资源介绍

基本公共服务是指建立在一定社会共识基础上,根据一国经济社会发展阶段和总体水平,为维持本国经济社会的稳定、基本的社会正义和凝聚力,保护个人最基本的生存权和发展权,为实现人的全面发展所需要的基本社会条件。
基本公共服务包括三个基本点,一是保障人类的基本生存权(或生存的基本需要),为了实现这个目标,需要政府及社会为每个人都提供基本就业保障、基本养老保障、基本生活保障等;二是满足基本尊严(或体面)和基本能力的需要,需要政府及社会为每个人都提供基本的教育和文化服务,三是满足基本健康的需要,需要政府及社会为每个人提供基本的健康保障。随着经济的发展和人民生活的水平的提高,一个社会基本公共服务的范围会逐步扩展,水平也会逐步提高。
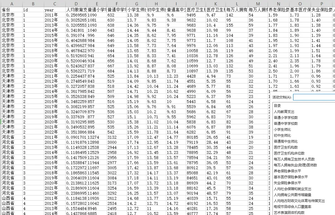
城乡基本公共服务供给评价指标体系构建:从公共教育、医疗卫生、社会保障、文化服务四大角度构建,具体如下:



【下载→
方式一(推荐):主页↓个人↓简介
经管数据库-优快云博客
方式二:数据下载地址汇总-优快云博客
793

被折叠的 条评论
为什么被折叠?



