瑞士对抗性运动中成功的冰球人才培养:以冰球为例
摘要
关摘于要如何通过早期体育参与中的学习活动来发展运动专长,人才研究领域一直存在持续讨论。专项采样模型是介于早期专项化与早期抽样之间的路径之一,在瑞士足球中已显示出有前景的结果。由于早期体育参与的成功模式可能受到运动专项约束(如巅峰表现年龄、选拔压力和生理/心理要求)的影响,其他流行的对抗性运动也可能存在类似的有利路径。本研究探讨了冰球——瑞士另一项受欢迎的对抗性运动——是否也存在类似的早期体育参与成功模式。研究样本包括98名出生于1984年至1994年之间的前瑞士青年国家队运动员,他们通过回顾性问卷报告了12岁之前的体育参与情况。采用面向个体的残差剔除后聚类链接(LICUR)方法,分析了12岁之前在俱乐部内的训练、自由活动以及冰球以外的其他活动量,以及球员初次加入俱乐部的年龄。结果表明,相比其他群体,拥有最多自由活动且俱乐部内训练量高于平均水平的冰球爱好者更有可能达到职业水平。这意味着在高领域特异性的背景下结合多样化抽样经验,是发展冰球运动专长最有前景的途径。鉴于此前在瑞士足球中也发现了类似结果,相似的运动专项约束可能确实需要在早期体育参与阶段采取类似的学习活动组合。因此,在瑞士流行的对抗性运动中,专项采样模型似乎是最具前景的模式。
关键词 运动参与发展模式,自由活动,专门化抽样模型,团队运动 rt
引言
人才发展研究正在深入探讨应如何支持人才,以确保其能力得到最佳发展,直至达到运动专长。近年来,这一过程的优化得到了广泛研究,并已开发出多个成功的人才培养框架。在这些人オ发展模型中,已确定多个与运动专长发展相关的因素,且均强调了童年时期的早期体育参与对后期专长形成的重要性。然而,人才研究仍在探讨在早期体育参与阶段哪些学习活动最具潜力。
对旨在发展运动专长的有效学习活动设计的长期关注,已演变为关于早期专项化4和早期抽样3。研究人员区分了早期体育参与中的两种对立方法:运动员要么遵循早期专项化模式(即刻意练习框架)3,要么遵循早期多样化参与模式(即运动参与发展模式中的通过多样化参与达到精英表现路径)4。因此,一种单维的
早期体育参与的构念被提出。常见的争论认为,要发展运动专长,运动员必须进行专项化或多样化参与。
专项化和多样化参与的单维性受到了批评。研究人员通常忽视了早期运动参与的发展路径中存在两个相互交织的维度:领域特异性和成绩导向。领域特异性描述了学习活动的生物力学、生理学和心理特征与主项运动领域所需特征之间的一致程度。专注于单一运动领域具有较高的领域特异性,而参与多种不同运动则具有较低的领域特异性。成绩导向最好通过学习活动的特征来描述(例如目标设定、监控、纠正、身体和心理投入的程度)。结构高度严谨的教练主导的活动(即训练)具有较高的成绩导向性,而以娱乐为导向且无监督的学习活动(即玩耍)则具有较低的成绩导向性。
早期体育参与中初始方法的二分特征也在重新构思的二维框架(图1)中得以体现。支持早期专项化模式4的人认为,在短暂的入门/导向阶段之后,儿童时期早期选拔主项运动至关重要。因此,具有高度领域特异性的学习活动(专注于某一运动领域)应成为年轻运动员运动发展的主要途径。此外,所选择的活动应包含大量的系统化和结构化训练,这意味着成绩导向也较高。根据练习的幂定律13,早期专项化认为,个体进行有针对性的专项训练越多,就越早掌握专项技能,从而更有可能发展出专长。
与此观点相反,Coˆte等人描述了早期多样化参与模式。他们认为,儿童应在多个运动领域进行探索,参与多项体育活动,从而在约12岁之前保持较低的领域特异性,之后再决定专注于某一个运动领域。他们主张,在早期多样化参与的同时,应开展与较低成绩导向相关的非正式、无组织且有趣的玩耍(例如街头足球)。早期多样化参与模式认为,在某一运动领域过早专项化并不适合运动专长的发展,因为这会增加过度使用带来的风险,可能导致损伤或倦怠。15–17支持者认为,非正式运动环境中的乐趣是激发高内在动机的来源,并有助于更长期地持续参与运动。18此外,预期会产生运动间的迁移效应,这被认为有助于运动专长的发展。14,19,20
有实证证据表明,早期专项化(领域特异性高且成绩导向性强)和早期抽样(领域特异性低且成绩导向性弱)都是发展运动专长的可行方法。例如,早期专项化模式已被证明适用于体操21和花样滑冰22,而早期抽样方法在铁人三项23和赛艇3中显示出成功效果。长期以来,学者们将儿童时期的体育参与这一二维构念二分法化,即年轻人才要么在一个运动领域内专项化并进行结构化训练,要么在多个运动领域间多样化参与并以乐趣为导向进行玩耍24。然而,对于许多运动项目而言,这种将早期专项化与早期抽样视为二分法的构念已被发现并不合适25。因此,我们应将这两个维度视为独立连续体,因为个体有可能在一个运动领域内实现专项化(领域特异性高值),同时在不同环境中体验多样化活动,并在玩耍与训练之间变化(成绩导向性从低值到高值)12,26。
