目录
显式分析和隐式分析的数学本质差异主要体现在时间积分方法和对运动方程的离散化处理上。以下从数学公式推导、稳定性条件和计算流程三个方面详细解释:
1. 运动方程的通用形式
在结构动力学中,系统的运动方程为:

显式和隐式方法的核心区别在于如何对加速度进行时间离散。
2. 显式分析:中心差分法
显式分析通常采用中心差分法(Central Difference Method),直接利用当前时刻的位移和速度计算加速度,并向前推进时间。
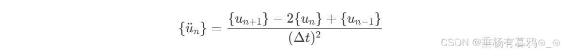
2.1 时间离散公式
-
加速度用当前时刻的位移近似:

-
速度用相邻时刻的位移近似:

2.2 递推方程
将离散后的速度和加速度代入运动方程,显式地递推下一步位移:

2.3 特点
-
无需求解方程组:直接利用当前已知量计算下一步。
-
条件稳定:时间步长必须满足 CFL条件(Courant-Friedrichs-Lewy条件):

2.4 计算流程

3. 隐式分析:Newmark-β法
隐式分析通常采用 Newmark-β法,通过隐式地联立方程求解下一步的位移、速度和加速度。
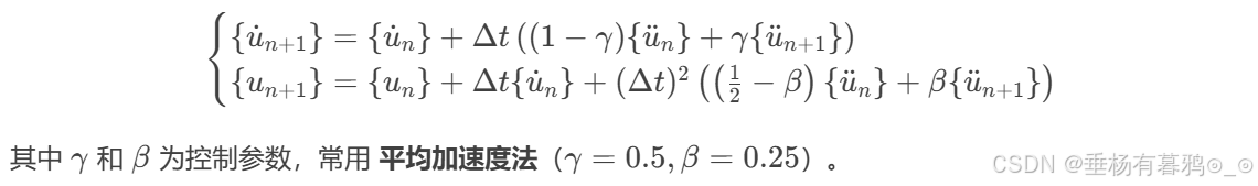
3.1 时间离散公式
Newmark-β法的速度和位移递推公式为:

3.2 隐式方程求解
将速度和位移公式代入运动方程,得到关于的非线性方程组:

需通过迭代(如牛顿-拉夫森法)求解。
3.3 特点
-
需要求解方程组:每一步需联立求解非线性方程。
-
无条件稳定:当β≥0.25,γ≥0.5时,时间步长不受限制(但受精度约束)。
3.4 计算流程
-
初始化位移、速度、加速度。
-
预测下一步位移和速度:

- 迭代修正位移和加速度,直到收敛:

其中有效刚度矩阵为:

4. 数学本质对比
| 数学特性 | 显式分析 | 隐式分析 |
|---|---|---|
| 时间积分方法 | 中心差分法(显式递推) | Newmark-β法(隐式联立方程) |
| 稳定性条件 | 必须满足CFL条件(Δt∝Δx/c) | 无条件稳定(但受精度限制) |
| 计算复杂度 | 单步计算量低(无需矩阵求逆) | 单步计算量高(需迭代求解方程组) |
| 内存需求 | 低(不存储全局刚度矩阵) | 高(需存储并操作刚度矩阵) |
| 适用问题类型 | 瞬态、高动态、强非线性 | 静态、低频动态、弱非线性 |
5. 实例:单自由度系统的对比
考虑单自由度系统 ,对比显式和隐式方法的离散形式。
5.1 显式分析
-
中心差分法:

-
直接递推下一步位移,无需迭代。
5.2 隐式分析
-
Newmark-β法(取β=0.25,γ=0.5):

-
需解线性方程得到
。
6. 总结
-
显式分析通过前向差分直接递推,计算高效但受稳定性限制,适合短时高动态问题。
-
隐式分析通过隐式方程联立求解,计算复杂但稳定性好,适合静态或低频问题。
-
数学本质的差异决定了它们的适用场景和计算效率,工程师需根据问题类型合理选择方法。
1325

被折叠的 条评论
为什么被折叠?



