape, y.shape) # (97, 2) (2, 1) (97, 1)
print(computeCost(theta, X, y)) # 32.0727338774556762.2.3 Gradient descent
目的:通过改变theta的值,来最小化代价函数J(theta)。

MATLAB
gradientDescent.m
function [theta,J_history] = gradientDescent(X,y,theta,alpha,num_iters)
m = length(y); % number of training examples
J_history = zeros(num_iters,1); % 设置代价函数J(theta)初始化为0
% 进入迭代
for iter = 1:num_iters
theta_temp = theta; % 保证同时调整theta值
for i = 1:length(theta) % 这里指theta0和theta1
% 矩阵的转置可以用.'来表示,(:,i)即使用第i列
theta_temp(i) = theta(i)-alpha/m*(X*theta-y).'*X(:,i);
end
theta = theta_temp;
% 保存每一次迭代后代价函数的值
J_history(iter) = computeCost(X,y,theta);
end
endlx.m
data = load('ex1data1.txt');
m = length(data(:,1)); % No. of training set
X = [ones(m,1),data(:,1)]; % 设置X向量
y = data(:,2); % 设置y向量
theta = zeros(2,1); % theta设置为两行一列的0向量
alpha = 0.01; % learning rate
% 分布
plot(X(:,2),y,'rx');
num_iters = 1500;
theta = gradientDescent(X,y,theta,alpha,num_iters);
fprintf('Theta found by gradient descent:\n');
fprintf('%f\n',theta);
fprintf('Expected theta values (approx)\n');
fprintf(' -3.6303\n 1.1664\n\n');
hold on; % 后者可覆盖在前者图上
plot(X(:,2),X*theta,'b-');
legend('Training data', 'Linear regression')
hold off; % 关闭后,后者不可覆盖在前者图上
% Predict values for population sizes of 35,000 and 70,000
predict1 = [1,35000]*theta;
fprintf('For population = 35,000, we predict a profit of %f\n',predict1);
predict2 = [1,70000]*theta;
fprintf('For population = 70,000, we predict a profit of %f\n',predict2);Theta found by gradient descent:
-3.630291
1.166362
Expected theta values (approx)
-3.6303
1.1664
For population = 35,000, we predict a profit of 40819.051970
For population = 70,000, we predict a profit of 81641.734232

Python
Function.py
import numpy as np # NumPy库支持大量的维度数组与矩阵运算
# 代价函数
def computeCost(theta, X, y):
inner = np.power((X * theta.T - y), 2)
# sum与np.sum的区别:sum不能处理二维及二维以上的数组
return np.sum(inner) / (2 * len(X))
# 梯度下降
def gradientDescent(X, y, theta, iter_nums, alpha):
X = np.matrix(X)
y = np.matrix(y)
# ravel用于将矩阵拉伸,shape[1]-返回列数
temp_theta = np.matrix(np.zeros(theta.shape)) # temp_theta用于theta1和theta2同步进行更新
para_nums = int(theta.ravel().shape[1]) # para_num为2,分别是theta0和theta1
J_history = np.zeros(iter_nums) # 用来记录每一次迭代后代价函数的值
for i in range(iter_nums):
inner = X * theta.T - y
for j in range(para_nums):
temp_theta[0, j] = theta[0, j] - (alpha / len(X)) * inner.T * X[:, j]
theta = temp_theta
J_history[i] = computeCost(theta, X, y)
return theta, J_historylx.py
import pandas as pd # 一种用于数据分析的扩展程序库
import matplotlib.pyplot as plt # matplotlib是一种数据可视化库
import numpy as np # NumPy库支持大量的维度数组与矩阵运算
from Function import *
data = pd.read_csv('ex1data1.txt', header=None, names=['Population', 'Profit'])
data.insert(0, 'Ones', 1) # 第0列插入名为Ones的值为1的一列
cols = data.shape[1]
X = data.iloc[:, :-1] # iloc的用法[a:b,c:d]表示行从a到b-1,列从c到d-1
y = data.iloc[:, cols - 1:cols]
theta = np.matrix([0, 0])
alpha = 0.01
iter_nums = 1500
final_theta, Cost_J = gradientDescent(X, y, theta, iter_nums, alpha)
print('Theta found by gradient descent:')
print(final_theta)
# linspace(a,b,c)-将a-b区间分为c份
x = np.linspace(data.Population.min(), data.Population.max(), 100)
h_theta_ = final_theta[0, 0] + final_theta[0, 1] * x
# fig代表绘图窗口(Figure),ax代表此绘图窗口的坐标系(axis),subplots用于创建子图
fig, ax = plt.subplots()
ax.plot(x, h_theta_, 'r', label='Prediction')
# Predict values for population sizes of 35,000 and 70,000
predict1 = [1, 35000] * final_theta.T
print('For population = 35,000, we predict a profit of %f' % predict1);
predict2 = [1, 70000] * final_theta.T
print('For population = 70,000, we predict a profit of %f' % predict2);
# 画出离散的点
ax.scatter(data.Population, data.Profit, marker='x', label='Training Data')
ax.legend(loc=2) # loc位置,放在左上角
ax.set_xlabel('Population')
ax.set_ylabel('Profit')
ax.set_title('Predicted Profit vs. Population Size')
plt.show()Theta found by gradient descent:
[[-3.63029144 1.16636235]]
For population = 35,000, we predict a profit of 40819.051970
For population = 70,000, we predict a profit of 81641.734232

