GRU和LSTM
LSTM与GRU的存在是为了解决简单RNN面临的长期依赖问题(由于反向传播存在的梯度消失或爆炸问题,简单RNN很难建模长距离的依赖关系),一种比较有效的方案是在RNN基础上引入门控机制来控制信息的传播。
更通俗地说,比如很长一句话,靠后的某个词和靠前的某个词存在某种关联,简单RNN模型很难把这个靠前的这个词的信息传递到后面
GRU门控循环单元
他能够让你可以在序列中学习非常深的连接

GRU相当于LSTM的简化版
基本原理
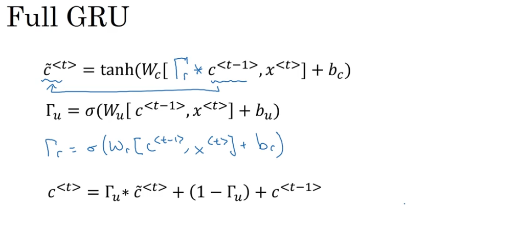
- 引入两个信息控制门
Γ u = σ ( ω u [ c ⟨ t − 1 ⟩ , x ⟨ t ⟩ ] + b u ) \Gamma_{u}=\sigma\left(\omega_{u}\left[c^{\langle t-1\rangle}, x^{\langle t\rangle}\right]+b_{u}\right) Γu=σ(ωu[c⟨t−1⟩,x⟨t⟩]+bu)
Γ r = σ ( ω u [ c ⟨ t − 1 ⟩ , x ⟨ t ⟩ ] + b u ) \Gamma_{r}=\sigma\left(\omega_{u}\left[ {c^{\langle t-1\rangle}}, x^{\langle t\rangle}\right]+b_{u}\right) Γr=σ(ωu[c⟨t−1⟩,x⟨t⟩]+bu)
(1) 更新门 Γ u \Gamma_{u} Γu : 控制当前状态 c t c^t ct需要从上一时刻状态 c t − 1 c^{t-1} ct−1中保留多少信息,以及需要从候选状态 c ~ ( t ) \tilde{\boldsymbol{c}}^{(t)} c~(t)中接收多少信息
(2)重置门 Γ u \Gamma_{u} Γu: 控制候选状态 c ~ ( t ) \tilde{\boldsymbol{c}}^{(t)} c~(t)的计算是否依赖上一时刻 c < t − 1 > c^{<t-1>} c<t−1>
- 生成候选状态
c ~ ( t ) = tanh ( ω c [ Γ r c ⟨ t − 1 ⟩ , x ( t ) ] + b c ) \tilde {c}^{(t)}=\tanh \left(\omega_{c}\left[{\Gamma_r }c^{\langle t-1\rangle}, x^{(t)}\right]+b_{c}\right) c~(t)=tanh(ωc[Γrc⟨t−1⟩,x(t)]+bc)
- 候选值即记忆细胞的候选值,存储的是新的信息,当 Γ u \Gamma_{u} Γu等于1时,即完全抛弃旧值时, c ⟨ t ⟩ = c ~ ( t ) c^{\langle t\rangle} =\tilde{c}^{(t)} c⟨t⟩=c~(t),不严格的说,存储的就是当前层的激活值.
- Γ r {\Gamma_r } Γr表示是否候选值是否依赖于上一时刻的值
c ⟨ t ⟩ = Γ u ∗ c ^ ( t ) + ( 1 − Γ u ) ∗ c ⟨ t − 1 ) c^{\langle t\rangle}=\Gamma_{u} * \hat{c}^{(t)}+\left(1-\Gamma_{u}\right) * c^{\langle t-1)} c⟨t⟩=Γu∗c^(t)+(1−Γu)∗c⟨t−1)
u u u表示update
Γ u \Gamma_{u} Γu等于0时, 等于 c ⟨ t − 1 ) c^{\langle t-1)} c⟨t−1),即不要更新值,使用旧值
Γ u \Gamma_{u} Γu等于1时,等于$ \tilde{c}^{(t)}$
作为一个门,如果这个门不开,即为0,那么说明记忆细胞还要存储之前存的信息,如果这门要开一点,那么就要"挤进"一点当前层的信息,"赶走"一点原来的信息,如果这个门完全打开,就用当前层的信息覆盖记忆细胞的信息
c ⟨ t ⟩ = a ⟨ t ⟩ c^{\langle t\rangle}=a^{\langle t\rangle} c⟨t⟩=a⟨t⟩