过去十年产生了越来越多的实证证据,表明早期体育参与最成功的方法可能介于早期专项化(两个维度的值均较高)和早期采样路径(两个维度的值均较低)之间。例如,早期参与假说将主项运动中的大量玩耍与主项运动中中等程度的训练以及较低至中等程度的参与其他体育项目相结合。这种在主项运动中占主导地位的投入(高领域特异性),结合高强度和低强度成绩导向(训练与玩耍),并辅以在其他运动领域中少量的学习活动,最近被重新定义为早期主流参与模式。此外,Sieghartsleitner等人提出的专门化多样化参与模型强调高领域特异性的重要性(即专注于一个运动领域),并在该领域内的训练‐玩耍连续体上经历不同程度成绩导向的多样化体验(图1)。
上述所有方法在特定情况下均被证明对促进运动专长具有积极作用。然而,由于其他影响因素决定了哪种早期体育参与方法可能成功,因此任何一种方法都不太可能普遍适用于所有运动情境。可以合理地假设,一系列独特的运动和情境特异性约束塑造了运动专长的发展29,因此在不同情况下需要采用不同的方法才能取得成功。文献至少确定了每个运动领域中的三种不同约束:1)巅峰表现年龄,2)表现密集度或选拔压力,3)生理和心理要求。28,30
巅峰表现年龄可能决定年轻人才专注于单一运动领域(领域特异性)的压力,以及学习活动的特征(绩效导向)。28巅峰表现年龄越早,年轻人才越有必要遵循早期专项化模式,即专注于一个单一的运动领域,并进行大量系统性、结构化的、由教练主导的训练等学习活动,这一推测是合理的。而在巅峰表现年龄较高的运动项目中,则无需如早期专项化模式所描述的那样过早专注。事实上,在早期体育参与阶段,年轻运动员应尝试不同类型的运动,以发展运动专长。通过这种方式,他们在确定自己喜爱的运动后,可以从其他运动领域的迁移效应中获益。19
关于成绩密度或选拔压力,可以假设较高的选拔压力会增加遵循早期专项化模式的需求。28潜在人才参与某项运动的人数越多,日后取得成功的难度就越大。如果参与某项运动的儿童数量更多,则潜在人才的数量可能也随之增加。因此,在选拔压力较高的运动中,为了掌握发展运动专长所需的技能,需要在更早的年龄就具备高领域特异性和成绩导向。
不同的运动领域具有不同的生理和心理要求。例如,对抗性运动需要高水平的技术和战术知识与技能。因此,与铁人三项或赛艇等以耐力为主的运动相比,这些运动领域可能需要更早地采用早期专项化模式。相反,体操等运动需要高超的技术技能,因此其结构化且有明确目的的训练可能比对抗性运动开始得更早。21
这些运动专项约束部分由社会因素决定,例如某项运动在特定国家的重要性与相关性。这些社会因素(如受欢迎程度)体现在特定运动领域的参与者数量上,可能会影响相应运动的选拔压力。此外,我们可以假设,具有相似约束的两项不同运动,在早期体育参与的成功方法上可能具有相似的组合模式。
关于瑞士体育的背景,针对瑞士足球12,32的实证研究发现,专门化抽样模型(即通过在该运动领域内不同环境中的多样化体验进行单一运动专项化)是发展运动专长最成功的早期运动参与路径。基于上述假设,具有相似运动专项约束和受欢迎程度的运动项目应表现出相似的成功早期运动参与路径,因此可以推断,在瑞士,与足球具有相似约束条件的运动项目也可能展现出类似的成功早期运动参与路径。在瑞士,与足球最为相似、在巅峰表现年龄、选拔压力以及生理/心理要求方面具有可比特征的运动是冰球。目前关于冰球运动中早期体育参与的定量研究较少。
Pelletier和Lemoyne 33研究了早期运动专项化对青少年冰球运动员冰球专项及非专项训练活动量的影响。他们发现,早期专项化的高度表现会导致“赛季期间”和“休赛期”身体活动水平更高。 Stegmann等人3然而,他们的研究并未考虑早期体育参与如何影响成人冰球运动专长的发展。Mosher等人34最近比较了冰球运动中的早期专项化者与早期多样化参与者,报告指出,早期专项化者更有可能在12岁时达到最高水平。同样,该研究也未关注早期体育参与与运动专长发展之间的关系。总之,这两项研究均表明,在考虑12岁之前的早期体育参与时,青少年冰球运动员之间存在差异,但均未测量早期体育参与与成人阶段专长之间的关系。因此,本研究是首个在定量研究中同时考虑这两个方面的研究。具体而言,本研究探讨以下研究问题:在12岁之前进行的早期冰球运动参与的哪些模式最有利于运动专长的发展?
