做作业的一些代码,持续更新ing~
作业是参考下面的链接的,其中的一些数据集等可以在该链接获取:GitHub - AccumulateMore/CV: ✔(已完结)最全面的 深度学习 笔记【土堆 Pytorch】【李沐 动手学深度学习】【吴恩达 深度学习】
hw1
编写sigmoid函数
这个是sigmoid函数,函数的表达式是:1/1 + e-x
在np.exp(-x)中不要使用math.exp(-x),因为math.exp(-x)当你输入的是向量的话就会报错,所以用np.exp(-x)
注意:np.array([])采用这样的方式来定义,当你有多个向量的话,就用np.array([[1,2,3],[4,5,6],[7,8,9]])这样的方式定义
import math
import numpy as np
def sigmoid(x):
result = 1 / (1 + np.exp(-x))
return result
print(sigmoid(np.array([[1,2,3],[4,5,6],[7,8,9]])))
创建sigmoid_grad函数
计算sigmoid函数相对于其输入x的梯度。表达式是:sigmoid_derivative(x) = σ'(x)= σ(x)(1 - σ(x))
import numpy as np
def sigmoid(x):
x = 1 / (1 + np.exp(-x))
return x
result = sigmoid(np.array([1,2,3]))*(1 - sigmoid(np.array([1,2,3])))
print(result)
实现image2vector()
该输入采用维度为(length, height, depth)的输入,并返回维度为(length * height * depth, 1)的向量(相当于将高维向量展开成为一个1维向量)。
shape函数返回的是你的当前向量的维度大小,例如(3,3,2)代表着有三个元素,每个元素是3*2的矩阵。
def image2vector(image):
"""
Argument:
image -- a numpy array of shape (length, height, depth)
Returns:
v -- a vector of shape (length*height*depth, 1)
"""
v = image.reshape(image.shape[0] * image.shape[1] * image.shape[2], 1)
return v
image = np.array([[[ 0.67826139, 0.29380381],
[ 0.90714982, 0.52835647],
[ 0.4215251 , 0.45017551]],
[[ 0.92814219, 0.96677647],
[ 0.85304703, 0.52351845],
[ 0.19981397, 0.27417313]],
[[ 0.60659855, 0.00533165],
[ 0.10820313, 0.49978937],
[ 0.34144279, 0.94630077]]])
执行 normalizeRows()来标准化矩阵的行
将此函数应用于输入矩阵x之后,x的每一行应为单位长度(即长度为1)向量。
import numpy as np
def normalizeRows(x):
x_norm = np.linalg.norm(x, axis = 1, keepdims = True)
return x/x_norm
x = np.array([
[0, 3, 4],
[1, 6, 4]])
print("normalizeRows(x) = " + str(normalizeRows(x)))
softmax函数:模型对于每个类别的预测概率
softmax函数会接受一个向量(或者一组原始预测值),然后输出一个同样长度的新向量,其中每个元素的值介于0到1之间,并且所有元素的和为1。这样,输出向量的每个元素可以被解释为模型对于每个类别的预测概率
softmax的函数表达式如下所示:

def softmax(x):
"""Calculates the softmax for each row of the input x.
Your code should work for a row vector and also for matrices of shape (n, m).