改进版
Γ r \Gamma_{r} Γr其中 r r r表示相关性
长短时记忆网络LSTM (Long Short Term Memory )
传统RNN中的存储着历史信息 a t a_t at,但是 a t a_t at每个时刻都会被重写,因此可以看做一种短期记忆。长期记忆可以看做是网络内部的某些参数,隐含了从数据中学到的经验,其更新周期要远远比短期记忆慢。
比GRU更强大和通用
基本原理
为保持一致性,均使用吴恩达深度学习课程中的符号
h t − 1 = a t − 1 , Γ f = f t , Γ u = f i , Γ o = f t h_{t-1} =a_{t-1},\Gamma_{f} = f_t ,\Gamma_{u} = f_i,\Gamma_{o} = f_t ht−1=at−1,Γf=ft,Γu=fi,Γo=ft
- LSTM引入三个门来控制信息传递
(1) 遗忘门 Γ f \Gamma_{f} Γf 控制上一时刻的内部状态 c t − 1 c_{t-1} ct−1,需要遗忘多少信息
(2) 输入门 Γ u \Gamma_{u} Γu 控制当前时刻的候选状态 c ~ t \tilde{\boldsymbol{c}}_{t} c~t,需要保留多少信息
(2) 输入门 Γ o \Gamma_{o} Γo 控制当前时刻的内部状态 c t \boldsymbol{c}_{t} ct,需要输出多少信息到外部状态 a t a_t at
- 计算
Γ
u
=
σ
(
W
u
[
a
<
t
−
1
>
,
x
<
t
>
]
+
b
u
)
\Gamma_{u}=\sigma\left(W_{u}\left[a^{<t-1>}, x^{<t>}\right]+b_{u}\right)
Γu=σ(Wu[a<t−1>,x<t>]+bu)
Γ
f
=
σ
(
W
f
[
a
<
t
−
1
>
,
x
<
t
>
]
+
b
f
)
\Gamma_{f}=\sigma\left(W_{f}\left[a^{<t-1>}, x^{<t>}\right]+b_{f}\right)
Γf=σ(Wf[a<t−1>,x<t>]+bf)
Γ
o
=
σ
(
W
o
[
a
<
t
−
1
>
,
x
<
t
>
]
+
b
o
)
\left.\Gamma_{o}=\sigma(W_{o}\left[a^{<t-1>}, x^{<t>}\right]+b_{o}\right)
Γo=σ(Wo[a<t−1>,x<t>]+bo)
c ~ < t > = tanh ( W c [ a < t − 1 > , x < t > ] + b c ) \tilde{c}^{<t}>=\tanh \left(W_{c}\left[a^{<t-1>}, x^{<t>}\right]+b_{c}\right) c~<t>=tanh(Wc[a<t−1>,x<t>]+bc)
c
<
t
>
=
Γ
u
∗
c
~
<
t
>
+
Γ
f
∗
c
<
t
−
1
>
⟩
\left.c^{<t>}=\Gamma_{u} * \tilde{c}^{<t>}+\Gamma_{f} * c^{<t-1>}\right\rangle
c<t>=Γu∗c~<t>+Γf∗c<t−1>⟩
a
<
t
>
=
Γ
o
∗
tanh
c
<
t
>
a^{<t>}=\Gamma_{o} * \tanh c^{<t>}
a<t>=Γo∗tanhc<t>
(1) 先利用上一时刻外部状态 a t − 1 a_{t-1} at−1和当前时刻的输入,计算三个门和候选状态 c ~ < t > \tilde{c}^{<t>} c~<t>的值
(2) 结合遗忘门和输入门来更新内部状态(记忆单元) c t c_t ct
(3) 结合输出门控制内部状态的信息传递到外部状态 h t h_t ht
问题: 点乘,叉乘