材料与方法
样本与研究设计
本研究选取了出生于1984年至1994年之间的瑞士冰球运动员。数据于2018年通过在线调查收集。选择24岁作为下限年龄,是为了大致确保运动员已达到其成年期的最终表现水平。上限年龄的选择则是基于样本量和年龄异质性的考虑:例如,年龄相差十年可能略微改变早期体育参与的机制。此外,为确保回忆数据的可靠性,出生于1984年之前的运动员被排除在外。运动员必须至少一次入选U16青年国家队,这意味着他们曾属于瑞士最优秀的青少年运动员这一相对同质的群体。符合这两项纳入标准的总体人群共计488人。在剔除不完整的问卷后,研究样本包含98名运动员(平均值age¼ 27.32岁,标准差age¼ 2.6;有效回复率:20.1%)。通过t检验,将研究样本与符合纳入标准的总体人群在出生年份和成年期表现(表现标准将在下一章中说明)方面进行比较。t检验结果显示,在表现标准上无显著差异(t(486)¼1.27, p¼.207)。然而,在年龄上存在显著差异(t(486)¼ 2.01, p¼.046)。平均而言,我们的样本比总体人群更年轻(平均值a ge¼ 27.32岁 vs 平均值a ge¼28.03岁)。基于这些结果,我们可以认为,就表现标准而言,研究样本对于符合纳入标准的总体人群(出生于1984年至1994年之间;曾入选U16青年国家队)具有代表性。然而,由于存在年龄上的显著差异,
其他与表现相关的因素(例如首次体育参与年龄、居住地、相对年龄)或社会人口学方面(例如教育水平、体育在家庭中的重要性),我们不能认为研究样本完全代表了总体人群。
本研究旨在通过纵向回顾性研究设计,捕捉早期体育参与的多种因素。对每名运动员从0到12岁期间的早期体育参与因素进行了评估,这一时间段涵盖并总结了运动员运动生涯的重要阶段,与以往关于早期体育参与阶段的概念化定义一致。3因此,仅能收集那些被充分回忆起来的事件的有效数据,例如训练量。35短期时间段内(即5年)回忆的体育参与的有效性和可靠性已被证明相对较高。36,37本研究要求运动员回忆14到20年前发生的事件。据我们所知,此前尚无研究分析过如此长时间后关于训练的回忆数据。然而,霍普伍德38曾以回顾性方式调查运动员的发展历史,其回顾的时间段平均为过去9至15年,与本研究相似。她的研究表明,运动员对不同体育参与情境下开始年龄的回忆(主项运动的俱乐部内训练、主项运动的自由活动、其他运动领域)具有较高的有效性,与父母的回忆以及重测信度相近。此外,对于有监督训练的参与时长,其回忆也表现出良好的有效性和重测信度。38然而,霍普伍德38发现,自由活动及其他运动领域的参与时长的回忆仅表现出中等至较差的有效性和重测信度。因此,在本研究中,12岁之前的自由活动及其他运动领域的参与时长是否能够被可靠地回忆起来仍不确定。
因此,我们特别注重确保参与者能够准确回忆他们的训练活动。参与者可以暂停在线调查,以便与其他人员(如父母、former coaches)核对答案。此外,我们要求参与者使用训练记录仔细核对他们的数据,并建议他们从eliteprospects.com获取早期职业生涯信息,该网站汇总了全球冰球运动员的所有官方数据。最后,本研究是关于冰球人才的发展路径的一项更广泛调查的一部分,重点关注早期体育参与,同时也涵盖其他体育参与事件(如里程碑事件、损伤、比赛)、教育和职业培训以及其他人才发展的环境因素(如家庭体育活动)。这一背景可能已经
帮助参与者准确回忆信息,因为他们可以在更广泛的信息范围内验证自己的回答,霍普伍德38表明这些信息易于回忆,并具有良好的有效性和可靠性(例如,里程碑事件、损伤、支持)。该研究获得了伯尔尼大学人文科学学院伦理委员会的批准,所有运动员均签署了书面知情同意书以参与研究。