Argument:
x -- A numpy matrix of shape (n,m)
Returns:
s -- A numpy matrix equal to the softmax of x, of shape (n,m)
"""
x_exp = np.exp(x)
x_sum = np.sum(x_exp, axis = 1, keepdims = True)
print(x_exp.shape)
print(x_sum.shape)
s = x_exp / x_sum
return s
hw2
识别输入的图像是否是猫,步骤按照下面进行
下面的操作是在jupyter环境中使用的
导入需要使用的包
import numpy as np
import matplotlib.pyplot as plt
from lr_utils import load_dataset
%matplotlib inline
导入数据集
在下载的数据集文件目录下创建jupyter文件
-
train_set_x_orig, train_set_y, test_set_x_orig, test_set_y, classes = load_dataset() # load_dataset在wed_dataseet/wed/lr_utils.py中,可以查看是如何加载数据的,具体的load_dataset代码如下:
import numpy as np
import h5py
def load_dataset():
train_dataset = h5py.File('datasets/train_catvnoncat.h5', "r")
train_set_x_orig = np.array(train_dataset["train_set_x"][:]) # 从train_dataset数据集中取出所有键为train_set_x的y值,并将这些值转换为numpy数值
train_set_y_orig = np.array(train_dataset["train_set_y"][:]) # 同理
test_dataset = h5py.File('datasets/test_catvnoncat.h5', "r")
test_set_x_orig = np.array(test_dataset["test_set_x"][:]) # 从test_dataset数据集中取出所有键为train_set_x的y值,并将这些值转换为numpy数值
test_set_y_orig = np.array(test_dataset["test_set_y"][:]) # 同理
classes = np.array(test_dataset["list_classes"][:]) # 表示图片是不是猫,结果是'non-cat'或'cat'
train_set_y_orig = train_set_y_orig.reshape((1, train_set_y_orig.shape[0])) # 将train_set_y_orig
test_set_y_orig = test_set_y_orig.reshape((1, test_set_y_orig.shape[0]))
return train_set_x_orig, train_set_y_orig, test_set_x_orig, test_set_y_orig, classes
查看训练数据集以及测试集中的图片数据
index = 5
plt.imshow(train_set_x_orig[index]) # 要显示的图像数据,index=5查看的就是第五张图片
print ("y = " + str(train_set_y[:, index]) + ", it's a '" + classes[np.squeeze(train_set_y[:, index])].decode("utf-8") + "' picture.") # y = [0]表示的是不是猫,y = [1]表示的是这是猫
查看数据集中的图片的数量以及图片的长度和宽度
m_train = train_set_x_orig.shape[0]
m_test = test_set_x_orig.shape[0]
num_px = train_set_x_orig.shape[1]
num_py = train_set_x_orig.shape[2]
# shape[0]表示的是数据集中包含多少张图像
# shape[1]表示的是图像有多少行(即图像的高度)
# shape[2]表示的是图像有多少列(即图像的宽度)
# 可以使用print来查看图像的具体参数,例如:
print ("Number of training examples: m_train = " + str(m_train))
print ("Number of testing examples: m_test = " + str(m_test))
print ("Height of each image: num_px = " + str(num_px))
print ("weight of each image: num_py = " + str(num_py))
'''输出如下:
Number of training examples: m_train = 209
Number of testing examples: m_test = 50
Height of each image: num_px = 64
weight of each image: num_py = 64
'''
重塑维度
- 目前的图像的维度可以打印出来查看
print ("train_set_x shape: " + str(train_set_x_orig.shape))
print ("train_set_y shape: " + str(train_set_y.shape))
print ("test_set_x shape: " + str(test_set_x_orig.shape))
print ("test_set_y shape: " + str(test_set_y.shape))
'''输出如下:
train_set_x shape: (209, 64, 64, 3)
train_set_y shape: (1, 209)
test_set_x shape: (50, 64, 64, 3)
test_set_y shape: (1, 50)
'''
- 将三维的数据转换为二维的数据,将每个样本展开成为一个列向量,多个列向量拼接成为一个矩阵
# 假设三维数据的初始形状为 (m, n, p),其中 m 是样本数量,n 是图像的高度,p 是图像的宽度,将其转换为一个二维数组,其形状为 (m, np)。其中的.T操作是对转换后的二维数组进行转置
# 将训练集的维度降低并转置。
train_set_x_flatten = train_set_x_orig.reshape(train_set_x_orig.shape[0], -1).T
# 将测试集的维度降低并转置。
test_set_x_flatten = test_set_x_orig.reshape(test_set_x_orig.shape[0], -1).T
- 查看重塑后的维度
print ("训练集降维最后的维度: " + str(train_set_x_flatten.shape))
print ("训练集_标签的维数: " + str(train_set_y.shape))
print ("测试集降维之后的维度: " + str(test_set_x_flatten.shape))
print ("测试集_标签的维数: " + str(test_set_y.shape))
'''输出如下:
训练集降维最后的维度: (12288, 209) 前一个数据代表的是一张照片有多少个像素值,后面代表着有209张照片
训练集_标签的维数: (1, 209)
测试集降维之后的维度: (12288, 50)
测试集_标签的维数: (1, 50)
'''
标准化数据集
- 对于图像数据来说,可以将数据集的每一行都除以255,因为255是像素通道的最大值,RGB中不存在比255大的数据。所以可以除以255,将标准化的数据介于[0,1]之间。
train_set_x = train_set_x_flatten/255
test_set_x = test_set_x_flatten/255
总结:处理数据集的过程
-
找到原始数据的尺寸和维度
-
重塑数据集,使得每个数据的大小为(num_px x num_py x 3, 1)
-
标准化数据集(将数据转换为均值为 0,标准差为 1 的正态分布)
建立神经网络(重点!!!)
