1. 空间信息服务介绍
1.1. 从地理信息系统到地理信息服务
地理信息技术已经从地理信息系统发展到地理信息服务,而且扩展到与所有地理信息相关的服务资源,包括:
- 空间数据资源
- 处理软件资源
- 空间信息资源
- 地学知识资源
- 传感器资源
- 计算资源
- 存储资源
- 网络资源

1.2. 空间信息处理智能服务关键技术

1.3. 空间信息服务分类
1. 地理信息人机交互服务
- 目录浏览器
- 地理信息浏览器
- 地理信息电子表格浏览器
- 服务编辑器
- 链定义编辑器
- 工作流制定管理器
- 地理要素编辑器
- 地理要素符号编辑器
- 要素综合编辑器
- 地理数据-结构浏览器
2. 地理模型/信息管理服务
- 要素访问服务
- 地图访问服务
- 覆盖访问服务
- 覆盖访问服务-传感器
- 传感器描述服务
- 产品访问服务
- 要素类型服务
- 目录服务
- 注册服务
- 地名词典服务
- 订购处理服务
- 委托服务
3. 地理工作流/任务管理服务
- 链定义服务
- 工作流执行服务
- 预定服务
4. 地理信息处理服务
- 地理信息处理服务-空间处理
- 地理信息处理服务-专题处理
- 地理信息处理服务-时间处理
- 地理信息处理服务-元数据处理
5. 地理信息通讯服务
- 编码服务
- 传输服务
- 地理信息压缩服务
- 地理信息格式转换服务
- 消息服务
- 远程文件和可执行程序管理
6. 地理信息系统管理服务
2. 服务实体质量要素模型
地理信息服务实体实质上是软件组件,发挥作用应依赖于宿主环境(硬件、操作系统、中间件服务器软件等)。依照IS0 9126建立的软件质量模型标准,软件质量要素分为六类,分别是:功能性( functionality)、 可靠性( reliability)、 可用性( usability)、效率( fficiency)、可维护性( maintainabilty)、可移植性( portability)。下面是对这六类质量要素的定义(赵一鸣,2002a) :
- 功能性:是与一组功能及其指定的性质有关的组属性,这里的功能是指满足明确或隐含要求的功能。
- 可靠性:是在规定的一段时间和条件下,与软件维持其性能水平的能力有关的一组属性。
- 可用性:是与一组规定或潜在用户为使用软件所需作的努力和对这样的使用所作的评价有关的一组属性。
- 效率:是在规定的条件下,软件性能水平与所使用资源量有关的一组属性。
- 可维护性:是与进行指定的修改所需的努力有关的一组属性。
- 可移植性:是与软件可从某一环境转移到另一环境的能力有关的一组属性。
上述六类特征可以划分成21个子特征(质量要素),下图是通用软件质量的6个质量要素类别与21个质量要素的结构图。

地理信息服务由于其特殊性(大数据量、处理复杂等),众多质量要素的度量指标有其独特之处,在确定一个合理的度量指标及测量方法时,可以借鉴通用软件质量评价的研究成果。

3. 服务执行质量要素
地理信息服务执行是指实际的执行过程,包括对具体服务操作或者一系列相关操作的调用。地理信息服务执行质量要素模型包括两个部分:质量树和度量指标模型。
- 质量树提供了一种可以根据具体服务类型扩展质量要素的框架,它根据质量要素之间的关系,以树的结构来组织质量要素。
- 度量指标模型提供了一种度量、测量质量要素的框架,是评估、评价服务执行质量的基础,该子模型提供了定制具体度量指标的途径。
- 质量树:质量要素是构成质量的基本单元,根据要素与要素之间的关系,如包含、不相关等,要素之间可以构成一个完整的树结构,树的根是服务执行质量。服务执行质量要素分为两类:过程质量、成果质量。
-