操作化与数据收集
我们根据早期研究确定了四个决定12岁之前早期体育参与的变量:(1)俱乐部内有组织的冰球训练量,(2)冰球内的自由活动量,(3)其他体育活动量,以及(4)首次参加冰球俱乐部的年龄。我们要求参与者报告自进入该项运动以来任何年龄阶段每周小时数形式的所有体育活动量。然后将这些数值累加,得出截至12岁之前的总小时数。
俱乐部内训练包括在冰球俱乐部内(或在教练指导下)进行的所有学习活动(如训练)。相比之下,自由活动描述的是在俱乐部之外且无监督的情况下进行的任何冰球或类似冰球的活动(如班迪球、轮滑冰球、自由滑冰以及与附近儿童玩街头冰球),这与以往的研究一致。除冰球之外的其他体育活动(即多项运动活动)无论是否具有组织结构均被记录。首次参加冰球俱乐部的年龄标志着进入组织性冰球运动的时间。
成人表现水平的表现标准包括参与者在24岁之前在职业水平上参加比赛的场次。要在瑞士第一和/或第二高级别联赛中至少参加100场比赛,才有资格获得职业冰球运动员地位。少于100场比赛则属于非职业表现水平。该表现标准是基于实际考虑而选定的。在瑞士,一个完整的冰球赛季大约包含50场比赛,因此要求至少参加两个完整赛季可以将仅在一个赛季中表现出色的“昙花一现”球员或替补球员与能够长期立足的职业冰球运动员区分开来。有些运动员并未在瑞士开始其成人冰球生涯(20至24岁)。瑞士两大顶级冰球联赛的水平与美国和加拿大(NHL、美国冰球联盟、ECHL联盟)、瑞典(瑞典冰球联赛、瑞典冰球甲级联赛)或芬兰(芬兰冰球联赛、芬兰冰球甲级联赛)的前两大联赛相当。因此,我们将国外前两大(或三个)联赛相当于在瑞士的顶级两个联赛中进行比赛。
数据分析
人才发展涉及个体人类发展的相关分析,因此被视为一种多维现象。32因此,本研究以发展科学的动态互动主义方法为导向。41,42然而,从方法论角度来看,无法完整描绘此类复杂系统,而只能通过快照关联将动态系统的不同状态相互关联。从发展视角来看,基于变量导向方法和“一个模型适用于所有情况”思路的一般线性模型概念存在严重问题,相反,个体人类内部各特征之间可能存在非线性交互。41因此,在人才发展研究中,采用一种关注个体、并致力于寻找个体内部一组变量间非线性模式的个体导向方法似乎更为恰当。个体导向研究有两个主要方面值得强调:1)能够考虑所包含变量集之间的补偿效应(例如,自由活动的时间可能弥补俱乐部内训练时间的不足);2)能够识别出职业生涯路径不同的成功运动员。
采用面向个体的残差剔除后聚类链接(LICUR)方法对数据进行分析。该方法遵循三步程序:1)残差分析,用于确定并剔除可能对后续聚类结果产生偏差的极端个案;2)聚类分析,将被试分配到具有相似模式的聚类中;3)转换分析,计算从各聚类向预设标准转换的频率。42统计过程使用统计软件ROPstat完成。43
首先,我们分析了用于衡量早期运动参与的变量之间的相关性。建议如果两个变量之间的相关性超过 r¼.90,则由于冗余,仅使用其中一个变量即可。总体而言,没有相关性超过r¼.90。然而,有组织的俱乐部内冰球训练量与首次参加冰球俱乐部的年龄之间存在显著的相关性(r¼.60,p<.01),以及冰球内的自由活动量与首次参加冰球俱乐部的年龄之间也存在显著的相关性(r¼.32,p<.01)。
残差分析(ROPstat43中的Residue模块)基于个体在四个变量中的模式进行比较。采用双生搜索法(最近邻方法)来识别成对的个体使用平方欧几里得距离显示出相似模式。根据其他以个体为导向的研究,超过T¼ 0.8阈值的案例被视为极端个案。32,42因此,与其最近邻距离较大的个体被作为残差剔除。该残差分析导致三个案例被排除。排除的残差比例是合理的(约占整个样本的3%)。42这些残差被单独分析,但并未显示出任何有希望的模式。