GRU和LSTM对比

GRU在对于当前的信息和过去的信息面临着二选一的状况,选了90%的现在的信息,那么过去的信息大多就要被舍弃,只通过加入一个门 g t g_t gt来实现
LSTM这点上是做的更全面,通过三个门 g u , g f , g o g_u,g_f,g_o gu,gf,go来实现,以独立的门来控制当前层的信息需要多少,记忆细胞中原来的信息保留多少

c < t > c^{<t>} c<t>是记忆单元,是LSTM的核心部分,可以在某个状态捕捉到关键信息,并有能力将此关键信息保存一定的时间间隔
如何保存关键信息可以通过遗忘门 Γ f \Gamma_{f} Γf和输入门 Γ u \Gamma_{u} Γu控制,因此内部状态 c < t > c^{<t>} c<t>保存信息的周期要长于短期记忆,但又短于长期记忆,(或者说,关键信息中既有长期记忆的部分,也有短期记忆的部分),因此成为长短期记忆

代码来看LSTM
LSTM的输入
- batch_size
- time_step
- input_embedding_size : 输入词向量维度
- num_units: 隐层神经元个数
对于每个时间步:
Γ
u
=
σ
(
W
u
[
a
<
t
−
1
>
,
x
<
t
>
]
+
b
u
)
\Gamma_{u}=\sigma\left(W_{u}\left[a^{<t-1>}, x^{<t>}\right]+b_{u}\right)
Γu=σ(Wu[a<t−1>,x<t>]+bu)
Γ
f
=
σ
(
W
f
[
a
<
t
−
1
>
,
x
<
t
>
]
+
b
f
)
\Gamma_{f}=\sigma\left(W_{f}\left[a^{<t-1>}, x^{<t>}\right]+b_{f}\right)
Γf=σ(Wf[a<t−1>,x<t>]+bf)
Γ
o
=
σ
(
W
o
[
a
<
t
−
1
>
,
x
<
t
>
]
+
b
o
)
\left.\Gamma_{o}=\sigma(W_{o}\left[a^{<t-1>}, x^{<t>}\right]+b_{o}\right)
Γo=σ(Wo[a<t−1>,x<t>]+bo)
c ~ < t > = tanh ( W c [ a < t − 1 > , x < t > ] + b c ) \tilde{c}^{<t}>=\tanh \left(W_{c}\left[a^{<t-1>}, x^{<t>}\right]+b_{c}\right) c~<t>=tanh(Wc[a<t−1>,x<t>]+bc)
c
<
t
>
=
Γ
u
∗
c
~
<
t
>
+
Γ
f
∗
c
<
t
−
1
>
⟩
\left.c^{<t>}=\Gamma_{u} * \tilde{c}^{<t>}+\Gamma_{f} * c^{<t-1>}\right\rangle
c<t>=Γu∗c~<t>+Γf∗c<t−1>⟩
a
<
t
>
=
Γ
o
∗
tanh
c
<
t
>
a^{<t>}=\Gamma_{o} * \tanh c^{<t>}
a<t>=Γo∗tanhc<t>
输入数据维度为 [batch_size*input-embedding_size]
矩阵 W x W_x Wx维度为[input-embedding_size*num_untis]
隐层输出数据:[batch_size*num_units]
矩阵 W h W_h Wh的维度为[num_units*num_units]
上一时刻的输出 h t − 1 h_{t-1} ht−1数据维度为**[num_units](实际上是[batch_size*num_units]**)
每个时间步都是这样的,所以隐层在所有时间步(堆叠)乘上权重后,形成的Tensor为
[time_step,batch_size,num_units]或者[batch_size,time_step,num_units]
LSTM内部网络
门gate即实际上就是一层全连接层,它的输入是一个向量,输出是一个0到1之间的实数向量
可以看到中间的cell 里面有四个黄色小框,每一个小黄框代表一个前馈网络层,num_units(即HIDDEN_SIZE, 隐藏层结点个数)就是这个层的隐藏神经元个数,其中1、2、4的激活函数是sigmoid,3的激活函数是tanh
cell的权重是共享的,这是什么意思呢?这是指这张图片上有三个绿色的大框,代表三个 cell对吧,但是实际上,它只是代表了一个 cell在不同时序时候的状态,所有的数据只会通过一个cell然后不断更新它的权重。
nn.LSTM()参数解析
参数
– input_size
– hidden_size
– num_layers
– bias
– batch_first
– dropout
– bidirectional
输入
input,( h 0 , c 0 h_0,c_0 h0,c0),其中,如果 h 0 , c 0 h_0,c_0 h0,c0未提供,那么以0矩阵为初始化矩阵
-
input (seq_len, batch, input_size)
-
h_0 (num_layers * num_directions, batch, hidden_size)
t=0时候没有上一时刻信息可用,所以通过随机初始化方式,定义 h 0 , c 0 h_0,c_0 h0,c0
h 0 h_0 h0表示上一时刻的输出,是短期记忆信息
-
