EDA设计-----二进制密码锁(详细步骤说明)


通过EDA的设计逐步掌握数字系统的设计方法,对逻辑电路知识进一步的学习与实践。

设计内容

设计一个二进制密码锁,设初始密码为1110,当串行输入4个数时与初始密码相同时候,输出为1,锁被打开;当串行输入的4个数与初始密码不相同时候,输出为0,锁不打开。

问题分析

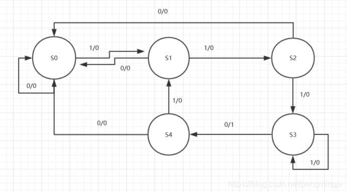
根据我们的设计内容,画出状态图
在这里插入图片描述
接着根据状态图,计算并列出原始状态表
在这里插入图片描述
根据原始状态表,得到Q1 ,Q2,F
在这里插入图片描述

接着画出卡诺图
在这里插入图片描述
接着根据卡诺图,在仿真软件中进行布局,我使用的是max2win
在这里插入图片描述
接着对我们的原理图,进行仿真,设置输入波形,观看波形输出结果是否满足设计需要<

评论
成就一亿技术人!
拼手气红包6.0元
还能输入1000个字符
 
红包 添加红包
表情包 插入表情
 条评论被折叠 查看
添加红包

请填写红包祝福语或标题

红包个数最小为10个

红包金额最低5元

当前余额3.43前往充值 >
需支付:10.00
成就一亿技术人!
领取后你会自动成为博主和红包主的粉丝 规则
hope_wisdom
发出的红包
实付
使用余额支付
点击重新获取
扫码支付
钱包余额 0

抵扣说明:

1.余额是钱包充值的虚拟货币,按照1:1的比例进行支付金额的抵扣。
2.余额无法直接购买下载,可以购买VIP、付费专栏及课程。

余额充值