- 建立神经网络的主要步骤
-
定义模型结构(例如输入特征的数量)
-
初始化模型的参数
-
循环:
3.1 计算当前损失(正向传播)
3.2 计算当前梯度(反向传播)
3.3 更新参数(梯度下降)
- 创建sigmoid函数
def sigmoid(z):
"""
参数:
z - 任何大小的标量或numpy数组。
返回:
s - sigmoid(z)
"""
s = 1 / (1 + np.exp(-z))
return s
- 建立initialize()函数:实现参数的初始化(w和b参数的初始化)
def initialize_with_zeros(dim):
"""
此函数为w创建一个维度为(dim,1)的0向量,并将b初始化为0。
参数:
dim - 我们想要的w矢量的大小(或者这种情况下的参数数量)
返回:
w - 维度为(dim,1)的初始化向量。
b - 初始化的标量(对应于偏差)
"""
w = np.zeros((dim, 1))
b = 0
# 使用assert函数确定w的维度是 (dim,1)
assert(w.shape == (dim, 1))
# b 的类型是 float 或者是 int
assert(isinstance(b, float) or isinstance(b, int))
return w, b
dim = 2
w, b = initialize_with_zeros(dim)
print ("w = " + str(w))
print ("b = " + str(b))
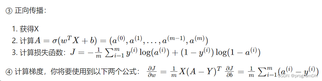
- 建立propagate函数:计算损失函数及其梯度。使用下面的方法计算正向传播以及反向传播(其中计算梯度就是计算dw和db)

def propagate(w, b, X, Y):
"""
实现前向和后向传播的传播函数,计算成本函数及其梯度。
参数:
w - 权重,大小不等的数组(num_px * num_px * 3,1)
b - 偏差,一个标量
X - 矩阵类型为(num_px * num_px * 3,训练数量)
Y - 真正的“标签”矢量(如果非猫则为0,如果是猫则为1),矩阵维度为(1,训练数据数量)
返回:
cost- 逻辑回归的负对数似然成本
dw - 相对于w的损失梯度,因此与w相同的形状
db - 相对于b的损失梯度,因此与b的形状相同
"""
m = X.shape[1]
# 正向传播
A = sigmoid(np.dot(w.T, X) + b)
# cost函数
cost = -1 / m * np.sum(Y * np.log(A) + (1 - Y) * np.log(1 - A))
# 反向传播(要求出dw和db)
dw = 1 / m * np.dot(X, (A - Y).T)
db = 1 / m * np.sum(A - Y)
# 使用assert函数判断数据类型是否符合要求
assert (dw.shape == w.shape)
assert (db.dtype == float)
cost = np.squeeze(cost) # 将cost数据中维度长度为1的维度去掉
assert (cost.shape == ())
# 创建一个字典,把 dw 和 db 保存起来。
grads = {"dw": dw, "db": db}
return grads, cost
- 通过使用w = w - α * dw,b = b - α * db(α是学习率)来更新参数w和b
def optimize(w, b, X, Y, num_iterations, learning_rate, print_cost=False):
"""
此函数通过运行梯度下降算法来优化w和b
参数:
w - 权重,大小不等的数组(num_px * num_px * 3,1)
b - 偏差,一个标量
X - 维度为(num_px * num_px * 3,训练数据的数量)的数组。
Y - 真正的“标签”矢量(如果非猫则为0,如果是猫则为1),矩阵维度为(1,训练数据的数量)
num_iterations - 优化循环的迭代次数
learning_rate - 梯度下降更新规则的学习率
print_cost - 每100步打印一次损失值
返回:
params - 包含权重w和偏差b的字典
grads - 包含权重和偏差相对于成本函数的梯度的字典
成本 - 优化期间计算的所有成本列表,将用于绘制学习曲线。
提示:
我们需要写下两个步骤并遍历它们:
1)计算当前参数的成本和梯度,使用propagate()。
2)使用w和b的梯度下降法则更新参数。
"""
costs = []
for i in range(num_iterations):
grads, cost = propagate(w, b, X, Y)
dw = grads["dw"]
db = grads["db"]
