一、研究背景
1.伪造视频是逐帧生成的,因此会造成时间维度上的伪影。而鲁棒的检测模型需要对同一身份的不同帧有一致的检测结果。
1.利用频率线索进行deepfake检测效果良好,但也会导致帧间不一致问题,即不同帧检测结果不同。
2.以往方法中固定的分类超平面不能准确地分割所有帧的类别。
二、研究目标
1.提高预测结果的稳定性和一致性,以进一步提高检测算法的性能。
2.根据单个实例自适应地调整鉴别中心并进行预测。
三、技术路线

1.Dual-domain Intra-Consistency Module:通过挖掘帧间相关表征以及域间互补线索来获取潜在一致性。
- 频域变换:经DCT、IDCT得到频域特征{F1H,…,FnH}\{F^{H}_1,\dots,F^{H}_n\}{F1H,…,FnH}
- 序列求和:经元素级求和得到序列级共有特征SHS^HSH,以增强帧间共有特征,减轻噪声特征

- 注意力:利用channel-wise SoftAttention为每个实例提取注意力特征嵌入AˉiH\bar{A}^H_iAˉiH


- RGB支路:融合频域特征后进行相似操作
- 特征拼接:拼接频域序列{F1H,…,FnH}\{F^H_1,\dots,F^H_n\}{F1H,…,FnH}和RGB序列{F1,…,Fn}\{F_1,\dots,F_n\}{F1,…,Fn}
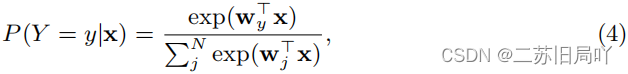
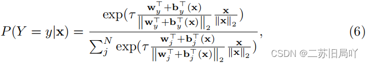
2.Instance-Discrimination Module:根据输入实例动态调整超平面的位置,令特征分布更广,正负区分度更大。

- 利用SoftMax+FC进行可能性预测:

- 利用normalized SoftMax中的wow_owo、w1w_1w1表征鉴别中心

- 利用FC、BN、ReLU为wow_owo、w1w_1w1提取偏置brb_rbr、bfb_fbf
- 利用Instance-Discrimination SoftMax进行可能性预测:
IDM会根据每个单独的实例来调整鉴别中心

- 数学推导
ϵ\epsilonϵ可看作自适应边界,与以往固定的positive margin不同,ϵ\epsilonϵ可正可负

四、实验结果


本文提出了一种新的深度伪造检测方法,通过Dual-domainIntra-ConsistencyModule增强帧间一致性,利用频域变换和注意力机制减少噪声。同时,Instance-DiscriminationModule实现了根据实例动态调整鉴别中心,提高预测的稳定性和准确性。实验结果显示了该方法在深度伪造检测中的有效性。
1609

被折叠的 条评论
为什么被折叠?