在接下来的聚类分析中(ROPstat43中的聚类模块),使用了早期体育参与的四个变量。根据个体取向研究的建议,采用了平方欧氏距离和沃德法进行层次分析。42为了确定最合适的聚类解,考虑了五个统计标准42–44,46以及基于内容的标准:1)解释误差平方和的三分之二准则(EESS)42作为数据凝聚性的指标。2)Mojena停止规则,该规则提出1.80至2之间的阈值7545,46,该阈值基于标准化融合系数的变化来评估聚类解的异质性。3)轮廓系数(SC)用于评估每个个体到其自身以及另一聚类最近中心的距离。可接受的值为SC> 0.5。44 4)平均同质性系数(HCmean)是衡量数据凝聚性的指标。44因此,它描述了所有聚类之间的聚类稳定性,当HCmean< 1.0时即为充分。5)聚类点双列相关(PB)是一种分离指数,用于评估聚类内部与聚类之间距离的关联。在稳定的聚类解中,聚类内部距离小于聚类间距离。因此,可接受的取值范围为PB> 0.5;PB<0.5。44随后,进行了非层次聚类分析(ROPstat43中的k‐均值方法),以优化各聚类的同质性。
最后,我们使用费舍尔精确检验并基于超几何分布分析了从每种早期体育参与聚类到成年期表现标准的过渡,以检测与均等分布的显著偏差。在此过程中,我们检验了各个聚类(k¼ 4)相较于均等分布是否显著更可能被分配到某一特定的表现标准特征(k¼ 2)。过渡次数以期望值的倍数表示,并用比值比表达:OR¼ 1.0为期望值;OR< 1.0表示少于预期的过渡次数,OR> 1.0表示多于预期的过渡次数。
结果
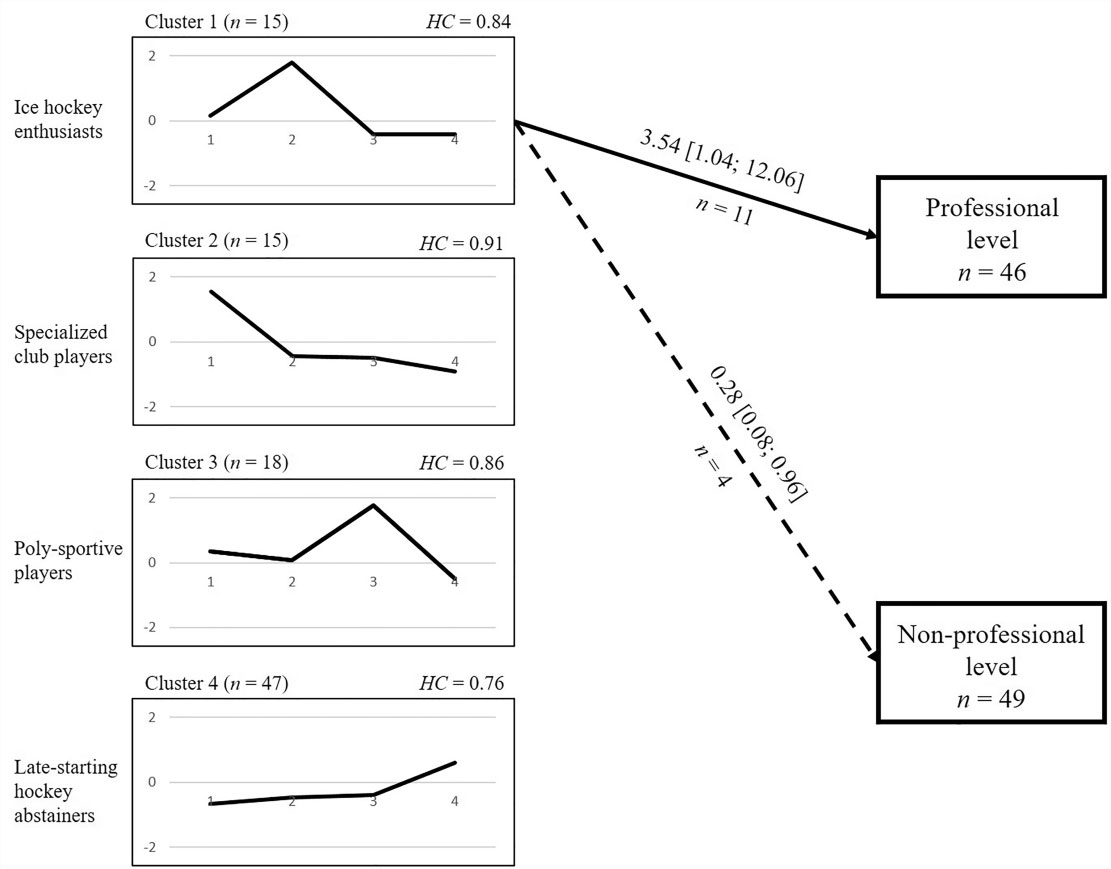
LICUR分析的结果表明,可以提取出多个聚类解决方案(参见表1)。三聚类解未满足确定聚类数量的大部分标准。其解释的误差平方和(EESS)仅为47.68%,远低于建议的三分之二准则42。此外,同质性系数(HC)mean也仅处于可接受范围之内(HCmean¼ 1.06)。仅有轮廓系数(SC¼ 0.68)和聚类点双列相关(PB¼ 0.52)显示出可接受至良好的值。此外,三聚类解是唯一一个跨越Mojena停止阈值的解(Mojena¼ 2.90)46。然而,总体而言,三聚类解并未对分析数据展现出准确且稳定的区分。五聚类解整体表现出可接受至良好的数值。它达到了解释的误差平方和所建议的三分之二准则(EESS¼ 67.98%),并在聚类内部表现出较高的平均同质性(HCmean ¼ 0.67)。其轮廓系数(SC¼ 0.67)和点双列相关(PB¼ 0.44)也处于可接受水平。然而,它并未超过Mojena停止阈值2.75(Mojena¼ 1.55),也不在建议范围1.80–2.75之内45,46。四聚类解未达到理想的三分之二准则(EESS ¼ 60.6%),在平均同质性方面表现尚可(HC mean ¼ 0.82)。此外,四聚类解在点双列相关(PB¼ 0.54)和轮廓系数(SC¼ 0.72)方面表现出良好值。最后,它同样未超过建议的Mojena停止阈值2.75(Mojena¼ 2.13),但处于推荐范围内45。总体而言,统计特征显示四聚类解相较于五聚类解仅有略微更稳定和准确的数据区分。因此,在以个体为导向的研究中,还建议考虑基于内容的标准来判断哪种聚类解可能最为合适。为此,我们检查了从五聚类解到四聚类解的融合过程中哪些聚类发生了合并,以及这些合并的聚类是否已显示出相似性。我们发现,这两个聚类仅在初次接触冰球的年龄上存在差异。