- 该结构可以应用到所有的服务执行环境(软件应用),包括非Web Services的地理信息服务、一般类型的Web服务。
- 过程质量是服务执行过程所固有的特征满足需求的程度。从理论上讲,整个地理信息服务执行就是一个过程,也应该包括过程最终交付产品的质量,即成果质量。
3.1. 过程质量
过程质量的要素应该从过程的用户,即服务的用户的需求出发。服务用户对服务执行过程的需求包括五个方面:安全、事务、稳定性、性能和可用性。过程质量子树结构如图所示,其中灰色表示的节点是树叶节点,即不可再分为子特征。

3.1.1. 安全要素
用户对整个服务过程有安全的需求,包括保密性、完整性和非否认性,保密性是指服务执行中传递的消息对第三方保密。完整性是指消息没有被篡改,完整地传递到消息接收者。数字签名技术可以保证消息的完整性。非否认性是指交互双方不能否认过去的行为,可以起到保护投资者的利益、避免纠纷的作用。
安全质量要素的结构

3.1.2. 事物要素
事务质量要素的结构

服务执行过程应该满足用户对事务的需求,事务的原子性表示所有动作作为一个整体执行,一致性表示数据维持完整性,不出现逻辑上的矛盾。隔离性表示事务间互相隔离,不相互影响。持续性表示事务的结果应该持久化。
3.1.3. 稳定性要素
稳定性主要指服务执行的整个过程都处于顺畅、一致和正确的状态。某一段时间调用操作正常,而另一段时间却调用失败,就是一种服务执行过程不稳定的表现。当然,稳定性包含许多方面:
◼ 可利用性表示在给定的时间跨度内,服务保持可以被调用(正确返回结果)状态的比率。
◼ 可访问性表示在给定的时间跨度内,服务保持可以被访问(无论是否正确响应)状态的比率。
◼ 可靠性表示一系列服务调用中,正确调用所占的比率。
3.1.4. 时间要素
服务执行过程所花费的时间是影响服务用户对服务执行质量满意度的一个要素。空间数据处理的复杂性造成了较长的数据处理时间,而海量性则延长了网络传输的时间。目前,集群、并行计算是减少空间数据处理时间比较可行的方案,而空间数据压缩和分布式缓存技术则是减少数据传输时间的主流方法。
3.1.5. 可用性要素
ISO 9241/11给出的定义是:可用性是一个多要素概念,涉及容易学习、容易使用、系统的有效性、用户满意,以及把这些要素与实际使用环境联系在一起针对特定目标的评价。由于地理信息服务是基于软件接口的,地理信息服务可用性应该包括操作的调用顺序的合理性、操作的简单性和易用性,对应的服务实体的质量要素是可用性类别的一些子特征。
3.2. 成果质量
服务执行的结果有许多种形式,对于空间数据服务WFS,服务执行的结果就是矢量数据:对于地图绘制服务,如WMS,服务执行的结果就是电子地图;对于空间处理服务,依处理任务的不同,结果也不同。由于服务执行结果的多样性,成果质量也分为多个要素。通用的要素可以借鉴数据质量的研究成果,结构如下所示:

- 正确度表示数据真实的程度,即与实际值是否一致。
- 完整性表示“数据足够深人、宽广、完整的程度”(Wang和Madnick, 1989)。
- 时效性表示与时间相关联的数据即时更新的程度,时效性好,表明数据与目前的现实相符程度高。
- 一致性表示数据的某一个条目或者几个条目是否违反了某一个语义规则。
- 精度,顾名思义,表示数据精确的程度。数据的精度直接影响依靠数据的决策,这一点在空间数据的应用中尤为明显。

4. 服务链与传播模型综述
地理信息服务质量的传播指不同流程结构下原子服务的服务质量成服务链服务的服务质量。服务链中质量的传播不仅与各类质量要素自身的特性有关,同时还受制于服务链流程中涉及的工作流模式结构。
服务链质量评估即在传播模型计算出的各类质量要素取值断言或估值的基础上,结合用户的质量偏好对当前服务链实例化方案的服务质量进行综合评估。
抽象服务:代表标准服务接口规范或某种特定的功能 ,但没有指定具体的服务提供者、访问地址和访问协议作为实现方案。
具体服务(服务实例):抽象服务的实例,实现了抽象服务定义的接口或功能,
服务类(候选服务集合):抽象服务对应所有具体Web服务实例构成的集合。