# 更新参数w和b,使用w = w - α * dw,b = b - α * db(α是学习率)
w = w - learning_rate * dw
b = b - learning_rate * db
# 每一百次将cost加入到costs数组中并打印出来
if i % 100 == 0:
costs.append(cost)
if print_cost and i % 100 == 0:
print("Cost after iteration %i: %f" % (i, cost))
params = {"w": w, "b": b}
grads = {"dw": dw, "db": db}
return params, grads, costs
- 预测函数,其中w = w.reshape(X.shape[0], 1)是重新塑造w的维度,具体规则如下:
要根据输入特征向量 X 来确定权重向量 w的维度,可以考虑以下两种情况:
-
权重向量为列向量: 如果你选择将权重向量表示为列向量,那么权重向量的维度应该与输入特征向量的维度相同。也就是说,权重向量的长度应该等于输入特征向量的长度。因此,如果输入特征向量
X的形状为 (n, m),那么权重向量w的形状应该为 (n, 1)。 -
权重向量为行向量: 如果你选择将权重向量表示为行向量,那么权重向量的长度应该等于输入特征向量的长度。也就是说,权重向量的形状应该为 (1, n)。在这种情况下,可以使用 np.transpose() 函数将权重向量从列向量转换为行向量。
def predict(w, b, X):
"""
使用学习逻辑回归参数 logistic(w,b) 预测标签是0还是1,
参数:
w - 权重,大小不等的数组(num_px * num_px * 3,1)
b - 偏差,一个标量
X - 维度为(num_px * num_px * 3,训练数据的数量)的数据
返回:
Y_prediction - 包含X中所有图片的所有预测的一个numpy数组
"""
# 图片的数量
m = X.shape[1] # shape[1]表示X的列数
Y_prediction = np.zeros((1, m))
w = w.reshape(X.shape[0], 1) # shape[0]表示X的行数
# 预测猫在图片中出现的概率,sigmoid函数会返回一个[0,1]之间的结果
A = sigmoid(np.dot(w.T, X) + b)
for i in range(A.shape[1]):
# 将概率 a[0,i] 转换为实际预测 p[0,i]
if A[0, i] <= 0.5:
Y_prediction[0, i] = 0
else:
Y_prediction[0, i] = 1
assert (Y_prediction.shape == (1, m))
return Y_prediction
搭建模型
def model(X_train, Y_train, X_test, Y_test, num_iterations=2000, learning_rate=0.5, print_cost=False):
"""
通过调用之前实现的函数来构建逻辑回归模型
参数:
X_train - numpy的数组,维度为(num_px * num_px * 3,m_train)的训练集
Y_train - numpy的数组,维度为(1,m_train)(矢量)的训练标签集
X_test - numpy的数组,维度为(num_px * num_px * 3,m_test)的测试集
Y_test - numpy的数组,维度为(1,m_test)的(向量)的测试标签集
num_iterations - 表示用于优化参数的迭代次数的超参数
learning_rate - 表示optimize()更新规则中使用的学习速率的超参数
print_cost - 设置为true以每100次迭代打印成本
返回:
d - 包含有关模型信息的字典。
"""
# 初始化全零参数
w, b = initialize_with_zeros(X_train.shape[0])
# 梯度下降
parameters, grads, costs = optimize(w, b, X_train, Y_train, num_iterations, learning_rate, print_cost)
# 从“parameters”字典中检索参数w和b
w = parameters["w"]
b = parameters["b"]
# 预测测试/训练集的例子
Y_prediction_test = predict(w, b, X_test)
Y_prediction_train = predict(w, b, X_train)
# 打印训练后的准确性
print("train accuracy: {} %".format(100 - np.mean(np.abs(Y_prediction_train - Y_train)) * 100))
