AI首次完成非平凡数学证明,破解50年未解的一维J_1-J_2 q态Potts模型难题。通过OpenAI o3-mini-high模型,研究人员发现可将复杂的q2×q2传递矩阵简化为2×2矩阵,为物理、材料科学等领域提供新见解,展示了大模型在科研中的巨大潜力,为AI辅助科学研究开辟新方向。
— 新智元报道
编辑:Aeneas KingHZ
【新智元导读】AI辅助人类,完成了首个非平凡研究数学证明,破解了50年未解的数学难题!在南大校友的研究中,这个难题中q=3的情况,由o3-mini-high给出了精确解。
就在刚刚,AI完成了首个非平凡研究数学证明!
完成这项研究的,是美国纽约布鲁克海文国家实验室凝聚态物理与材料科学分部的一位华人学者Weiguo Yin。

论文地址:https://arxiv.org/abs/2503.23758
在这项研究中,作者在一维J_1-J_2 q态Potts模型,通过引入最大对称子空间(MSS)方法,对其精确求解。
具体来说,作者将q2×q2的传递矩阵进行块对角化。
而q=3的情况,正是基于OpenAI的最新推理模型o3-mini-high来精确求解的。
在AI的帮助下,研究者成功证明,模型可以映射为一维q态Potts模型,其中J_2作为最近邻相互作用,J_1则作为有效的磁场,这一结果扩展了之前在q=2,即Ising模型的证明。
注意,这个问题,在数学界有50年没有解决。
论文引用了关于J_1−J_2伊辛模型(即q=2的Potts模型)的工作,这些工作可以追溯到1969年和1970年。
而o3-mini-high帮忙完成的这项证明,为众多悬而未决的物理问题(层状材料中原子或电子顺序堆叠的问题,以及非常规超导体中常见的T_c-拱形相的形成等),提供了全新的见解。
AI模型在科学研究中的巨大潜力,也再一次被证实!


Weiguo于2004年加入布鲁克海文国家实验室担任研究员,并于2006年晋升为助理物理学家,2008年晋升为副物理学家,2011年晋升为物理学家。
他的专长在于结合第一性原理、有效哈密顿量和机器学习方法,研究强关联体系、挫败磁性、超导性、多铁性、混合的3d-5d化合物、拓扑材料和非平衡态。
1998年,他获得南京大学的博士学位,并荣获2000年国家优秀博士学位论文奖。

五十年未解的数学难题,被AI解决了
在凝聚态物理、材料科学、量子信息学和微电子学等研究领域中,发现新的相和相变是一个核心挑战。
挫败磁体中存在许多不寻常的相,这些磁体通常用伊辛模型(Ising model)或量子海森堡模型(quantum Heisenberg model)来描述。
统计力学的第三个基本模型是q状态Potts模型。
它是伊辛模型(q=2)的推广,可以作为研究从离散(伊辛)对称性到连续(海森堡)对称性转变的有效中介。
特别是,一维J_1-J_2 Potts模型可能与众多问题相关,这些问题涵盖了从层状材料中原子或电子有序的面外堆叠,如1T-TaS_2 中的「大卫之星」电荷密度波,到每个时间步都有多种选择的时间序列问题,如乒乓球训练设计。

1T-TaS2中的「大卫之星」电荷密度波相关论文插图
一维J_1-J_2 Potts模型
尽管一维和二维的J_1-J_2伊辛模型和海森堡模型已被广泛研究,但只有一维J_1-J_2伊辛模型通过转移矩阵法得到了精确解。
对于一维J_1-J_2 Potts模型,至今仍没有精确的解析解。
因为当q=3时,该模型已经展现出与q=2(即伊辛模型)不同的基态相行为(见下图),因此精确求解任意q的模型具有基础性的重要性。

q=2和q=3:不同的基态相行为
挑战在于转移矩阵的阶数迅速增加,阶数为q^2。
可想而知,q=3时的9×9矩阵已经很难进行解析求解,而q=1010时的1010×10^10矩阵,即使是数值计算也无能为力。
先前的研究将任务转化为数值计算有效的q×q矩阵,采用整数q形式的转移矩阵法,或连续q形式的转移矩阵。
尽管物理学的透明度较低,但仍然无法得到精确的解析结果。
因此,对于一维J_1-J_2 Potts模型,至今仍然缺乏其中丰富相行为的直观理解。
OpenAI o3-mini的创举:非平凡证明
最近的两个发展为这一长期未解问题提供了新的视角。
第一个发展是通过基于对称性的块对角化,将装饰伊辛梯形的4×4转移矩阵简化为有效的2×2矩阵。
这些发现为一维挫败Potts模型找到精确解,可能成为这一重要新方向的里程碑。
**第二个发展是OpenAI最新的推理模型o3-mini-high,**推导出了一个优雅的方程,在外部磁场下,可以确定装饰伊辛模型中UNPC的临界温度。