服务链(组合服务):按一定业务规则将多个原子服务或组合服务组织在一起并通过控制流、数据流结构约束使之协作共同完成特定任务的流程结构,是面向Web服务的工作流模型,组合服务对外以Web服务形式提供功能。也有抽象服务链与具体服务链之分。
根据上述概念给出如下符号描述:S={t1,t2,..,ti,...,tn }表示服务链中的任务节点的集合,其中ti表示服务链中第i个任务节点,n表示任务节点的个数;S ={wsi,1,wsi,2,..,wsi,j,...,wsi,m}表示任务ti对应的服务类,其中wsi,j表示该服务类中的第j个服务实例;用wsi,j表示从服务类Si中选出来完成任务ti的服务实例(1≤j ≤ |Si |).其中|Si |表示Si中候选服务实例的个数,则S={wsi,j | ∀ti∈S}构成了服务链的一个实例化方案。
一个抽象服务链往往具有多种实例化方案,而同一服务类的不同服务实例之间存在非功能性差异,因此不同实例化方案形成的具体服务链之间也存在潜在的非功能性差异。当具体服务链以Web服务的形式对外提供服务后,服务质量方面的非功能性差异将体现为不同的服务质量体验。
要对服务链的服务质量进行评估并以此为基础研究服务链最优实例化方法,首先就必须探讨各种服务链微结构和总体结构下如何通过原子服务质量演算服务链的服务质量,即服务链服务质量传播模型。
现有的服务链服务质量传播模型的研究方案,若按照所采用的不同聚合方式可分为基于工作流模式的层次聚合模型和基于执行有向路径的图式聚合模型。
◼ 工作流模式将一组任务聚合为块结构, 通过块结构的嵌套组合形成了具有层次结构的服务链模型,基于工作流模式的层次聚合模型将每个工作流模式对应块结构视为一个原子节点并不断层次聚合形成服务链服务质量。
◼ 图式聚合模型基于服务链一次执行过程中潜在经历的任务节点构成的有向路径讨论质量要素的聚合。若按照质量要素的取值方式不同可分为基于确定值的传播模型和基于不确定值的传播模型。
◼ 基于确定值的传播模型将质量要素取值作为一个确定不变值,出于简单性考虑,现有研究大多采用这种模型探讨服务链服务质量的传播;基于概率的不确定值传播模型将服务质量的取值看做是离散随机变量的概率质量函数,通过定义独立随机变量之间的基本操作和采样空间进行缩域操作构造新随机变量,建立了一种较为精确的服务质量描述方法和计算框架。
4.1. 层次聚合模型
4.1.1. 工作流模式
工作流模式:工作流模式(workflowpatterm)用于表示工作流中各个任务之间的控制依赖关系是流程模型的基本构造单元,通过不同方式组合可以形成完整的工作流控制结构。工作流模式的研究得到了很多研究者的关注,其中最有代表性的是van der Aalst等(2003)通过对工作流流程表达需求的分析,提出的六大类20种工作流模式,如表所示。

由于其不针对具体的工作流模型语言、平台和实现方式,作为工作流模型语言及相关软件产品在业务流程建模能力的度量基准获得了广泛的关注和认可。与此同时,上述工作流模式虽然完备、细化的定义和分辨了各种模式之间的差异,但是模式元素种类过多,使得模式的实现变得复杂。目前主流的工作流模型语言(包括WS-BPEL、WSFL、OWL-S ServiceModel等)和产品(包括COSA、Staffware、 FLOWer 等)均未对其完全显式支持。
常用的流程结构表达控制模式均可通过基本工作流模式的组合、嵌套隐式地实现,因此可以定义针对Web服务的基本组合模式作为 Web服务组合流程的基本构造单元针,各种基本组合模式对应于工作流模式元素或工作流模式元素的组合。
4.1.2. 五种基本组合模式
在对前人研究工作的分析和总结基础上,确定了如表所示的5种基本组合模式:

5种基本组合模式的示意图:
其中,方块表示任务节点,带注记的椭圆表示工作流模式元素,有向链接指明控制流流向。前两个基本组合模式在流程结构上属于串联结构,后三种属于并联结构(包含分支和合并模式)。

4.1.2.1. 串联结构
串联结构基本组合模式下质量要素的聚合公式如表所示,其中Ri,Ai , Ti , Tpi , Rpi和Ci分别表示各组合模式下第i个任务(或分支)上相应的质量要素取值。下表中的循环模式有两种讨论方式,第一种将潜在的执行次数视为固定量k,第二种将循环次数看做离散概率事件,最大循环次数为m,循环j次的概率pj已知且满足 。

4.1.2.2. 并联结构
并联结构的基本组合模式下质量要素的聚合公式如表所示,排他选择模式中pi是指第i个条件分支模型被执行的概率,针对容错模式的1-out-of-N特例1/N和般形式M/N,分别给出了聚合公式。

可以看出聚合吞吐量体现了“木桶原理”,即由一系列任务中的最小值决定。可靠性、可用性自身具有连乘性的聚合特点,响应时间、费用具有累加型,信誉度具有平均性。
由于并行模式和容错模式涉及一定的同步等待性,所以在并行模式中总响应时间由多个分支(任务)中的最大值决定。
在容错模式的1-out-of-N特例中响应时间体现为多个分支(任务)中的最小值,一般容错模式M-out-of-N的总响应时间由第M小的响应时间决定。可靠性和可用性在容错模式中是被加强的,1-out-of-N容错模式中只要有一条(及一条以上)分支可靠(可用),则整个结构就是可靠(可用)的。
实例展示:

实例服务链的层次嵌套结构:

4.2. 图式聚合模型
➢ 由于排他选择模式、多选模式等控制流结构的存在,服务链中某些任务节点不会被执行,而循环模式结构中的任务节点可能会被执行多次,因此服务链执行中实际经历任务节点与服务链模型图结构可能存在潜在的不一致。而服务质量实际上是沿着服务链上任务节点执行的有向路径传播的,与执行时经历的流程结构有密切关系。
➢ 所谓执行路径通俗地讲是指服务链一次执行过程中经历的任务节点及其之间控制流流向依赖形成的有向图结构。由概念可知对于包含排他选择模式、多选模式的服务链会包含多条潜在的执行路径。
◼ 服务链有向图
➢ 全局路径:服务链起始节点到终止节点的完整有向图,由一条或多条路径合并而成。示例服务链的全局路径有向图:

➢ 执行路径:执行路径是一次服务链执行过程可能调用的所有服务节点集合对应的最大子图。由于并行模式、容错模式的存在,执行路径子图中可能有含并行结构。
◼ 服务链有向图
➢ 执行路径:用epl表示服务链的第l条执行路径,示例服务链的执行路径如图所示。

➢ 子路径:执行路径中从一个起始节点到一个终止节点的顺序路径,即将执行路径划分为不包含并行结构的最大子图。用spl k表示服务链第l条执行路径epl上的第k个子路径,下图对应执行路径epl的两条子路径spl 1和spl 2 , ep2的子路径为它本身。

➢ 执行计划:对应于一条执行路径,是执行路径上所有任务节点及其上所选服务实例构成二元组 的集合,其中ti表示执行路径中的任务节点,wsi,j表示执行计划中用于实现任务ti的服务实例。用
表示执行路径epl上的第m个执行计划。一个执行计划给出了服务链中对应执行路径的一种实例化方案。