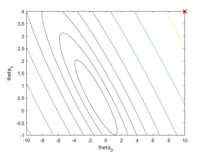
2.3 Visualizing J(theta)
关于:theta0、theta1不断变化时,J(theta)的变化
lx.m
data = load('ex1data1.txt');
m = length(data(:,1));
X = [ones(m,1),data(:,1)]; % 设置X向量
y = data(:,2); % 设置y向量
fprintf('Visualizing J(theta0, theta1) ...\n')
theta0_vals = linspace(-10,10,100);
theta1_vals = linspace(-1,4,100);
J_vals = zeros(length(theta0_vals),length(theta1_vals));
for i = 1:length(theta0_vals)
for j = 1:length(theta1_vals)
theta = [theta0_vals(i);theta1_vals(j)]; % 中间用分号表示列向量
J_vals(i,j) = computeCost(X,y,theta);
end
end
figure;
surf(theta0_vals,theta1_vals,J_vals);
xlabel('theta_0');
ylabel('theta_1');
figure;
contour(theta0_vals,theta1_vals,J_vals,logspace(-2, 3, 20));
xlabel('theta_0'); ylabel('theta_1');
hold on;
% theta此时为[10,4]
plot(theta(1), theta(2), 'rx', 'MarkerSize', 10, 'LineWidth', 2);
hold off;

3. Linear regression with multiple variables(Python)
data:
column1 | column2 | column3 |
Size | Bedrooms | Price |
3.1 Feature Normalization
目的:特征归一化,可以使梯度下降更快些收敛。
做法:(每类特征值-它的平均值)/标准差
featureScaling.py
def featureScaling(data):
# mean()默认为mean(0)-列平均,mean(1)-行平均,std()-标准差
return (data - data.mean()) / data.std()main.py
import pandas as pd # 一种用于数据分析的扩展程序库
from featureScaling import * # 特征缩放
# 若数据中无列标题行,则需要执行header=None
data = pd.read_csv('ex1data2.txt', header=None, names=['Size', 'Bedrooms', 'Price'])
data = featureScaling(data)
print(data.head())
# Size Bedrooms Price
# 0 0.130010 -0.223675 0.475747
# 1 -0.504190 -0.223675 -0.084074
# 2 0.502476 -0.223675 0.228626
# 3 -0.735723 -1.537767 -0.867025
# 4 1.257476 1.090417 1.5953893.2 Gradient Descent

theta一定要同时迭代
computeCost.py
import numpy as np # NumPy库支持大量的维度数组与矩阵运算
def computeCost(X, y, theta):
return np.sum(np.power((X * theta.T - y), 2)) / (2 * len(X))gradientDescent.py
import numpy as np # NumPy库支持大量的维度数组与矩阵运算
from computeCost import *
def gradientDescent(X, y, theta, alpha, iters):
cost = np.zeros(iters)
theta_item = np.matrix(np.zeros(theta.shape))
m = len(X)
for i in range(iters):
Errors = X * theta.T - y
theta_item = theta - (alpha / len(X)) * Errors.T * X
theta = theta_item
cost[i] = computeCost(X, y, theta)
return theta, costmain.py
import pandas as pd # 一种用于数据分析的扩展程序库
import numpy as np # NumPy库支持大量的维度数组与矩阵运算
from featureScaling import * # 特征缩放
from gradientDescent import *
# 若数据中无列标题行,则需要执行header=None
data = pd.read_csv('ex1data2.txt', header=None, names=['Size', 'Bedrooms', 'Price'])
data = featureScaling(data)
data.insert(0, 'Ones', 1) # 在第0列添加名为Ones值为1的列向量
# 初始化X和y、theta
columns = data.shape[1]
X = data.iloc[:, 0:columns - 1]
y = data.iloc[:, columns - 1:columns]
X = np.matrix(X)
y = np.matrix(y)
theta = np.matrix(np.zeros(X.shape[1]))
alpha = 0.01 # learning rate
iters = 1500 # iterate
theta, cost = gradientDescent(X, y, theta, alpha, iters)
print("theta:")
print(theta)
print("cost:")
print(cost)
# theta:
# [[-1.11188321e-16 8.84042349e-01 -5.24551809e-02]]
# cost:
# [0.4805491 0.47198588 0.46366462 ... 0.13068671 0.13068671 0.13068671]3.3 Normal Equation

normalEquation.py
import numpy as np # NumPy库支持大量的维度数组与矩阵运算
def normalEquation(X, y):
# np.linalg.inv:求逆;np.linalg.pinv:求伪逆
theta = np.linalg.inv(X.T * X) * X.T * y
return thetamain.py
import pandas as pd # 一种用于数据分析的扩展程序库
import numpy as np # NumPy库支持大量的维度数组与矩阵运算
from featureScaling import * # 特征缩放
from normalEquation import * # 正规方程
from computeCost import * # 代价函数
# 若数据中无列标题行,则需要执行header=None
data = pd.read_csv('ex1data2.txt', header=None, names=['Size', 'Bedrooms', 'Price'])
data = featureScaling(data)
data.insert(0, 'Ones', 1) # 在第0列添加名为Ones值为1的列向量
# 初始化X和y、theta
columns = data.shape[1]
X = data.iloc[:, 0:columns - 1]
y = data.iloc[:, columns - 1:columns]
X = np.matrix(X)
y = np.matrix(y)
theta = normalEquation(X, y)
print("theta:")
print(theta)
cost = computeCost(X, y, theta.T)
print("Cost:")
print(cost)
# theta:
# [[-1.11022302e-16]
# [ 8.84765988e-01]
# [-5.31788197e-02]]
# Cost:
# 0.13068648053904192
文章展示了如何使用MATLAB和Python进行线性回归的几个关键步骤,包括生成5x5单位矩阵,绘制数据散点图,实现梯度下降算法以优化代价函数,以及对多变量线性回归进行特征归一化和正规方程计算。
1502

被折叠的 条评论
为什么被折叠?