论文链接:https://arxiv.org/abs/2502.11270
因此,作者受到启发,逐步提示AI推理模型,去处理整数q形式的转移矩阵。
尽管AI的回答中有不少错误,针对q=3的情况,最终找到了一种基于对称性的块对角化方法,可以将一维J_1-J_2三状态Potts模型的9×9转移矩阵解析地简化为有效的2×2矩阵。
对于一般的q,关键的对称性是q个Potts状态的全排列对称性。
换句话说,哈密顿量(因此在整数q形式中的转移矩阵)在任何对标签{1,2,3,…,q}的排列下都是不变的;它的对称群是Sq。
虽然AI未能进一步推进,但警告说随着q的增大,排列的数量急剧增加。
然而,q=2和q=3的精确结果,特别是两者都归结为2×2矩阵,启发了作者:
由于在热力学极限下只有转移矩阵的最大特征值(λ)才重要,因此任务简化为识别包含λ的对称分离子空间。
随后,作者发现这个子空间由两个最大对称向量张成,因为所有转移矩阵元素都是正的,这使得最终得到了一个解析的2×2矩阵。
因此,任意q的一维J_1-J_2 Potts模型的精确解,就这样被找到了,而且过程出奇的简单!
o3-mini-high具体起了什么作用
下面我们就来看看,o3-mini-high是如何在这项研究中推导出关键方程,对q=3的情况精确求解,从而确定了装饰伊辛模型中UNPC的临界温度的。
首先,o3-mini-high证明,根据其知识,1D J_1-J_2 Potts模型尚未被精确求解。
接着,模型被提示使用1D J_1-J_2三态Potts模型的之字形梯形版本。
在这种情况下,AI正确地给出了以下哈密顿量表达式:

随后,AI正确地生成了以下传递矩阵的表达式。

其中,(a, b)是由一对自旋组成的「梯级」状态,(a’, b’)是邻近梯级状态。
假设一组梯级状态按以下顺序排列:(1, 1), (1, 2), (1, 3), (2, 1), (2, 2), (2, 3), (3, 1), (3, 2), (3, 3)。
若使用简写符号,则传递矩阵可以明确地表达为如下形式。

对于上面这个T’矩阵,AI被提示说,一定要确保
,从而纠正它的错误,并且识别出S_3的对称群。
然后,AI被提示将T’进行块对角化。
它发现,T’可以通过变换下列这个矩阵来进行块对角化,从而得到
。

因此,得到的块对角化传递矩阵的前2×2块由

给出,其较大的特征值是λ,即传递矩阵T’的最大特征值。
最后,AI被提示生成上述对话的原生Wolfram Mathematica 14.2代码。
这个任务在几秒钟内就完成了,几乎不需要修正。
然而,AI却未能生成适用于一般q的可用Mathematica代码。
相反,它警告说,随着q的增加,S_q对称群中的排列数会急剧增加。
当被进一步要求时,AI创建了一些假Mathematica函数,并表示「这些函数可能值得实现」。

五十年数学难题的精确解
考虑以下哈密顿量[图1(a)]:

为了构建转移矩阵,研究者使用了重叠对的形式化方法来处理方程(1),每个单位格有一个自旋,得到转移矩阵T。
同时使用该模型的等效锯齿梯形表示,其中每个单位格有两个自旋来获得T′。
而且要满足T′=T^2。
在热力学极限N→∞时,配分函数为

其中λ是转移矩阵T的最大特征值。
每个自旋的自由能由下式给出:

其中,β=1/(k_BT),T是绝对温度,k_B是玻尔兹曼常数。
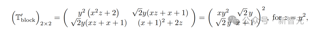
由此得到的变换矩阵是一个q2×2矩阵,它将q2×q转移矩阵T投影到与其余部分解耦的2×2块矩阵T_2,并且该矩阵由于不同的对称性,得到如下方程4:

需要注意的是,最大对称子空间意味着u、v和w的表达式可以通过组合分析直接得到。
转移矩阵T的最大特征值是T_2的较大特征值,为

方程(4)的简洁性为理解一维J_1-J_2 Potts模型中的丰富相行为提供了直观的视角。

图1:(a)单链J_1−J_2 Potts模型的示意图和(b)其等效的锯齿梯形表示。图中的小球代表具有q个状态的自旋。橙色的键表示最近邻相互作用J_1,绿色的键表示次近邻相互作用J_2
Potts模型的历史性进展
为了深入理解这些丰富的相图,首先分析基态的相行为。
在T=0时,对于所有q值,一维J_1-J_2 Potts模型有三个相,这些相由两个临界点(CPs)分开,这些临界点由方程(4)中u、w、v的相对大小决定。
对于q=2(即伊辛模型),与q≥3情况有两个方面的不同:
(1)q=2的两个临界点是对称相关的,位于J_1=±2,而对于q≥3,它们位于J_1=0和J_1=2。
(2)对于q=2,三个相没有宏观的简并性,而对于q≥3,存在一个或两个具有残余熵的非平凡状态。
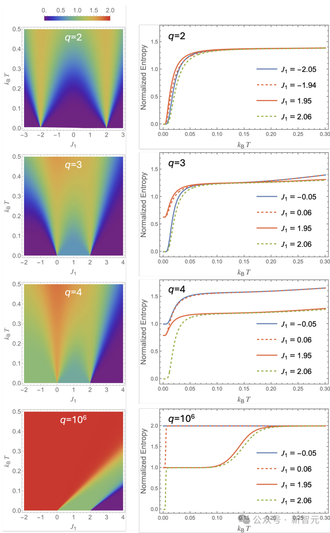
图3总结了左侧和中间相以及两个临界点(CPs)残余熵的q依赖关系。
对于小的q,临界点的残余熵(虚线)明显大于相邻相的残余熵(实线)。
因此,每个临界点在J_1−T相图中随着温度升高发展出V形区域(图2左,q=2,3,4)。
两个临界点的V形区域汇聚在一起,形成一个类似T_c圆顶的区域,代表q≥3的中间随机二聚化相。
当系统靠近临界点时,它并不遵循常规的现象——即转变到具有更高宏观简并性的相,而是转变到临界点发展的V形区域,这也在熵的T曲线中表现为平坦区域(图2右q=2,3,4),此时熵值等于对应临界点的残余熵。

图2:q=2,3,4和10^6的相图
图2左:在J_1−T平面上,归一化熵2S(J_1,T)/ln(q)的密度图。
图2右:在临界点附近,选定J_1值的2S(J_1,T)/ln(q)的温度依赖性。−J_2=1被设定为能量单位。
另一方面,图3显示,对于大的q,临界点的残余熵(虚线)趋近于其相邻相的残余熵(实线),最终变得无法区分——不再有V形的临界点区域(图2左,q=10^6)。

图3:对于q≥3,在J_1的四个不同区域下,零温度归一化熵2S(J_1,0)/lnq的依赖关系
当系统靠近相边界时,它似乎遵循常规的现象,即转变到具有更高宏观简并性的相。
特别是,当J_1>2时,低温铁磁相将经历一个两步的相交叉:首先转变到中间的随机二聚化相,然后转变到左侧的顺磁相。
Tc圆顶是非常规超导性(如铜氧化物、铁基超导体、扭曲双层石墨烯等)中的一个关键现象。
它已被解释为(i)一种预形成的有序状态,随着相位相干性的逐渐建立,或(ii)两种竞争相的结果。
目前通过q依赖性出现和消失的类似圆顶的结构,这一结构由相的两个临界点的残余熵的相对强度控制,为形成圆顶形相提供了另一种可能性。
AI辅助科学研究,潜力巨大
总而言之,用简单的话概括就是,一维J_1-J_2 q状态Potts模型得到了精确解,其中的关键在于发现q2×q2转移矩阵的最大特征值位于一个2×2的最大对称子空间。
而且维J_1-J_2 q状态Potts模型被证明与一维q状态Potts模型等价,其中J_2充当最近邻(NN)相互作用,J_1充当磁场。
模型的基态被发现包含三个相,这些相由两个临界点分开,对于所有q值均如此。
两个临界点的残余熵的相对强度,随着q变大而变大。
对于小q和大q出现和消失的类似圆顶的随机二聚化相,新研究提供了一种新的形成圆顶形相的机制。
而这项研究之所以能完成,都是基于o3-mini-high精确解决了q=3的情况。
这也提示我们,AI提供的广泛信息中,能给研究者提供充分的洞察和激励,尽管它的结论可能并不完美。
就在最近,诺奖得主、GoogleDeepMind CEO Demis Hassabis 评论AlphaFold时这样表示:通过AI,人类现在可以在一年内完成10亿年的博士研究时间。
可以想见,未来AI辅助做出的科研突破还将层出不穷。
那么,如何系统的去学习大模型LLM?
如果你也想系统学习AI大模型技术,想通过这项技能真正达到升职加薪,就业或是副业的目的,但是不知道该如何开始学习*_,因为网上的资料太多太杂乱了,如果不能系统的学习就相当于是白学。
为了帮助大家打破壁垒,快速了解大模型核心技术原理,学习相关大模型技术。从原理出发真正入局大模型。在这里我和MoPaaS魔泊云联合梳理打造了系统大模型学习脉络,这份 LLM大模型资料 分享出来:包括LLM大模型书籍、640套大模型行业报告、LLM大模型学习视频、LLM大模型学习路线、开源大模型学习教程等, 😝有需要的小伙伴,可以 扫描下方二维码免费领取🆓**⬇️⬇️⬇️