➢ 全局计划:对应于全局路径,是全局路径上所有任务节点及其上所选服务实例构成二元组 的集合,用
表示全局路径的第m个全局计划。一个全局计划给出了服务链的一种实例化方案。
➢ 关键路径:一个绑定了执行计划的执行路径的所有子路径中,各个节点累计响应时间最长的子路径。
服务质量要素的传播(聚合)是在服务链执行过程中执行的,因此聚合公式将基于执行路径上的执行计划展开讨论。

表示执行路径
上任务节点的集合,
表示子路径
上任务节点的集合。
表示执行路径
上子路径的个数,
表示服务链中任务节点的个数,
表示执行路径
上节点的个数。

-
- 可针对组合模式对应的服务链局部结构指定质量约束条件,使服务链优化满足全局、局部的多重约束。
- 层次聚合模型的缺点:
-
- 服务质量表达过于复杂,不利于优化。聚合表达式由各工作流模式对应表达式层次嵌套而成,导致复杂流程结构的服务链服务质量很难或无法转化为线性形式,不利于采用线性优化方法(如线性规划)进行优化。
- 服务质量表达不够准确,影响优化。对于排他选择模型结构上的聚合服务质量采用了执行概率加权方式(各分支执行概率乘以对应分支上的服务质量后求和)表达,因此无论服务链实际按哪条分支执行聚合公式都无法准确描述实际执行过程中的服务质量。
- 图示聚合模型的优点:
-
- 聚合模型自然、真实地反映服务链的执行形态。
- 若不考虑容错模式,聚合公式相对简单,不会嵌套构成的形态复杂的聚合公式。
- 图式聚合模型的缺点:
-
- 伸缩性不足。服务链每添加一个新的任务节点就需要重新求解服务链对应的全局路径、执行路径、子路径结构。
5. 服务质量的优化
穷举法和线性规划法都是可以严格获得最优解的方法,即所获得方案一定是所有方案中的最优方案。
但这两种方法均存在效率不高的问题(穷举法在较小问题规模时求解时间已经无法接受;线性规划在较大问题规模下求解时间增长很快)并且不能很好地适应动态和实时应用环境的优化需求;
同时,质量要素取值及需求(例如响应时间、吞吐量、可用性)本身就具有不确定性和模糊性。
因此,在避免明显违背约束的情况下,以可以接受的成本找一个比较合理的可行解要比花费高昂成本来寻求最优解更加现实。
5.1. 基于遗传算法的服务链优化方法
5.1.1. 编码方式
5.1.1.1. 一维编码
每个基因位对应一个任务的服务类上的一个候选服务,1表示选中该服务,0表示未选中。每个服务类对应的基因链部分只能存在一个取1的基因位。

一维编码方式无法通过一次编码来表示所有执行路径,只能一次表示一条路径,多条路径需要多次不同编码并通过多次算法执行才能最终从多条路径中选出最佳组合方案,并且这种编码方式也无法采用简单的方式表示组合服务重规划及循环结构等情况。
5.1.1.2. 关系矩阵编码

