1. 题目
[原题链接]输入两个链表,找出它们的第一个公共节点。
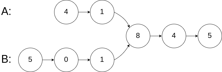
如下面的两个链表:
在节点 c1 开始相交。
示例 1:

输入:intersectVal = 8, listA = [4,1,8,4,5], listB = [5,0,1,8,4,5], skipA = 2, skipB = 3
输出:Reference of the node with value = 8
输入解释:相交节点的值为 8 (注意,如果两个列表相交则不能为 0)。从各自的表头开始算起,链表 A 为 [4,1,8,4,5],链表 B 为 [5,0,1,8,4,5]。在 A 中,相交节点前有 2 个节点;在 B 中,相交节点前有 3 个节点。
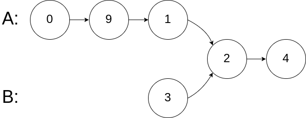
示例 2:

输入:intersectVal = 2, listA = [0,9,1,2,4], listB = [3,2,4], skipA = 3, skipB = 1
输出:Reference of the node with value = 2
输入解释:相交节点的值为 2 (注意,如果两个列表相交则不能为 0)。从各自的表头开始算起,链表 A 为 [0,9,1,2,4],链表 B 为 [3,2,4]。在 A 中,相交节点前有 3 个节点;在 B 中,相交节点前有 1 个节点。
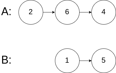
示例 3:

输入:intersectVal = 0, listA = [2,6,4], listB = [1,5], skipA = 3, skipB = 2
输出:null
输入解释:从各自的表头开始算起,链表 A 为 [2,6,4],链表 B 为 [1,5]。由于这两个链表不相交,所以 intersectVal 必须为 0,而 skipA 和 skipB 可以是任意值。
解释:这两个链表不相交,因此返回 null。
注意:
- 如果两个链表没有交点,返回 null.
- 在返回结果后,两个链表仍须保持原有的结构。
- 可假定整个链表结构中没有循环。
- 程序尽量满足 O(n) 时间复杂度,且仅用 O(1) 内存。
- 本题与LeetCode主站 160 题相同:https://leetcode-cn.com/problems/intersection-of-two-linked-lists/
2. 思路
思路1:蛮力法
在第一个链表上顺序遍历每个节点,每遍历到一个节点,就在第二个链表上顺序遍历每个节点,直到找寻到一样的节点。如果两个链表的长度分别为m和n,那么该方法的时间复杂度为O(mn),空间复杂度为O(1)。
思路2:双栈
两个单向链表的公共节点必然出现在尾部。如果从尾部开始往前比较,那么最后一个相同的节点就是我们要找的目标节点。最后遍历的尾节点却要先比较,自然地想到LIFO的栈数据结构。显然我们需要两个辅助栈,分别存放两个链表的节点,这样两个链表的尾节点就位于两个栈的栈顶。如果两个栈顶节点相同,则把栈顶弹出接着比较下一个栈顶,直到找到最后一个相同的节点。如果两个链表的长度分别为m和n,那么该方法的时间复杂度为O(m+n),空间复杂度为O(m+n)。和思路1的蛮力法相比,用空间效率换取了时间效率。
思路3:双指针
之所以需要用到栈,是因为两个链表尾部的公共节点个数相同,从尾部遍历可以同时到达目标节点。如果我们想要从头开始遍历,只需要解决两个链表长度不一致的问题。也就是说,我们先对齐两个链表,再一起往后遍历找到第一个公共节点即可。具体而言:
- 先遍历两个链表的长度,存储为m和n;
- 不妨假设m>n,长链表上的指针先走m-n步,两个指针再分别同时遍历两个链表。
该方法的时间复杂度为O(m+n),空间复杂度为O(1),提高了空间效率。
思路4:浪漫相遇双指针
借用LeetCode高赞回复,这种方法的基本思路就是《你的名字》的核心剧情:
你变成我,走过我走过的路
我变成你,走过你走过的路
然后我们便相遇了
定义两个指针 p、q 分别指向两个链表 A、B 的头节点,然后同时分别逐节点遍历。当 p 到达链表 A 的末尾时,重新定位到链表 B 的头节点;当 q 到达链表 B 的末尾时,重新定位到链表 A 的头节点。当 p、q 相遇时,所指向的节点就是第一个公共节点。
设两个链表长度分别为 m、n, C 为公共部分的长度,按照该思路: p 走了 m 步后,回到 q 的起点走 n-C 步;q 走了 n 步后,回到 p 的起点走 m-C 步。当两个指针走的步数都为 m+n-C 时就相遇了。
该方法的时间复杂度为O(m+n),空间复杂度为O(1),和思路3一样,但代码会格外简洁。
3. 实现
思路3:双指针
# Definition for singly-linked list.
# class ListNode:
# def __init__(self, x):
# self.val = x
# self.next = None
class Solution:
def getIntersectionNode(self, headA: ListNode, headB: ListNode) -> ListNode:
m, n = 0, 0
p, q = headA, headB
while p:
m += 1
p = p.next
while q:
n += 1
q = q.next
if m < n:
headA, headB = headB, headA
m, n = n, m
for i in range(m - n):
headA = headA.next
while headA != headB and headA:
headA, headB = headA.next, headB.next
if not headA:
return None
else:
return headA
思路4:浪漫相遇双指针
# Definition for singly-linked list.
# class ListNode:
# def __init__(self, x):
# self.val = x
# self.next = None
class Solution:
def getIntersectionNode(self, headA: ListNode, headB: ListNode) -> ListNode:
p, q = headA, headB
while p != q:
p = p.next if p else headB
q = q.next if q else headA
return p
4. 其它
- 题目难度:简单
- 相关题目:
- 相关要点:时间效率与空间效率
本文介绍了一种寻找两个链表首个公共节点的方法,通过四种不同的思路解析问题,并提供了两种高效的解决方案,即双指针法和浪漫相遇双指针法。
172万+