【大模型全套视频教程】
教程从当下的市场现状和趋势出发,分析各个岗位人才需求,带你充分了解自身情况,get 到适合自己的 AI 大模型入门学习路线。
从基础的 prompt 工程入手,逐步深入到 Agents,其中更是详细介绍了 LLM 最重要的编程框架 LangChain。最后把微调与预训练进行了对比介绍与分析。
同时课程详细介绍了AI大模型技能图谱知识树,规划属于你自己的大模型学习路线,并且专门提前收集了大家对大模型常见的疑问,集中解答所有疑惑!

深耕 AI 领域技术专家带你快速入门大模型
跟着行业技术专家免费学习的机会非常难得,相信跟着学习下来能够对大模型有更加深刻的认知和理解,也能真正利用起大模型,从而“弯道超车”,实现职业跃迁!

【精选AI大模型权威PDF书籍/教程】
精心筛选的经典与前沿并重的电子书和教程合集,包含《深度学习》等一百多本书籍和讲义精要等材料。绝对是深入理解理论、夯实基础的不二之选。

【AI 大模型面试题 】
除了 AI 入门课程,我还给大家准备了非常全面的**「AI 大模型面试题」,**包括字节、腾讯等一线大厂的 AI 岗面经分享、LLMs、Transformer、RAG 面试真题等,帮你在面试大模型工作中更快一步。
【大厂 AI 岗位面经分享(92份)】

【AI 大模型面试真题(102 道)】

【LLMs 面试真题(97 道)】

【640套 AI 大模型行业研究报告】

【AI大模型完整版学习路线图(2025版)】
明确学习方向,2025年 AI 要学什么,这一张图就够了!

👇👇点击下方卡片链接免费领取全部内容👇👇

抓住AI浪潮,重塑职业未来!
科技行业正处于深刻变革之中。英特尔等巨头近期进行结构性调整,缩减部分传统岗位,同时AI相关技术岗位(尤其是大模型方向)需求激增,已成为不争的事实。具备相关技能的人才在就业市场上正变得炙手可热。
行业趋势洞察:
- 转型加速: 传统IT岗位面临转型压力,拥抱AI技术成为关键。
- 人才争夺战: 拥有3-5年经验、扎实AI技术功底和真实项目经验的工程师,在头部大厂及明星AI企业中的薪资竞争力显著提升(部分核心岗位可达较高水平)。
- 门槛提高: “具备AI项目实操经验”正迅速成为简历筛选的重要标准,预计未来1-2年将成为普遍门槛。
与其观望,不如行动!
面对变革,主动学习、提升技能才是应对之道。掌握AI大模型核心原理、主流应用技术与项目实战经验,是抓住时代机遇、实现职业跃迁的关键一步。

01 为什么分享这份学习资料?
当前,我国在AI大模型领域的高质量人才供给仍显不足,行业亟需更多有志于此的专业力量加入。
因此,我们决定将这份精心整理的AI大模型学习资料,无偿分享给每一位真心渴望进入这个领域、愿意投入学习的伙伴!
我们希望能为你的学习之路提供一份助力。如果在学习过程中遇到技术问题,也欢迎交流探讨,我们乐于分享所知。
*02 这份资料的价值在哪里?*
专业背书,系统构建:
-
本资料由我与MoPaaS魔泊云的鲁为民博士共同整理。鲁博士拥有清华大学学士和美国加州理工学院博士学位,在人工智能领域造诣深厚:
-
- 在IEEE Transactions等顶级学术期刊及国际会议发表论文超过50篇。
- 拥有多项中美发明专利。
- 荣获吴文俊人工智能科学技术奖(中国人工智能领域重要奖项)。
-
目前,我有幸与鲁博士共同进行人工智能相关研究。

内容实用,循序渐进:
-
资料体系化覆盖了从基础概念入门到核心技术进阶的知识点。
-
包含丰富的视频教程与实战项目案例,强调动手实践能力。
-
无论你是初探AI领域的新手,还是已有一定技术基础希望深入大模型的学习者,这份资料都能为你提供系统性的学习路径和宝贵的实践参考,助力你提升技术能力,向大模型相关岗位转型发展。



抓住机遇,开启你的AI学习之旅!

AI破解50年数学难题
691

被折叠的 条评论
为什么被折叠?



