面对全球光伏装机量从1.5 TW向75 TW的爆发式增长,光伏产业正面临严峻的银资源短缺挑战。这一问题在目前主流的硅异质结电池上尤为突出,其银消耗量高达约17 mg/W。同时,被誉为下一代技术方向的钙钛矿/硅叠层电池由于其对温度极度敏感(耐受温度低于150°C),使得需要高温退火的传统丝网印刷银电极技术难以适用。美能大平台钙钛矿电池PL测试仪通过无接触式测试,监测各个工艺段中的异常,了解单节叠层钙钛矿电池的缺陷分布信息。
为解决上述材料稀缺与工艺兼容性的双重困境,本研究提出了一种名为“掩模电镀”的创新性解决方案。该技术通过喷墨打印制备图形化掩模,并结合低温电镀工艺,成功在硅异质结和钙钛矿/硅叠层电池上实现了无银的铜电极制备。这一方法不仅利用储量丰富的铜完全替代了银,其全流程低温的特性也完美契合了下一代高效电池对温度的苛刻要求,为光伏产业的可持续发展提供了一条可行的技术路径。
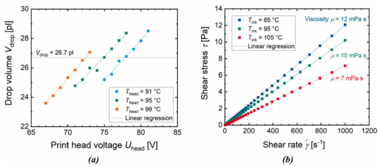
喷墨打印掩模原理
喷墨打印的关键在于稳定喷射小体积墨滴。研究发现:
- 喷头电压 Uhead与墨滴体积 Vdrop呈线性关系;
- 喷头温度 Thead升高可降低墨水粘度,从而减小墨滴体积;
- 在 Thead=99°C、Uhead=67 V时,墨滴体积最小为23.5 pL。
此外,基板温度 Tsubstrate影响墨滴铺展与轮廓。当 Tsubstrate≥24°C时,墨滴边缘模糊,不利于形成陡直掩模开口。因此选择 Tsubstrate=20°C进行打印。
滴间距优化:
51 μm 滴间距无法形成连续线条;
23 μm 滴间距可在平面与织构表面均形成连续、边缘清晰的掩模线条。
最终掩模开口宽度为9–16 μm,结构清晰,覆盖完整。
掩模电镀铜电极的性能
直接电镀铜于ITO存在附着力差与沉积不均匀问题。本文在电镀前引入等离子体处理,显著改善了铜沉积的均匀性与附着力。可能机制包括:
去除表面有机物,提高亲水性;
可能还原ITO表面的铟,形成金属种子层。
微观结构对比(SEM):
丝网印刷银电极宽度约32 μm,高度约15 μm,存在网痕与孔隙;
掩模电镀铜电极宽度仅15 μm,高度16 μm,结构致密,截面接近矩形,界面接触良好。
电学性能:
铜电极的横向电阻率ρt=2.5±0.1 μΩ·cm,接近铜体材料理论值(1.8 μΩ·cm);
接触电阻率ρc=0.4±0.2 mΩ·cm²,与银电极相当;
镍中间层可进一步降低 ρc约30%。
SHJ电池性能
在工业M6尺寸SHJ半电池上对比三种前表面金属化方案:
Ag SP:丝网印刷银电极,27 μm开口;
Cu M&P:掩模电镀铜电极,15 μm或30 μm开口;
Ni/Cu M&P:掩模电镀镍/铜电极,15 μm开口。
实验结果:
Voc无显著差异,说明等离子体处理未损伤SHJ结构;
jsc:15 μm开口的M&P组最高,30 μm开口与无主栅丝网印刷相当;
电极尺寸:M&P 15 μm组电极宽度仅 14±214±2 μm,高度略低于丝网印刷;
效率:M&P组平均效率比丝网印刷高 0.6±0.70.6±0.7 %,最高达22.5%;
金属用量:M&P 15 μm组铜耗仅 4±2 mg/W,丝网印刷银耗为 6±1 mg/W。
PVST电池的掩模电镀应用
在1.21 cm² PVST电池上进行验证:
视觉与PL分析:未发现活性区变色或损伤,PL强度略有上升;
SEM图像:钙钛矿层结构完好,未受电镀过程影响;
I-V性能:最佳效率达19.35%,为目前电镀电极PVST电池中最高;
限制因素:当前器件未镀MgF₂抗反射层,ITO层较薄,FF偏低,未来优化后可进一步提升。
掩模电镀法具备以下优势
- 低温工艺:适用于SHJ与PVST等温度敏感器件;
- 无银化:使用铜替代银,降低成本与资源依赖;
- 高精度电极:宽度可控制在14 μm以下,电阻率接近理论值;
- 工业兼容性:使用工业级喷墨与电镀设备,具备规模化潜力。
待优化方向:
- 掩模去除剂需替换为工业级剥离液,并研究热熔墨水的回收利用;
- 需进行组件级可靠性测试(如湿热、温度循环);
- 初步成本分析显示,M&P相比丝网印刷可降低每瓦成本约5%。
本研究表明“掩模电镀”铜金属化技术是一条极具前景的产业化路径:对于硅异质结电池,它能在完全取代银的同时,提升电池效率并降低材料成本;对于钙钛矿/硅叠层电池,它提供了首个真正意义上无银、低温且无损的电极制备方案。未来的工作将聚焦于优化掩模去除工艺以实现热熔墨水的循环利用、开展组件级别的可靠性测试以及进行更精确的成本效益分析,从而加速这项创新技术从实验室走向大规模生产。
大平台钙钛矿电池PL测试仪

大平台钙钛矿电池PL测试仪通过非接触、高精度、实时反馈等特性,系统性解决了太阳能电池生产中的速度、良率、成本、工艺优化与稳定性等核心痛点,并且结合AI深度学习,实现全自动缺陷识别与工艺反馈。
▶ PL高精度成像:采用线扫激光,成像精度<75um/pix(成像精度可定制)
▶ 支持 16bit 颜色灰度:同时清晰呈现高亮区域(如无缺陷区)与低亮区域(如缺陷暗斑)
▶ 高速在线PL检测缺陷:检测速度 ≤ 2s,漏检率 < 0.1%;误判率 < 0.3%
▶ AI缺陷识别分类训练:实现全自动缺陷识别与工艺反馈
美能大平台钙钛矿电池PL测试仪采用无接触式测试方式,可实时监测钙钛矿电池各工艺段中的薄膜质量异常,精准定位单结及叠层电池中的缺陷分布。
原文参考:Mask and plate copper metallization for silicon heterojunction and perovskite silicon tandem solar cells
1690

被折叠的 条评论
为什么被折叠?



