BRM Localization:
UAV Localization in GNSS-Denied Environments, Based on Matching of Numerical Map and UAV Images 2020
韩国大田科技大学城市机器人实验室
2D到2D的匹配,只需要提前对地图中的建筑物区域进行分割,并计算building radio。
不需要初始位姿也可以进行全局定位(实验测试了2.2km×2.6km范围内进行全局定位)
仅仅使用了building ratio 信息,而BR是一种较为粗略的信息,因此初始定位时需要一段时间等到收敛才可以。论文的实验只做了一个,不够充分,最好能多做些实验。
此外,BR对于占用内存较低,计算量相对较小,适用于长距离大范围的定位
该方法扩展性强,仅使用了建筑物面积进行定位都可以达到较好的效果,因此可以将道路、绿化带等加入到特征中进行定位,应该可以同时提升定位的收敛速度和精度。
Abstractd
为什么要GNSS-denied的定位系统:基于GNSS的定位系统容易被劫持
**本文方法 **: 给定 numerical map with UAV images , 计算 BRM (Building Ratio Map based) 进行定位。
计算在相应图像帧中建筑物所占的比例,并与数字地图上的建筑物信息进行匹配。
相关工作
利用卫星图像进行定位:
A deep CNN-basedframework for enhanced aerial imagery registration with applicationsto UAV geolocalization, 2018
GPS-denied UAV localization using pre-existing satellite imagery, 2019
Vision-based absolute localization for unmanned aerial vehicles, 2014
SIFT [20], SURF [21], ORB等描述子在这种情况下不能用
本文工作则在无人机平台上进行了实际测试。
BRM Localization
- 关键帧特征提取:分割RGB图像然后计算 building ratio feature F
- 构建building ratio map M
- 匹配: 根据F 与M进行匹配。

1.关键帧特征提取:
RGB关键帧分割: 使用神经网络对RGB关键帧进行分割得到建筑物区域。这里将RGB图像裁切成1:1以得到旋转不变的特征。
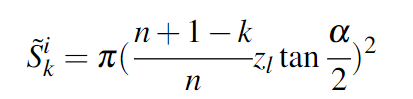
计算Building Ratio Feature:给定分割好的图像,将其划分为n个同心圆:

同心圆面积为S, 同心圆内的建筑物面积为B,可以得到特征f:
f=BS
f = \frac BS
f=SB
共有n个同心圆,因此每幅图像有n个特征,组成一个特征向量F 。
可见F具有旋转不变性,因此可在没有初始位姿的情况下进行匹配
2.构建building ratio map
二维地图以及建筑物比例图 示意

图d是计算出来的building ratio map , 直接根据不同的 window size 计算出不同的building ratio map(由于有n个feature,所以共 n 张)。
window size 和无人机的高度 z_l 以及特征的半径(即同心圆的半径)有关:(α\alphaα为FOV)

3. 匹配算法
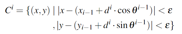
下图蓝色区域是通过与建筑比率图匹配而计算出的候选区域, 灰色区域是基于无人机运动的候选区域

无人机首先以蓝色中心为起点,经过VIO的计算得到行驶距离d和朝向theta,从而得知无人机在下一时刻的大致位置,即图b中灰色扇形条带区域。这里相当于使用上一时刻无人机的运动作为约束极大的减小了搜索范围,避免了全局搜索。匹配的候选范围c用公式表示为:

对于没有初值时的匹配算法:在全局地图中进行特征匹配。

候选匹配范围已知后,根据特征之间的距离进行匹配,得到当前时刻的候选位置范围:

这是一个点集,用该点集的均值来表示匹配到的位置。
判定匹配收敛
当点集中的点到中心点的距离小于一个阈值时,则判定为收敛。此时可以用中心点来表示无人机的全局位置。
实现细节
**分割网络:**U-net
**全局地图:**每层大小 4403×5555, n=3(三层特征地图)。每个像素代表0.5m,,地图范围2201x2777
飞行高度150m
匹配算法运行频率: 5s/次(与飞行速度有关,大约25m匹配一次)
FOV: 43°
实验结果:
VINS-mono: (给定了初始位置)

BRM + VINS-mono:
only VINS-mono is used after the first converged point… The UAV is localized at the red circle (Firstconverged point), 以第一个收敛点为起点,则相当于初始点已知的情况。

BRM + VINS-mono: 全程使用BRM,收敛两次。

RMSE

全程 1075m,所提出的方法:BRM + VINS-mono的 RMSE为 7.53m ,相比于VINS-mono的累计误差达到48.27
结果可视化:
在地图中匹配到的候选点:

刚开始候选点在地图上是分散的,直到第27帧时收敛到一个点,也就是说直到27帧才定位成功

韩国大田科技大学的研究展示了如何在无GNSS信号环境中,通过匹配无人机图像与数字地图的建筑比率信息(BRM)进行全球定位。使用深度学习分割建筑物,计算建筑比例特征,结合VINS-mono实现快速收敛。BRM方法在长距离定位中表现良好,全程1075米的实验中,BRM+VINS-mono的RMSE仅为7.53米,对比传统VINS-mono有显著优势。
16万+

被折叠的 条评论
为什么被折叠?