属于任务位,对应服务链中的第i个任务,位于矩阵主对角线上,表示基因位。
-
- “0” 表示本次编码(规划)中未包含该任务;
- “-1”表示当发生重规划时,该任务对应的具体服务正处于执行状态;
- “-2”表示当发生重规划时,该任务处于无效状态(该任务的所有服务都处于无效状态或该任务被取消不会被执行);
- “-3”表示当发生重规划时,选中的具体服务实例发生变化(服务无效或质量要素取值发生变化);其他正整数值表示本次编码上选中的服务实例。
属于任务关系,表示任务i和任务j在服务链中的直接前后关系,在流程逻辑不变或不发生重规划的情况下,位取值不发生变化。
-
- “0”表示任务i在服务链模型中不是任务j的直接前驱;
- “p”表示任务i是任务j的直接前驱,j位于i后继的某条分支中,从i到j的分支概率为ρ且0<p<1;
- “m”表示任务i是任务j的直接前驱,且i和j间存在多次直接前后运行关系,m表示运行次数,1≦m<min{k1 , k2 , k3 , k4 }。
-
-
- “k1 ”表示j的所有描述并行调用的直接前驱节点均来自于一个并行模式结构的分支,i是其中一条分支中对应的直接前驱;
- “k2 ”表示i的所有描述并行调用的直接后继节点均来自于一个并行模式结构的分支,j是其中一个直接后继;
- “k3 ”表示j的所有描述并行调用的直接前驱节点来自不同并行模式结构的分支,i是其中某个并行模式结构的一条分支中对应的直接前驱;
- “k4 ”表示i的所有描述并行调用的直接后继节点来自不同并行模式结构的分支,j是其中某个并行模式结构的一条分支中对应的直接后继;
-
-
- k1 , k2 , k3 , k4是并发的标识符,用来描述并发调用的不同状态,这四个数是可调整的经验值,需保证由m, k1 , k2 , k3 , k4任意相加而成的gi,j的分解没有二义性,从而可以精确获取任务间的关系。
的取值可以是p, m, k1 , k2 , k3 , k4的任意组合,可以借助这样的组合表示多种服务链模式结构。
上述关系矩阵编码方式与遗传算法构成、服务链的对应关系:
- 种群是所有全局计划集合中的一部分;
- 染色体是矩阵主对角线上任务排列的具体表现,代表服务链的一个全局计划;
- 基因位为矩阵主对角线上的元素,代表服务链中的任务;基因位关系表示服务链中各任务前后的逻辑关系;
- 交叉、变异操作只针对矩阵主对角线上的任务位进行;交叉和变异操作,可能会生成无效的全局计划,需根据任务关系位来判断新生成的染色体的有效性,若无效需重新生成。
关系矩阵编码方式特点:
- 染色体特征除了由基因决定外,还由基因之间的关系决定;
- 相对稳定性和动态灵活性,不会因为候选服务实例数目变化而变化,任务关系位的取值也相对稳定,矩阵大小不变;
- 并行性强,可同时进行多条执行路径间的比较(全路径搜索能力),从而可在一次比较中选出包含所有路径的全局计划,提高了多路径搜索效率;
- 支持排他选择模式结构、顺序模式结构、并行模式结构、循环模式结构,同时具有重规划能力;
- 可扩展性强,可通过扩展基因关系位的数字含义来增加对更多复杂工作流模式结构的表达。
5.1.2. 适应度函数
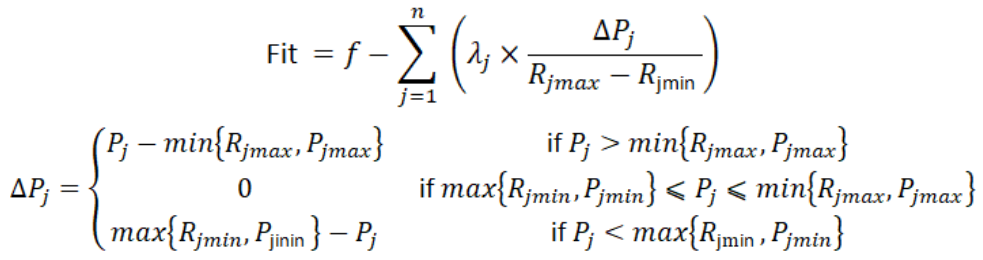
张成文定义的适应度函数由罚函数和目标函数 f 共同组成,罚函数是一种通用的处理受限优化问题的方法,由于服务链优化中用户可能会定义全局、局部和个体质量约束,适应度函数可写为:

n为约束条件个数;
Rjmax和Rjmin分别是全局路径上所有实例化方案中第j个约束条件对应质量要素取值的上下界;
为系数(需满足破坏约束的惩罚程度与用户对该质量要素的关注程度成正比);
Pj表示第j个约束条件对应质量要素在服务链中的取值;
Pjmax和Pjmin分别是约束条件的上下界。
目标函数采用了正向、负向质量要素的加权比值形式。