冰球俱乐部参与情况(聚类 4[C4]:年龄= 5.24,z¼0.20;聚类 5 [C5]:年龄¼ 7.92,z¼ 1.32)。比较主项运动中的俱乐部内训练时长(C4¼ 1,099 小时, z¼0.49;C5¼ 850 小时,z¼0.80)、主项运动中的自由活动时长(C4¼ 1,303 小时,z¼0.39;C5¼ 1, 070 小时,z¼0.56)以及其他体育项目时长(C 4¼ 341 小时,z¼0.38;C5¼ 320 小时,z¼0.40),两个聚类显示出相似的数值。因此,从简洁性和可解释性角度考虑,四聚类解决方案似乎是适当且合理的。
表2显示了整个研究样本及各个特定聚类中12岁之前的早期运动参与分布情况。总结而言,12岁之前早期运动参与的总平均时长为3,977小时。运动员平均在5.6岁(标准差¼ 1.7)加入冰球俱乐部。运动员学习活动中持续时间最长的是自由活动(1,827小时,占45.9%)。俱乐部内训练的平均时长为1,494小时,占总时长的37.6%。多项目运动活动所占时间最短(656小时,占16.5%)。
冰球爱好者进行冰球自由练习的时间远远最多(4,219小时)。然而,他们在专项俱乐部训练方面也略高于平均水平(1,626小时),首次参加俱乐部的年龄处于平均水平(4.9岁),参与其他体育活动的时间则低于平均水平(298小时)。从这些统计数据可以看出,该群体的运动员在大量参加俱乐部内训练的同时,在闲暇时间也额外进行了大量的冰球玩耍。
专业俱乐部球员是指将其大部分体育活动时间投入到有针对性的、专项的俱乐部内训练(2,742小时)的运动员。此外,该群体首次参加俱乐部的年龄低于平均水平(4.0岁),参与冰球自由练习的时间也低于平均水平(1,243小时),且参与多项运动活动的时间最少(250 小时)。
与其他聚类相比,多项目运动员表现出非常高的其他体育活动参与度(2,130 小时)。此外,他们显示出略高于平均水平的俱乐部内训练水平(1,771小时),首次参加俱乐部的年龄相对较低(4.7岁),以及平均程度的冰球自由练习(1,937小时)。
高于平均水平的俱乐部内训练水平(1,771小时),首次参加俱乐部的年龄相对较低(4.7岁),以及平均程度的冰球自由练习(1,937小时)。
最后,晚起步冰球abstainers在所有四个因素上的数值均低于平均值。他们的特征是首次参加俱乐部的年龄较高(6.7岁),并且在俱乐部内训练(947小时)、冰球自由练习(1,208小时)以及其他体育活动(336小时)的时间较少。
在图2中,我们展示了从早期体育参与聚类到成人表现水平表现标准的过渡情况。为此,我们绘制了四种早期体育参与聚类解决方案下四个因素的标准分数。x轴代表四个因素。通过费舍尔精确检验分析四个聚类在表现标准上与均等分布相比的显著偏差,结果表明存在两个显著偏差。与其他聚类相比,冰球爱好者在成年期以职业水平表现参与冰球运动的概率显著更高(OR¼ 3.54[1.04;12.06],p¼.0487),而在成年期以非专业表现水平参与冰球运动的概率显著更低(OR¼ 0.28[0.08;0.96], p¼.0487)。其余所有聚类在测试向成年期表现水平过渡时均未显示出显著结果,因此在成年期以职业或非专业表现水平参与冰球运动的可能性方面没有表现出不同的概率。
讨论
本研究首次对早期冰球运动参与与成年期运动员表现水平之间的关系进行了定量调查。结果表明,在12岁之前进行了大量自由冰球练习以及高于平均水平的俱乐部训练的前青年国家队球员子群体(冰球爱好者)最有可能获得专长。因此,当前成功的冰球运动员似乎正是这些冰球爱好者。
通过在冰球项目上进行专项化,但在该领域内的不同环境中(即训练和玩耍)参与多样化的学习活动而得以区分。
