
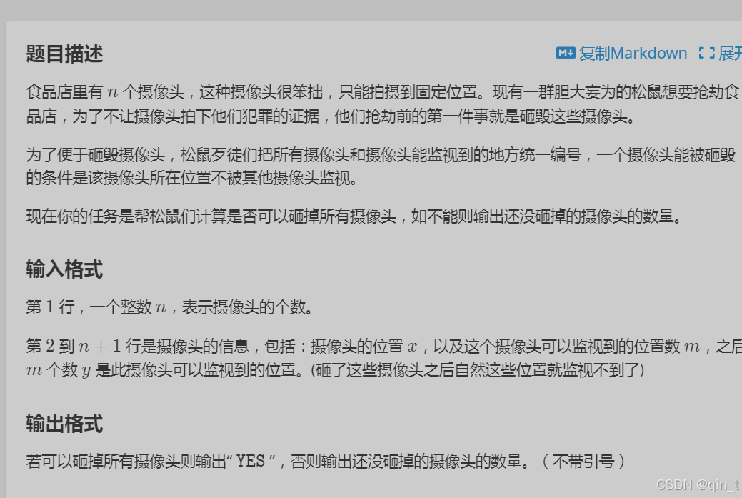
拓扑排序主要运用入度,进行一个又一个删除,保存排序,如图:
第一步:保存图
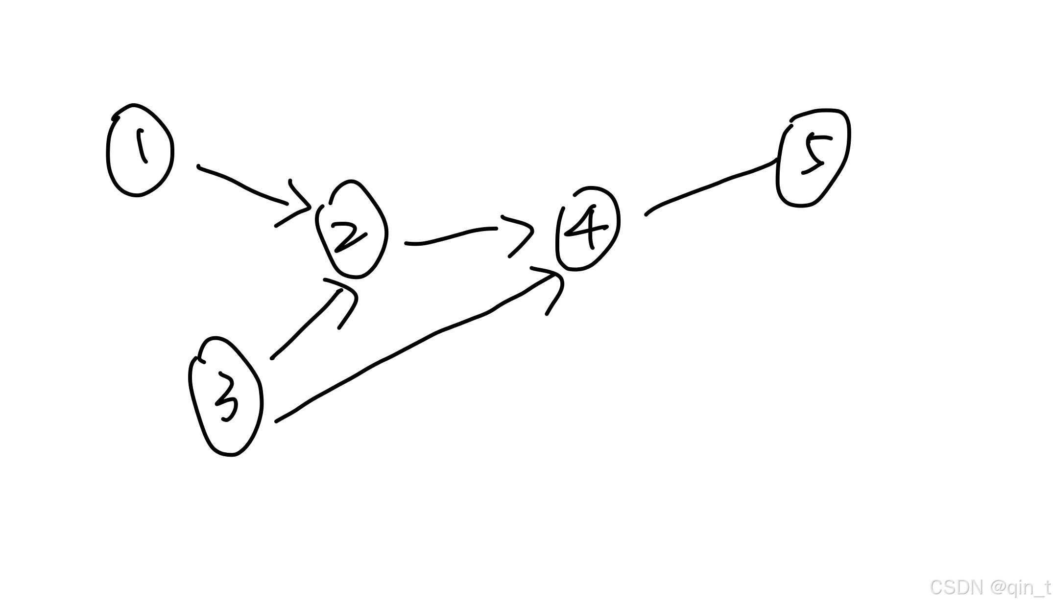
第二步:保存入度
ps•入度即一个点有多少个点指向它
第三步:依次删除入度为0的点,并把此点指向的点的入度-1

P2712 摄像头
主要运用拓扑排序
!!注意:输入时要a[i],防止名称过大




拓扑排序主要运用入度,进行一个又一个删除,保存排序,如图:
第一步:保存图
第二步:保存入度
ps•入度即一个点有多少个点指向它
第三步:依次删除入度为0的点,并把此点指向的点的入度-1

P2712 摄像头
主要运用拓扑排序
!!注意:输入时要a[i],防止名称过大




被折叠的 条评论
为什么被折叠?