和
分别表示服务链正向和负向质量要素的聚合取值,
和
是对应的权重且满足所有权重之和为1,
和
表示所有全局计划中质量要素聚合值的最大值,
和
示所有全局计划中质量要素聚合值的最小值。
5.1.3. 种群多样性策略设计
应用遗传算法是否成功的关键在于能否避免遗传算法的早熟收敛,而早熟收敛的一个主要原因是种群有效基因的缺失。
种群多样性即种群在搜索空间中的分布离散程度(种群空间分布越大,种群的多样性就越强)和种群集合中不同类型个体的分布情况(种群中不同类型的个体越多,种群多样性越强)。
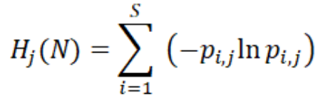
可以采用方差和熵两个量来衡量种群多样性。方差体现了种群在搜索空间中的分布离散程度,熵体现了种群集合中不用类型个体的分布情况。
1. Hj (N)表示N个染色体第j位的信息熵,Pi,j为N个染色体第j位取第i个候选服务的概率,S表示第j个基因位可供选择的候选服务个数。熵值越小多样性越差,为0时最差。

2. H(N)表示N个染色体的信息熵,M为染色体基因位数,熵值越小多样性越差,为0时所有染色体相同。种群多样性用所有染色体的H(N)表示。

3. 个体多样性计算公式,di表示第i个染色体个体多样性,N为种群中所有染色体的总数,H(2)表示第i个个体与除它以外的所有其他个体两两之间的信息熵。

4. ei表示第i个个体被选择的期望,Fiti和di分别是第i个个体的适应度和个体多样性,具有高适应度和高多样性的个体具有高的选择概率。但计算个体信息大大增加了运行时间,并且将随着种群中染色体个数的增加而增加,因此仅根据个体适应度函数进行个体选择,即ei =Fiti。

种群向着高适应度、低多样性的方向发展,符合自然界进化情况。
种群多样性控制操作:种群进化迭代中缓存上一代种群作为缓存种群,针对生成的下一代种群,计算和比较它们的种群进化期望值。如果产生“退化”,则用缓存种群替代新种群,否则用新的种群替换缓存种群,保存新的优良种群,并进入下一次进化迭代。
由于在遗传算法运算的前期应该采用“多样性大”而优的策略,后期采用“多样性小”而优的策略,但前后期如何界定是一个模糊控制问题,种群进化期望公式如下:

是种群平均适应度;
r是(0, 1)之间的一个随机数,它决定了H(N)对进化期望的影响力;
b是[0, 1]之间的一个随机数,它是对应早期进化和后期进化的分割点的系统参数;
t是当前进化代数,随进化的进展不断变化;
T为经验值,表示在这种情况下的截止代数经验值。
上述基于遗传算法的服务链优化方法给出了从编码方式、适应度函数设计、结合种群多样性的选择机制、交叉策略、变异策略和初始种群生成策略的完整方案,同时支持规划和重规划需求。
但是针对算法的通用性、自适应性以及编码方式中如何同时体现数据流和控制流关系等都还有待于进一步研究。
由前面的叙述可知,考虑到服务链优化问题的求解成本,质量要素取值及需求本身的不确定性和模糊性,以及服务环境的高动态性,启发式算法是一个现实的选择。
考虑将全局优化和个体优化两种方法的优点结合并避免各自的缺点,形成既高效又同时获得能满足全局约束的近似最优解的新算法呢。Alrifai 提出了通过轻量级的全局优化计算将全局约束转化为个体约束(全局质量约束的分解阶段),然后通过改进型个体优化方法获取各个任务节点中顾及全局优化目标的、满足个体约束的最优服务实例(个体寻优阶段),以此获得近似最优解的方法。
上述方法将顾及服务质量的服务链优化问题分解为两个子问题,通过两个阶段来逐步实施,不仅可助于解提高求解效率、也提高了可伸缩性。

被折叠的 条评论
为什么被折叠?



