矩阵快速幂!!
递归就是重复性执行一个固定模板的程序。而这往往会耗费大量时间,这个时候我们就可以尝试用矩阵快速幂来解决问题。
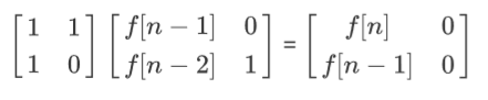
eg:Fib: f[n]=f[n-1]+f[n-2].
在n>1e10时会耗费大量时间,这时我们就系要用到矩阵快速幂。
首先看矩阵是怎么乘的:a行*b列=新矩阵元素(a,b);
因此对于Fib,就可以这样求

~就是这样啦,然后就是模板:
node mull(node a,node b)
{
node res;
memset(res.mater,0,sizeof(res.mater));
for(int i=1;i<=f;i++){
for(int j=1;j<=f;j++){
for(int k=1;k<=f;k++)
{
res.mater[i][j]=(res.mater[i][j]+a.mater[i][k]*b.mater[k][j]%mod)%mod;
}
}
}
return res;
}
node qpow(node a,ll b)
{
node ans;
memset(ans.mater,0,sizeof(ans.mater));
for(int i=1;i<=f;i++) //化为单位矩阵
ans.mater[i][i]=1;
while(b){
if(b&1) ans=mull(ans,a);
b>>=1;
a=mull(a,a);
}
return ans;
}
以上即是模板了,再来说下怎么求f[n],设基础矩阵1 1 1 0为x,
矩阵f[3]=x矩阵f[2],f[4]=xf[3],f[5]=x*f[4]······
综上:[n]=xn-2 * f[2]
6221

被折叠的 条评论
为什么被折叠?