c_0 (num_layers * num_directions, batch, hidden_size)
h 0 h_0 h0表示之前的记忆信息,是长期记忆信息
输出
-
output (seq_len, batch, num_directions * hidden_size)
-
h_n (num_layers * num_directions, batch, hidden_size)
-
c_n (num_layers * num_directions, batch, hidden_size)
参数详解
-
input_size:
输入x的向量里有多少个元素 输入的x一般为一个字的embedding 或者说 就是embedding size
-
hidden_size: The number of features in the hidden state
h -
num_layers: Number of recurrent layers. E.g., setting
num_layers=2would mean stacking two LSTMs together to form astacked LSTMwith the second LSTM taking in outputs of the first LSTM and computing the final results. Default: 1LSTM 堆叠的层数,默认值是1层,如果设置为2,第二个LSTM接收第一个LSTM的计算结果。
相当于多个Lstm串联
-
batch_first: If
True, then the input and output tensors are provided as(batch, seq, feature)instead of(seq, batch, feature).Note that this does not apply to hidden or cell states. See the Inputs/Outputs sections below for details. Default:False判断输入输出的第一维是否为 batch_size,默认值 False。故此参数设置可以将 batch_size 放在第一维度。
torch.LSTM 中 batch_size 维度默认是放在第二维度,故此参数设置可以将 batch_size 放在第一维度。
-
dropout: If non-zero, introduces a
Dropoutlayer on the outputs of each LSTM layer except the last layer, with dropout probability equal to :attr:dropout. Default: 0
默认值0。是否在除最后一个 RNN 层外的其他 RNN 层后面加 dropout 层。输入值是 0-1 之间的小数,表示概率。0表示0概率dripout,即不dropout
- bidirectional – If True, becomes a bidirectional LSTM. Default: False
num_layers: Number of recurrent layers. E.g., setting ``num_layers=2``
would mean stacking two LSTMs together to form a `stacked LSTM`,
with the second LSTM taking in outputs of the first LSTM and
computing the final results. Default: 1
bias: If ``False``, then the layer does not use bias weights `b_ih` and `b_hh`.
Default: ``True``
bidirectional: If ``True``, becomes a bidirectional LSTM. Default: ``False``
proj_size: If ``> 0``, will use LSTM with projections of corresponding size. Default: 0
双向LSTM
单向LSTM仅保留过去的信息,因为它只能看到过去的信息.
使用双向将以两种方式运行您的输入,一种从过去到将来,另一种从将来到过去,这种方法与单向的不同之处在于,在向后运行的LSTM中,您保留了未来的信息并结合使用两个隐藏状态,您可以在任何时间点保存过去和将来的信息.
双向卷积神经网络的隐藏层要保存两个值, A 参与正向计算, A’ 参与反向计算。
最终的输出值 y 取决于 A 和 A’:

即正向计算时,隐藏层的 s_t 与 s_t-1 有关;反向计算时,隐藏层的 s_t 与 s_t+1 有关
举例说明
前向的LSTM与后向的LSTM结合成BiLSTM。比如,我们对“我爱中国”这句话进行编码,模型如图6所示



本文详细解析了GRU和LSTM这两种RNN改进模型,它们通过门控机制处理长期依赖问题。GRU是LSTM的简化版,具有更新门和重置门,而LSTM则引入了遗忘门、输入门和输出门,提供更全面的信息控制。理解这些结构有助于在实际应用中选择合适的模型来处理序列数据中的复杂依赖关系。
1188

被折叠的 条评论
为什么被折叠?