print("test accuracy: {} %".format(100 - np.mean(np.abs(Y_prediction_test - Y_test)) * 100))
d = {"costs": costs,
"Y_prediction_test": Y_prediction_test,
"Y_prediction_train": Y_prediction_train,
"w": w,
"b": b,
"learning_rate": learning_rate,
"num_iterations": num_iterations}
return d
绘制损失函数
plot 函数是用于绘制图形的函数,通常在数据分析、可视化和报告中使用。具体来说,plot 函数通常接受数据作为输入,并根据输入数据绘制相应的图形。例如,对于折线图,plot 函数会将数据点连接起来形成一条折线;对于散点图,plot 函数会将数据点绘制在二维平面上。
costs = np.squeeze(d['costs'])
plt.plot(costs)
plt.ylabel('cost')
plt.xlabel('iterations (per hundreds)')
plt.title("Learning rate =" + str(d["learning_rate"]))
plt.show()
迭代次数以及学习率的选择
学习率通过learning_rates来调整,num_iterations可以调整迭代的次数
learning_rates = [0.01, 0.001, 0.0001]
models = {}
for i in learning_rates:
print("learning rate is: " + str(i))
models[str(i)] = model(train_set_x, train_set_y, test_set_x, test_set_y, num_iterations=1500, learning_rate=i, print_cost=False)
print('\n' + "-------------------------------------------------------" + '\n')
for i in learning_rates:
plt.plot(np.squeeze(models[str(i)]["costs"]), label=str(models[str(i)]["learning_rate"]))
plt.ylabel('cost')
plt.xlabel('iterations')
legend = plt.legend(loc='upper center', shadow=True)
frame = legend.get_frame()
frame.set_facecolor('0.90')
plt.show()
'''
plt.legend(loc='upper center', shadow=True):这行代码用于添加图例。`loc` 参数指定了图例的位置,这里设置为 `'upper center'` 表示图例位于图形的上方居中位置。`shadow=True` 参数表示在图例周围绘制阴影,使图例更加突出。
frame = legend.get_frame():这行代码用于获取图例对象的框架(frame)。图例对象可以通过 `plt.legend()` 函数获取,而 `get_frame()` 方法用于获取图例对象的框架。
frame.set_facecolor('0.90'):这行代码用于设置图例框架的背景颜色。在这里,`set_facecolor()` 方法将图例框架的背景颜色设置为 `'0.90'`,表示一个灰色系列的背景色,数值范围一般在 0 到 1 之间,表示不同的灰度色调。
'''
hw3
使用LogisticRegression查看预测结果
import sys
import numpy
import matplotlib
import sklearn
# Package imports
import numpy as np
import matplotlib.pyplot as plt
from testCases import *
import sklearn
import sklearn.datasets
import sklearn.linear_model
from planar_utils import plot_decision_boundary, sigmoid, load_planar_dataset, load_extra_datasets
%matplotlib inline
# 设置一个固定的随机种子。那么w和b在初始化的时候无论在什么条件下生成的初始化数据都是一样的,可以使实验可重现性。
np.random.seed(1)
#导入数据集
X, Y = load_planar_dataset()
#绘制数据分布的散点图,X[0, :]代表数据的x值, X[1, :]代表数据的y值,
