决策边界

分类问题使用Logistic函数(也叫sigmoid函数),对于乳腺癌的分类问题,只要h(θTx)>=0.5,就令y=1,也就是说θTx>=0,否则令y=0,其中x是肿瘤大小,所以,给出训练集。

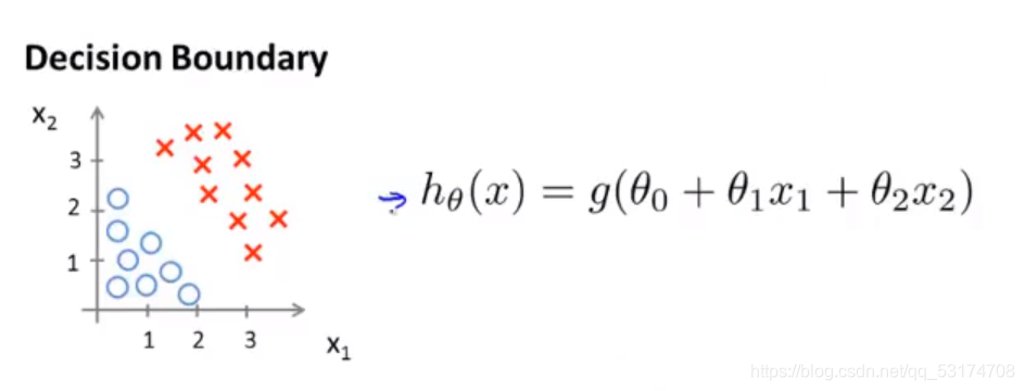
假设,我们已经得到了θ=[-3,1,1]T,所以,当y=1时,-3+x1+x2>0,所以x1+x2<3,
所以这条粉色的线就是决策边界,很好的解决了分类问题。
增加难度,如图:
很明显不能使用线性的决策边界来进行分类,所以我们增加了θ的维度,假定解得θ=[-1,0,0,1,1],带入后得到y=1时,x12+x22>1,单位圆。
所以说,用Logistic(sigmoid)函数解决分类问题灰常优秀。
本文探讨了如何使用Logistic回归(sigmoid函数)解决乳腺癌分类问题。通过实例解释了线性决策边界(如θTx>0.5对应x1+x2<3)和非线性决策边界(如θTx>0对应x12+x22>1,即单位圆)在实际问题中的应用。Logistic函数展示了在复杂分类任务中非线性决策边界的优越性。
2124

被折叠的 条评论
为什么被折叠?



