给你一个二叉树的根节点 root , 检查它是否轴对称。
示例 1:

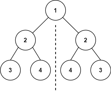
输入:root = [1,2,2,3,4,4,3] 输出:true
示例 2:

输入:root = [1,2,2,null,3,null,3] 输出:false
提示:
- 树中节点数目在范围
[1, 1000]内 -100 <= Node.val <= 100
进阶:你可以运用递归和迭代两种方法解决这个问题吗?
方法一:递归
class Solution {
public boolean isSymmetric(TreeNode root) {
return check(root, root);
}
public boolean check(TreeNode p, TreeNode q) {
if (p == null && q == null) {
return true;
}
if (p == null || q == null) {
return false;
}
return p.val == q.val && check(p.left, q.right) && check(p.right, q.left);
}
}
方法二:迭代
class Solution {
public boolean isSymmetric(TreeNode root) {
return check(root, root);
}
public boolean check(TreeNode u, TreeNode v) {
Queue<TreeNode> q = new LinkedList<TreeNode>();
q.offer(u);
q.offer(v);
while (!q.isEmpty()) {
u = q.poll();
v = q.poll();
if (u == null && v == null) {
continue;
}
if ((u == null || v == null) || (u.val != v.val)) {
return false;
}
q.offer(u.left);
q.offer(v.right);
q.offer(u.right);
q.offer(v.left);
}
return true;
}
}
166

被折叠的 条评论
为什么被折叠?



