PT站的做种和魔力值是如何增加换算的?相信混了一段PT界的小伙伴,一定头疼一个问题,各大站点的PT魔力值是怎么计算的呢?今天小编就针对这个问题,给大家做一个解答,希望能帮助大家了解到PT网站的魔力值计算方法。
统计工具采用 PTTools 这款PT助手的截图(隐私部分已做打码处理)

首先要说一下的是,国内PT站点基本上都是同一套魔力值公式,在计算魔力值的差异上基本不大。但是相信很多小伙伴还是云里雾里。下面上一张魔力值计算的公示图(国内90%的PT网站都采用的这套公式)

如图所示,很复杂的一套公式。文科生包括小编我在内,对这个公式真实“恨之入骨”~当然了,其实也不复杂。经过小编通过多种资料的查询,最终得出的结论如下(简易版):
1.发布时间较长
2.做种人数小于10个
3.体积越大越好
只要在保种的同时满足以上3点,基本上跑满进度条是很有可能的!当然啦,如果小伙伴需要了解更加详细的资料,可以继续往下看。
魔力值分析
魔力值的A公式如下:


式中
- A为中间变量
- Ti为第i个种子的生存时间, 即自种子发布起到现在所经过的时间, 单位是周
- T0为参数。T0 = 4
- Si为第i个种子的大小,单位是GB
- Ni为第i个种子当前的做种者数
- N0为参数。N0 = 7
- B为1小时中用户获得的做种魔力值点数
- B0为参数,代表用户1小时获得魔力值的上限。B0 = 50
- L为参数。L = 300
A值
我们只讨论单个种子的情况,因此忽略掉加和运算,该公式包含三个变量,为了研究每个变量的影响,我们把公式拆分
(1)1-10^(-0.25*i) 种子存活周期影响
(2)1+1.414*10^(-0.167*(i-1)) 当前做种人数影响
其中i为变量,分别代表周期数(以周为单位)和种子数
(1)函数图形如下

从图中我们可以很明显看到:8周后时间对函数值没有明显影响。
(2)函数图形如下

从图中我们可以很明显看到:大于10个做种人数后时间对函数值没有明显影响。
(3)(1)*(2)的函数图形为
我们假设做种数和周期的数值相等,可得如下图像

从中可以看到,种子数计时间为5时 ,有最大值。
(4)(1)*(2)*Si的图形
我们让做种数、大小和周期的数值相等,可得如下图像

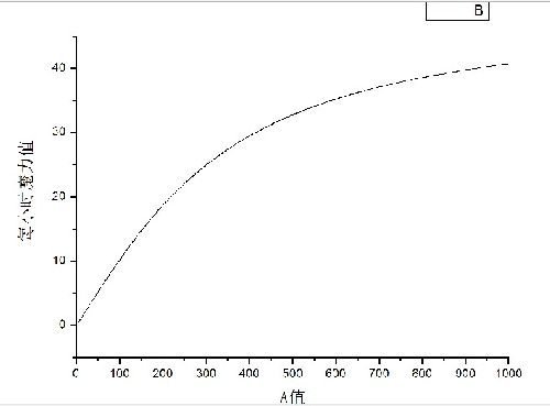
B值
B值(也即每小时魔力值)与A值关系见下图:

在0-300时基本是直线关系。
特殊情况分析
当周期大于8,种子数多于10,函数(1)(2)的值不再随他们的增加而明显改变,因此以此时的值代替周期大于8,种子数多于10的值是合理的。
下面分析满足以上情况时的魔力值。
首先周期等于8,种子数等于10时,函数(1)(2)的值分别为0.99和1.04,则A值为A=1.0296*Si ,B值为B= 31.85*atan((1.0296*Si)/300)
其图形如下

重要结论:经拟合,以上线性方程为y=0.09658x+0.545,x为种子尺寸,y为一个种子每小时魔力值。相关系数为0.99867,标准偏差为0.2886。该方程适合周期大于8 ,做种数多于10的情况。
同时我们还可以得到一个重要结论:占用同样的做种磁盘空间,多个种子和一个种子所获得的魔力值是相等的(不考虑0.6*12,适用于周期大于8,做种数多于10的情况),因为他们的A值是相等的,比如100g种子1个和1g种子100个,他们的A值可用A=1.0296*Si计算,显然二者相等。
结论
1. 8周后时间的增加不会让魔力值明显增加;
2. 做种人数超过10后,做种人数的增加不会明显减小魔力值;
3. 一个种子存活8周后,且做种人数超过10,种子尺寸小于200G时,魔力值与种子大小有近似直线关系,即B=0.09658x+0.545;
4. 占用同样的做种磁盘空间,多个种子和一个种子所获得的魔力值是相等的。
以上就是PT站点魔力值的计算方法,看似复杂,其实主要记住最重要的三点“大” “老” “少” (即种子体积大,种子存活时间长,种子的做种人数少!)
本文介绍了PT站点的魔力值计算方法,重点讲解了影响魔力值的关键因素——种子的体积、存活时间和做种人数。魔力值计算公式涉及复杂的数学模型,但核心原则是种子体积大、存活时间长、做种人数少能有效增加魔力值。此外,文章还探讨了不同参数对魔力值的影响,并提供了重要的结论和实用建议。
6424

被折叠的 条评论
为什么被折叠?



