一、状态空间描述
1.经典控制理论:只能描述定常线性系统;只能表现系统的输入输出关系,反映系统的外部联系,而对系统的内部结构不能提供任何信息,不能完全揭示系统的全部运动状态。
2.现代控制理论:描述了系统的输入、输出与内部状态之间的关系,揭示了系统内部状态的运动规律,反映了系统动态特性的全部信息。
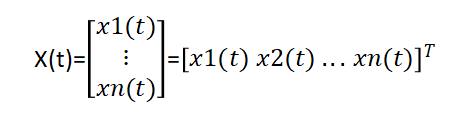
2.1状态变量:**能完全表征系统运动状态的最小一组变量,或能完全描述系统时域行为的最小变量组。
完全表征:在任何时刻t=t0,这组状态变量的值x1(t0),x2(t0),x3(t0),…,xn(t0)就表示系统在该时刻的状态,当t≥t0时的输入u(t)给定,且上述初始状态确定时,状态变量能完全确定系统在t≥t0时的行为,并且与t0时刻之前的状态和输入无关。
2.2状态向量:n个彼此独立的状态变量x1(t0),x2(t0),x3(t0),…,xn(t0)作为分量所构成的向量称为状态向量。

2.3状态空间:以状态空间变量x1(t0),x2(t0),x3(t0),…,xn(t0)为坐标轴所构成的n维空间,称为状态空间。
2.4状态轨迹:如果给定了初始时刻t0的状态x(t0)和t≥t0时的输入函数,随着时间的推移,x(t)将在状态空间中描绘出一条轨迹,称为状态轨迹。
2.5状态方程:系统的状态变量与输入之间的关系用一组一阶微分来描述的数学模型。

X(t)为系统的n维状态向量,u(t)为系统的r维输入向量,f为n维向量函数。
2.6输出方程:系统输出变量与系统状态变量、输入变量之间的数学表达式。

y(t)为系统m维输出向量,g为m维向量函数。
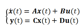
2.7状态空间一般表达式

2.8状态空间表达式结构图

3.如何建立状态空间表达式:
3.1系统框图形式
直接将系统框图中每个积分器的输出作为一个状态变量x,那么其输入就是x(dot),下图为举例推演:

如果框图中的传递函数存在零点,那么则需要将其先化成部分分式形式。
3.2微分方程形式:
(1)输入u不含导数项

(2)输入含有导数项


写状态空间表达式的时候的步骤是先找a、b矩阵对应的各个值,然后根据系数矩阵写出β矩阵的各个值,最终再写出向量表达式。
4.标准型:
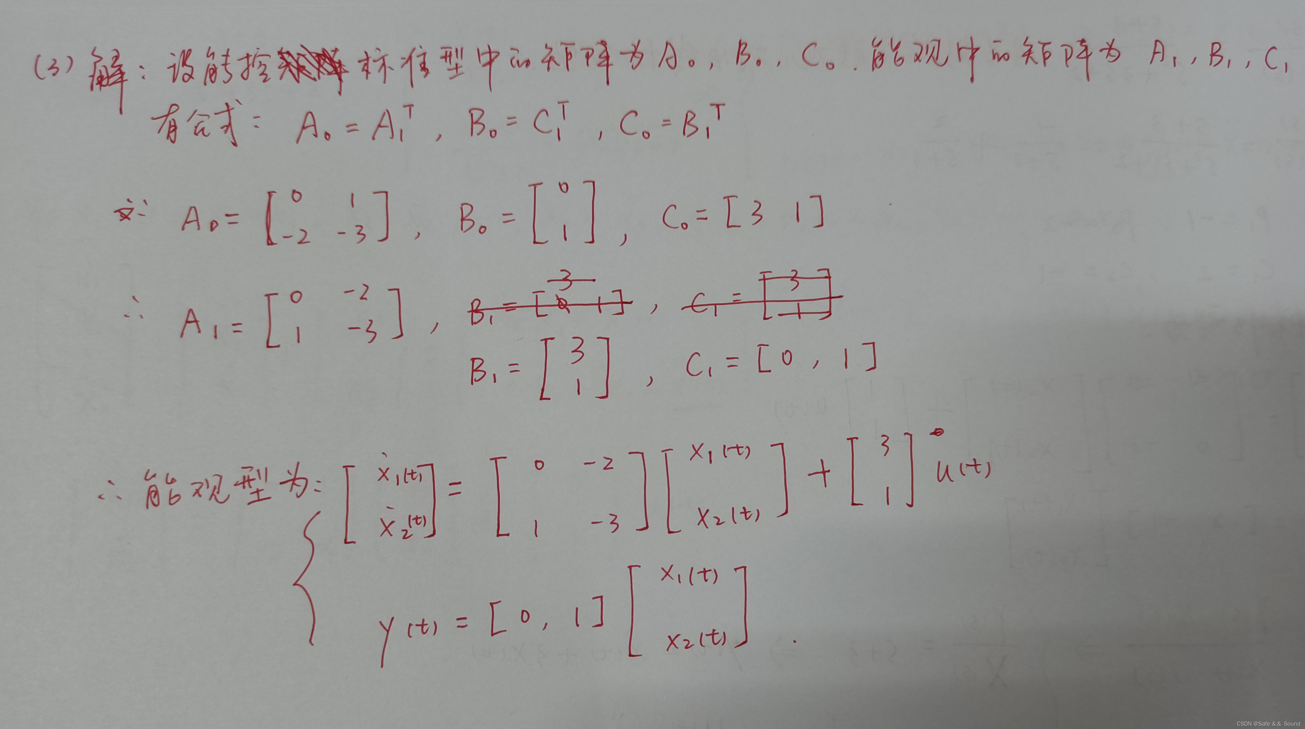
(1)能控标准型:
特点是A矩阵主对角线上方的元素全为1,最后一行的元素由微分方程系数a[i],(i=0,1,…,n-1)取负号构成,其余元素皆为0,又称为友矩阵;矩阵B的最后一个元素为1,其余为0。在用极点配置方法设计系统时用到。
(2)能观标准型:
特点是矩阵A主对角线下方的元素全是1,最后一列的元素由微分方程系数a[i],(i=0,1,…,n-1)取负号构成,其余元素为0;矩阵C的最后一个元素为1,其余为0。
用(A1,B1,C1)表示能控标准型,(A2,B2,C2)表示能观标准型,则存在如下关系:

(3)包含异根的对角线标准型:
特点是A矩阵的对角线是所有极点取负号构成,B矩阵全为1。
(4)含有m重根的约当标准型:
特点是A矩阵对角线是所有极点取负号构成,对角线上方的元素中从上往下有m-1个1,B矩阵中从上往下有m-1个0。


1万+