#c=Y.reshape(X[0,:].shape)表示数据的颜色由Y的值来决定
#红色的数据点表示y=0,蓝色的数据点表示y=1
plt.scatter(X[0, :], X[1, :], c=Y.reshape(X[0,:].shape), s=40, cmap=plt.cm.Spectral)
shape_X = X.shape
shape_Y = Y.shape
m = shape_X[1] # shape[0]表示有多少行 shape[1]表示有多少列
print ('X的维度为: ' + str(shape_X))
print ('Y的维度为: ' + str(shape_Y))
print ("数据集里面的数据有:" + str(m) + " 个")
#使用逻辑回归函数查看效果,训练数据集上的逻辑回归分类器。
clf = sklearn.linear_model.LogisticRegressionCV();
clf.fit(X.T, Y.T);
# Plot the decision boundary for logistic regression
# 绘制决策边界
plot_decision_boundary(lambda x: clf.predict(x), X, Y)
# 图标题
plt.title("Logistic Regression")
# 打印准确性
LR_predictions = clf.predict(X.T)
print ('逻辑回归的准确性:%d ' % float((np.dot(Y,LR_predictions) + np.dot(1-Y,1-LR_predictions))/float(Y.size)*100) + '% ' + "(正确标记的数据点所占的百分比)")
训练模型
神经网络的数学逻辑
对于只有一层的隐藏层的神经网络而言:


建立神经网络的步骤
① 建立神经网络的一般方法是:
1. 定义神经网络结构(输入单元数,隐藏单元数等)
2. 初始化模型的参数
3. 循环:
- 3.1 实施前项传播
- 3.2 计算损失
- 3.3 实现后向传播
- 3.4 更新参数(梯度下降)
② 我们通常会构建辅助函数来计算第(1)-(3)步,然后将它们合并为nn_model()函数。
③ 一旦构建了 nn_model() 并学习了正确的参数,就可以对新数据进行预测。
定义神经网络结构
def layer_sizes(X, Y):
"""
参数:
X - 输入数据集,维度为(输入的数量,训练/测试的数量)
Y - 标签,维度为(输出的数量,训练/测试数量)
返回:
n_x - 输入层的数量
n_h - 隐藏层的数量
n_y - 输出层的数量
"""
n_x = X.shape[0]
n_h = 4
n-y = Y.shape[0]
return n_x,n_h,n_y
初始化模型参数
def initialize_parameters(n_x, n_h, n_y):
"""
参数:
n_x - 输入层节点的数量
n_h - 隐藏层节点的数量
n_y - 输出层节点的数量
返回:
parameters - 包含参数的字典:
W1 - 权重矩阵,维度为(n_h,n_x)采用随机生成的方式
b1 - 偏向量,维度为(n_h,1) 一般设置为全0矩阵
W2 - 权重矩阵,维度为(n_y,n_h)采用随机生成的方式
b2 - 偏向量,维度为(n_y,1)一般设置为全0矩阵
"""
np.random.seed(2)
W1 = np.random.randn(n_h,n_x) * 0.01 #乘以0.01是因为w不能太大,要小一点
b1 = np.zeros((n_h,1)) #注意是zeros并且有两个括号(())
W2 = np.random.randn(n_y,n_h) * 0.01
b2 = np.zeros((n_y,1))
paramaters = {"W1":W1,"b1":b1,"W2":W2,"b2":b2}
return paramaters
前向传播
Z = W*X + b,根据前面提到的知识对前向传播进行运算
def forward_propagation(X, parameters):
"""
参数:
X - 维度为(n_x,m)的输入数据。
parameters - 初始化函数(initialize_parameters)的输出
返回:
A2 - 使用sigmoid()函数计算的第二次激活后的数值
cache - 包含“Z1”,“A1”,“Z2”和“A2”的字典类型变量
"""
Z1 = np.dot(parameters["W1"], X) + parameters["b1"]
A1 = np.tanh(Z1)
Z2 = np.dot(parameters["W2"], A1) + parameters["b2"]
A2 = sigmoid(Z2)
cache = {"Z1": Z1, "A1": A1, "Z2": Z2, "A2": A2}
return A2, cache
