一、线性回归
1. 代价函数J(theta)

2. 梯度下降,找到代价函数J(theta)的全局最小值

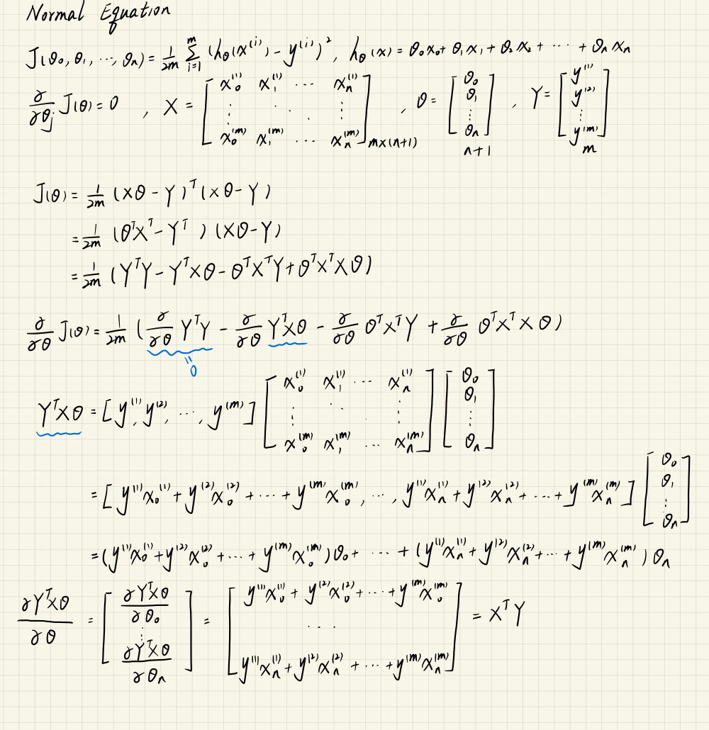
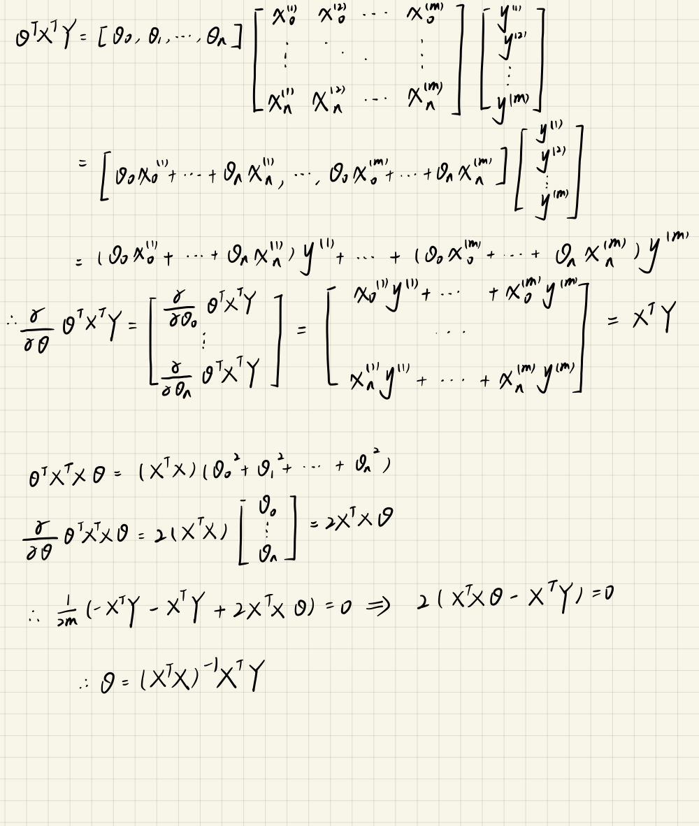
3. 正规方程,找到代价函数J(theta)的全局最小值



4. 正则化(用于避免过拟合)
4.1 带正则项的J(theta)

4.2 梯度下降,找到带正则项的代价函数J(theta)的全局最小值

4.3 正规方程,找到带正则项的代价函数J(theta)的全局最小值

二、逻辑回归
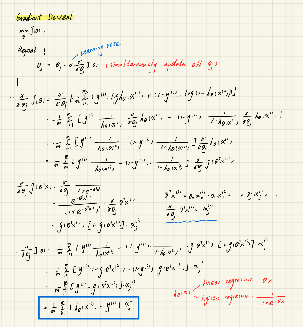
1. 代价函数J(theta)

2. 梯度下降,找到代价函数J(theta)的全局最小值

3. 高级优化算法 (one of)

4. 正则化
4.1 带正则项的J(theta)

4.2 梯度下降,找到带正则项的代价函数J(theta)的全局最小值

4.3 高级优化算法(one of),找到带正则项的代价函数J(theta)的全局最小值

本文介绍了线性回归和逻辑回归的基本概念,包括代价函数J(theta)的定义,使用梯度下降和正规方程寻找最小值的方法。同时,详细探讨了正则化技术,防止过拟合,以及在带正则项的代价函数中应用梯度下降和高级优化算法寻找全局最小值的过程。
1703

被折叠的 条评论
为什么被折叠?