对冰球运动员早期冰球运动参与不同模式的比较表明,冰球爱好者和多项运动运动员在俱乐部内训练时长以及进入俱乐部的年龄方面相似。然而,在自由冰球活动时长和其他运动项目时长方面,两者相差约2,000小时。我们推测,多项运动运动员广泛参与其他体育项目降低了他们发展专长的可能性,相比之下,冰球爱好者选择在冰球中进行自由活动,更有可能发展出专长。此外,专业俱乐部球员的成功更多是偶然,而拥有大量自由活动的冰球爱好者在冰球领域发展专长的概率显著更高。因此,或许可以认为
假设除了对某项运动的基本兴趣外,儿童时期在所选领域内进行大量自由活动会增加成年期获得运动专长的可能性。此外,基于本研究的结果,可以再次提出假设:在对抗性运动中,早期专项化模式和早期多样化参与模式这两种极端方法似乎都无法解释成年人运动专长的发展。相反,介于这两种极端之间的一种方法似乎最适合解释冰球运动专长的发展过程。将本研究结果与此前提出的介于两个对立极端之间的各种模型(例如早期参与假说、专项化抽样模型)进行比较,可以合理地认为,冰球爱好者相较于早期多样化参与模式,更接近于早期专项化模式,因为在该项运动中已经表现出高度的专项化。
在12岁之前。因此,他们早期体育参与的发展路径最适合用专项采样模型来描述(见表3)。
关于具有相似特征和类似运动专项约束(巅峰表现年龄、成绩密度和选拔压力、生理学及心理要求)的运动领域在早期体育参与方面的假定相似性,我们发现瑞士冰球的结果与之前瑞士足球的研究结果存在相似之处。12,32这三项研究均可合理推断,在各自年龄段中,那些在本领域内高度参与(尤其是自由活动)而在其他运动领域参与度较低的爱好者最有可能发展出专长。因此,运动专项约束很可能决定了12岁之前的早期体育参与模式。此外,我们可以推断,相似类型的运动领域会在儿童时期形成相似的体育参与模式。30
因此,这一比较支持了以下假设:目前成功的瑞士冰球运动员遵循了专项采样模型,与瑞士足球研究中的参与者相似。12,32 因此,考虑到现有的运动专项约束,对于冰球而言,专项采样模型似乎是发展专长的早期体育参与最有前景的途径。
在将本研究结果与相关运动领域的近期研究进行讨论之后,我们希望将专门化抽样模型置于现有理论框架之中。在表3中,我们通过展示12岁之前体育参与过程中学习活动累计时长的百分比分布,补充了不同早期体育参与方法的比较29。该表格包括早期专项化方法(基于理论推导的数据)和专门化抽样模型(基于本研究实证数据)的结果。
研究以及 Sieghartsleitner等人12)的早期参与假设(使用 Ford等人25实证数据得出的数值)和早期多样化参与模式(使用基于理论推断得出的数值)。
表3显示,关于所描述的四个特征,早期体育参与的两个对立模式存在显著差异。早期专项化模式几乎不包含对其他运动领域的参与,而早期多样化参与模式则规定将最多的时间投入到其他运动领域中。对于处于两极之间的两种早期体育参与模式,专项采样模型与早期参与假说在百分比分布上的差异较小。表 3表明,专项采样模型相较于早期参与假说更接近于早期专项化模式:两者在领域特异性方面均高于早期参与假说,这体现在投入于其他体育项目的时间更少。
然而,早期参与假说和专项采样模型的发展解释了其他相关差异。早期参与假说仅基于实证研究结果。相比之下,专项采样模型将早期体育参与视为一个二维连续体,至少对于瑞士的对抗性运动而言,该模型将专项化(高领域特异性和训练)与多样化参与(低领域特异性和玩耍)这两个对立极端结合起来,形成一个更优越的模型。早期专项化模式强调高度结构化的训练,以大量重复作为其基本学习机制。47然而,这种高强度且集中的训练可能导致内在动机不足。48
