AP、mAP(pr曲线) 和 ROC、AUC
1 混淆矩阵



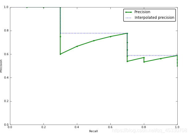
2 查准率precision、 查全率recall、pr曲线、AP、mAP
查准率(准确率)—该数据集中分类器认为是飞机的 真正的飞机数 的占比
查全率(召回率)—该数据集所有的飞机中 被正确认为(预测)出来的飞机数 的占比
或者这样理解
查准率(准确率)—分类器认为 的真正飞机数
查全率(召回率)— 事实上 的真正飞机数










pr曲线下面的面积就是AP 一个类对应这样一个AP

数据集中所有的类 平均一下就有了map
3 ROC、AUC

4 pr 和 ROC 是两个不同的 评价指标和计算方式

样本类别分布不均时 ROC 曲线可以很好的进行 模型性能的度量
参考文献:
https://blog.youkuaiyun.com/jasonzzj/article/details/62237608
https://blog.youkuaiyun.com/hysteric314/article/details/54093734
本文介绍了评估机器学习模型性能的关键指标,包括查准率、查全率、PR曲线、AP及mAP等,并对比了ROC与AUC曲线在样本类别分布不均情况下的应用优势。
2892

被折叠的 条评论
为什么被折叠?



