https://leetcode.cn/problems/flatten-binary-tree-to-linked-list/
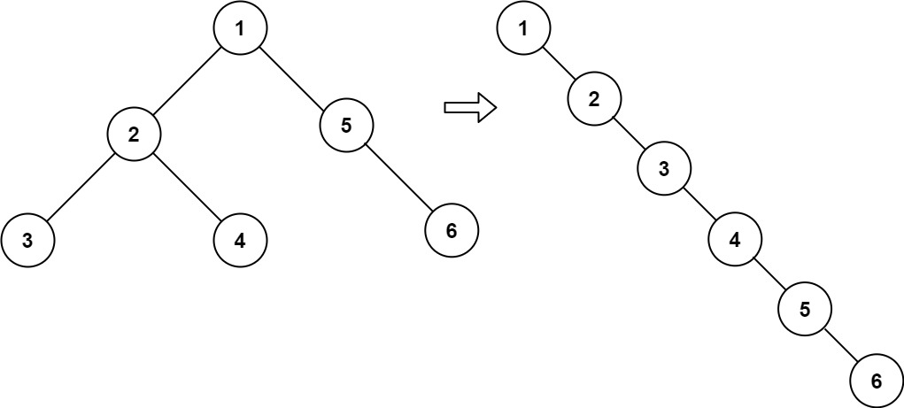
给你二叉树的根结点 root ,请你将它展开为一个单链表:
- 展开后的单链表应该同样使用
TreeNode,其中right子指针指向链表中下一个结点,而左子指针始终为null。 - 展开后的单链表应该与二叉树 先序遍历 顺序相同。
示例 1:

输入:root = [1,2,5,3,4,null,6] 输出:[1,null,2,null,3,null,4,null,5,null,6]
示例 2:
输入:root = [] 输出:[]
示例 3:
输入:root = [0] 输出:[0]
public class hot114 {
// 用于记录前一个节点
private TreeNode prev = null;
public void flatten(TreeNode root) {
if (root == null) {
return;
}
// 递归处理右子树
flatten(root.right);
// 递归处理左子树
flatten(root.left);
// 当前节点的右指针指向前一个节点
root.right = prev;
// 左指针置为空
root.left = null;
// 更新前一个节点
prev = root;
}
}
383

被折叠的 条评论
为什么被折叠?