早期多样化参与模式则假设了一种不同的学习机制,即在不同运动项目中的多样化参与经验有助于通用体能和技能的发展,这些能力和技能可以被迁移应用。19此外,该模式所推崇的以玩耍为主的學習活動與較高的內在動機相關。
整体体能的提升和更高的内在动机,这与较低的退出率相关。专项采样模型结合了两种极端学习机制的优点,并缓冲了各自的弱点。在冰球运动中,遵循专项采样模型的年轻运动员将在高度结构化的训练中发展技术技能。这种单一的学习机制通过参与街头冰球得到补偿,在轻松 playful 的环境中,运动员可以应用他们新学到的技能。此外,玩耍性学习活动还带来其他积极效应,例如主动的生理和心理恢复49 ,从而弥补高度结构化训练带来的高强度负荷。
局限性与未来研究
本研究存在五个局限性需要注意。首先,回顾性数据收集总会引发关于数据可靠性的质疑。尽管训练量的收集是一个可靠的过程,35但人们在回忆时常常存在不确定性和遗忘问题。39本研究讨论了可靠性方面的问题以及如何减少这些问题。为避免长期记忆回忆带来的问题,未来有关冰球的研究可采用前瞻性研究设计来调查早期体育参与情况。
其次,刻意练习的操作化基于估算而非精确数字。系统性、高度结构化的训练量是通过俱乐部内训练的小时数推断得出的。这种操作化方法被批评为可能过于短视,因此不足以充分确定系统性和有目的性训练的量。未来的研究应遵循Tedesqui等人提出的指导,进一步区分俱乐部内训练与系统性、结构性、有目的性的训练。
第三个局限涉及这样一种假设,即不同的体育项目可能面临相似的运动专项约束。30本研究假设与早期参与体育运动的成功方法相关的运动专项约束的存在及其重要性。然而,未来的研究应通过考察其他体育项目来比较这些约束,以验证是否能够识别出相同或不同的成功方法。此外,运动专项约束(例如:巅峰表现年龄、选拔压力、生理/心理要求)在不同国家之间可能存在差异。研究各国如何界定运动专项约束将具有重要价值。
第四,仅包括了前U16青年国家队的球员。瑞士冰球在选拔U16国家队时范围较广(平均值 ¼ 44.36,标准差 ¼ 18.77)。因此,大多数现役职业球员很可能都曾入选过该梯队。在我们的总体中已考虑了运动员的情况。然而,可能存在一些经历了早期多样化路径但未被选入U16青年国家队的运动员,他们仍然达到了冰球的职业水平表现。因此,我们核查了那些未被选入U16青年国家队但仍达到职业水平表现的运动员。总共有N ¼ 358名出生于1984年至1994年之间的运动员,在到24岁为止参加了100场或以上比赛。在我们的样本中,n¼ 261(73%)已被纳入,n ¼ 97(27%)未被包含。
最后,20.1%的回复率仅占出生于1984年至1994年之间的前青年国家冰球运动员总体人群的一小部分。尽管我们发现研究样本与总体人群在成人表现水平方面没有差异,但仍应谨慎解释研究样本的代表性。
结论
先前的研究表明,早期体育参与的两种极端方法(即早期专项化与早期抽样)均无法在流行的对抗性运动中发展出运动专长。本研究强化了这些发现,并提供了证据表明,早期专项化与早期抽样的结合似乎更有利于运动专长的发展。在瑞士冰球中,专项采样模型似乎是前景最佳的方法,因为它包含了高领域特异性的学习活动,这些活动通过在此领域内不同程度成绩导向的多样化经历进行采样。此外,本研究的结果表明,在具有类似运动专项约束的瑞士对抗性运动中,也有可能找到类似的成功的早期体育参与模式(参见 Sieghartsleitner等人中的瑞士足球)。然而,仍需对其他体育项目进行研究,以增进我们对这些约束及其对发展运动专长计划影响的理解。
冰球人才成长关键路径
3165

被折叠的 条评论
为什么被折叠?