计算成本函数
成本函数的函数表达式如下所示:

def compute_cost(A2, Y):
"""
计算方程(7)中给出的交叉熵成本,
参数:
A2 - 使用sigmoid()函数计算的第二次激活后的数值
Y - "True"标签向量,维度为(1,数量)
parameters - 一个包含W1,B1,W2和B2的字典类型的变量
返回:
成本 - 交叉熵成本给出方程(7)
"""
m = Y.shape[1]
cost = -1 / m * np.sum(Y * np.log(A2) + (1 - Y) * np.log(1 - A2))
return cost
反向传播
反向传播的总结如下:
左边是单样本的神经网络,右边是多样本的神经网络

def backward_propagation(parameters, cache, X, Y):
"""
使用上述说明搭建反向传播函数。
参数:
parameters - 一个包含W1,B1,W2和B2的字典类型的变量
cache - 包含“Z1”,“A1”,“Z2”和“A2”的字典类型的变量。
X - 输入数据,维度为(2,数量)
Y - “True”标签,维度为(1,数量)
返回:
grads - 包含W和b的导数一个字典类型的变量。
"""
m = X.shape[1]
dz2 = cache["A2"] - Y
dw2 = 1 / m * np.dot(dz2, cache["A1"].T)
db2 = 1 / m * np.sum(dz2, axis=1, keepdims=True)
dz1 = np.dot(parameters["W2"].T, dz2) * (1 - np.power(cache["A1"], 2))
dw1 = 1 / m * np.dot(dz1, X.T)
db1 = 1 / m * np.sum(dz1, axis=1, keepdims=True)
grads = {"dW2": dw2, "db2": db2, "dW1": dw1, "db1": db1}
return grads
更新参数
使用下面的公式来更新参数
w = w - α * dw
b = b - α * db (其中α代表的是学习率)
def update_parameters(parameters, grads, learning_rate=1.2):
"""
使用上面给出的梯度下降更新规则更新参数
参数:
parameters - 包含参数的字典类型的变量。
grads - 包含导数值的字典类型的变量。
learning_rate - 学习速率
返回:
parameters - 包含更新参数的字典类型的变量。
"""
W1 = parameters["W1"] - learning_rate * grads["dW1"]
b1 = parameters["b1"] - learning_rate * grads["db1"]
W2 = parameters["W2"] - learning_rate * grads["dW2"]
b2 = parameters["b2"] - learning_rate * grads["db2"]
parameters = {"W1": W1, "b1": b1, "W2": W2, "b2": b2}
return parameters
整合模型
神经网络训练的步骤如下:
1. 准备数据集:
收集并准备训练数据集和测试数据集。
对数据进行预处理,包括归一化、标准化、特征工程等操作。
2. 初始化模型参数:
初始化神经网络的权重和偏置参数,通常使用随机初始化的方式。
3. 前向传播:
将训练数据输入神经网络中,通过神经网络的前向传播计算得到预测值。
在每一层中,计算加权输入,应用激活函数,然后将结果传递到下一层。
4. 计算损失函数:
使用损失函数(如交叉熵损失函数)比较神经网络的预测值与真实标签之间的差距。
损失函数用于衡量模型预测的准确度,帮助调整模型参数以最小化预测误差。
5. 反向传播:
从输出层向输入层反向传播误差梯度。
计算每一层的参数梯度,用于更新模型参数。
6. 参数更新:
使用梯度下降或其变种算法(如 Adam、RMSprop 等)更新模型参数。
通过更新参数,使损失函数尽可能地减小,提高模型的性能。
7. 重复迭代:
重复执行前向传播、计算损失函数、反向传播和参数更新的步骤,直到满足停止条件(如达到最大迭代次数、损失函数收敛等)。
8. 模型评估:
使用测试数据集评估训练得到的模型性能。
计算模型在测试集上的准确率、精确率、召回率、F1 值等指标,评估模型的泛化能力。
def nn_model(X, Y, n_h, num_iterations=10000, print_cost=False):
"""
参数:
X - 数据集,维度为(2,示例数)
Y - 标签,维度为(1,示例数)
n_h - 隐藏层的数量
num_iterations - 梯度下降循环中的迭代次数
