题目:Unsupervised Domain Adaptation with Noise Resistible Mutual-Training for Person Re-identification
作者:Fang Zhao
一、研究背景
无监督聚类产生的伪标签有噪声,会影响进一步自训练的效果。
二、研究目标
提出了Noise Resistible Mutual-Training (NRMT) method(可以抵抗噪音的相互训练方法),在自训练的基础上,进行聚类并分配伪标签,并优化两个问题,即如何聚类以及如何选择高质量(可靠、信息量大)的实例。
三、技术路线

1、用聚类的自训练

为了最小化损失(1),首先用源域数据初始化参数W;固定W,通过聚类最小化关于Y的损失;固定Y,并通过梯度下降优化关于W的损失。
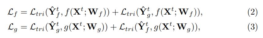
2、用合作式聚类的互训练
在训练过程中同时维护两个网络,并允许这两个网络在每次迭代中,通过合作聚类共享聚类信息,以此减少他们各自的标签错误。网络拥有自己的伪标签和对应网络的伪标签。

如果样本被分配两个不同标签,那网络会优先按照简单样本进行训练,因此在下一次迭代时,错误就会被消除。
3、实例互选择
虽然合作式聚类可以在每次迭代时减少噪音样本的影响,但是在每个小的训练批次里,噪音样本仍会产生影响。

研究者Fang Zhao提出NoiseResistibleMutual-Training (NRMT)方法,解决无监督聚类中伪标签噪声问题,通过合作聚类、实例选择优化网络训练,以提高个人重识别的性能。该方法利用合作式学习减少错误标签,结合置信度和信息量筛选训练样本。
最低0.47元/天 解锁文章
2261





