
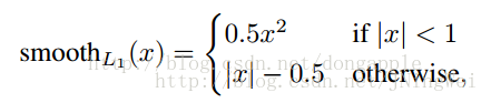
实现代码如下:
def smooth_l1_loss(input, target, sigma, reduce=True, normalizer=1.0):
beta = 1. / (sigma ** 2)
diff = torch.abs(input - target)
cond = diff < beta
loss = torch.where(cond, 0.5 * diff ** 2 / beta, diff - 0.5 * beta)
if reduce:
return torch.sum(loss) / normalizer
return torch.sum(loss, dim=1) / normalizer
博客给出了smoothL1的实现代码,smoothL1是信息技术领域相关内容,代码可用于相关技术的具体实现。
2592

被折叠的 条评论
为什么被折叠?