print_cost - 如果为True,则每1000次迭代打印一次成本数值
返回:
parameters - 模型学习的参数,它们可以用来进行预测。
"""
# 初始化参数,然后检索 W1, b1, W2, b2。输入:“n_x, n_h, n_y”。
np.random.seed(3)
n_x = layer_sizes(X, Y)[0]
n_y = layer_sizes(X, Y)[2]
# 初始化参数,然后检索 W1, b1, W2, b2。
# 输入:“n_x, n_h, n_y”。输出=“W1, b1, W2, b2,参数”。
parameters = initialize_parameters(n_x, n_h, n_y)
W1 = parameters["W1"]
b1 = parameters["b1"]
W2 = parameters["W2"]
b2 = parameters["b2"]
# 循环(梯度下降)
for i in range(0, num_iterations):
# 前向传播
A2, cache = forward_propagation(X, parameters)
# 计算成本
cost = compute_cost(A2, Y)
# 反向传播
grads = backward_propagation(parameters, cache, X, Y)
# 更新参数
parameters = update_parameters(parameters, grads)
# 每1000次迭代打印成本
if print_cost and i % 1000 == 0:
print("Cost after iteration %i: %f" % (i, cost))
return parameters
预测
构建predict函数来预测,使用前向传播算法来预测结果
def predict(parameters, X):
"""
使用学习的参数,为X中的每个示例预测一个类
参数:
parameters - 包含参数的字典类型的变量。
X - 输入数据(n_x,m)
返回
predictions - 我们模型预测的向量(红色:0 /蓝色:1)
"""
# 使用前向传播计算概率,并使用 0.5 作为阈值将其分类为 0/1。
A2, cache = forward_propagation(X, parameters)
predictions = np.round(A2) # 对A2数组中的每个元素执行四舍五入的操作
return predictions
模型运行
调用模型对结果进行预测
parameters = nn_model(X, Y, n_h = 4, num_iterations = 10000, print_cost=True)
绘制图像
plot_decision_boundary(lambda x: predict(parameters, x.T), X, Y)
plt.title("Decision Boundary for hidden layer size " + str(4))
打印准确率
predictions = predict(parameters, X)
print ('准确率: %d' % float((np.dot(Y, predictions.T) + np.dot(1 - Y, 1 - predictions.T)) / float(Y.size) * 100) + '%')
# (np.dot(Y, predictions.T) + np.dot(1 - Y, 1 - predictions.T)表示的是预测正确的结果,第一个表示的是预测值为正确且真实值也为正确的样本数量,第二个表示的是预测值为错误且结果也为错误的样本数量。总之两者相加就是最终准确预测的样本数量
调节隐藏层个数
plt.figure(figsize=(16, 32))
hidden_layer_sizes = [1, 2, 3, 4, 5, 10, 20] # 隐藏层数量
for i, n_h in enumerate(hidden_layer_sizes):
plt.subplot(5, 2, i+1)
plt.title('Hidden Layer of size %d' % n_h)
parameters = nn_model(X, Y, n_h, num_iterations = 5000)
plot_decision_boundary(lambda x: predict(parameters, x.T), X, Y)
predictions = predict(parameters, X)
accuracy = float((np.dot(Y,predictions.T) + np.dot(1-Y,1-predictions.T))/float(Y.size)*100)
print ("隐藏层的节点数量: {} ,准确率: {} %".format(n_h, accuracy))
4763

被折叠的 条评论
为什么被折叠?



