物理问题的描述方式有三种:
1、 偏微分方程
2、 能量最小化形式
3、 弱形式
一般情况下,PDE方程都已经内置在COMSOL Multiphysics的各个模块当中,这种情况下,没有必要去了解PDE方程和及其相关的弱形式。
有时候可能问题是没有办法用COMSOL Multiphysics内置模块来求解的,这个时候可以使用经典PDE模版。但是,有时候可能经典PDE模版也不包括要求解的问题,这个时候就只能使用弱形式了(虽然这种情况是极少数的)。
掌握弱形式可以使你的水平超过一般的COMSOL Multiphysics用户,让你更容易去理解模型库中利用弱形式做的算例。另一个原因就是弱形式有时候描述问题比PDE方程紧凑的多。你对有限元方法了解的越多,对于COMSOL Multiphysics中的一些求解器的高级设置就懂得更多。
一个重要的事实是:在所有的应用模式和PDE模式求解的时候,COMSOL Multiphysics都是先将方程式系统转为了弱形式,然后进行求解。
PDE问题常常具有最小能量问题的等效形式,这让人有一种直觉,那就是PDE方程都可以有相应的弱形式。实际上这些PDE方程和能量最小值问题只是同一个物理方程的两种不同表达形式罢了,同样,弱形式(几乎)是同一个物理方程的第三个等效形式。
这三种形式的区别虽然不大,但绝对是很关键的。我们必须记住,这三种形式只是求解同一个问题的三种不同形式――用数学方法求解真实世界的物理现象。根据不同的需求,这三种方式又有各自不同的优点。
PDE形式在各种书籍中比较常见,而且一般都提供了PDE方程的解法。能量法一般见于结构分析的文献中,采用弹性势能最小化形式求解问题是相当自然的一件事。
当我们的研究范围超出了标准有限元应用领域,比如传热和结构,这个时候弱形式是不可避免的。化工中的传质问题和流体中的N-S方程都是没有办法用最小能量原理表述出来的。
PDE方程是带有偏微分算子的方程,而能量方程是以积分形式表达的。积分形式的好处就是特别适合于有限元方法,而且不用担心积分变量的不连续,这在偏微分方程中比较普遍。
弱形式也是积分形式,拥有和积分形式同样的优点,但是他对积分变量的连续性要求更低,可以看作是能量最小化形式的更一般形式。最重要的是,弱形式非常适合求解非线性的多物理场问题,这就是COMSOL Multiphysics的重点了。
为了理解PDE方程的弱形式,我们必须跳开常规的偏微分形式,对于积分形式要好好研究。
由于最小于能原理对比弱形式来说好理解的多,所以我们将从线弹性开始学习,依次到热传导,电流传导等问题。
这几种物理问题都有相关的能量和功率可以进行最小化。我们将只涉及到静态问题,重点是在结构分析和更特殊的线弹性分析。
弹性静力学PDE及其弹性能量方程
在静力结构分析问题中,我们需要求解的是Navier方程

其中σ是应力张量,F是体力,比如重力等。如果不习惯用张量的形式,你也可以将张量展开写成矩阵形式。这个方程表示了力(或者等效力)的平衡,实际上是三个方程的合并形式——3D中每个坐标方向有一个方程。
计算区域记为Ω,其边界记为
。
应力张量σ和应变张量ε之间的关系称为本构关系,线弹性本构一般遵循胡克HOOK定律

其中
是弹性张量,这个关系式说明材料的行为实际上和弹簧差不多(前提是线弹性)。
最后,我们可以将应变矢量和位移的关系表述出来

这里u指的是位移矢量u=(u,v,w),其定义就是变形体上的材料点和未变形时候的位移差。
总结以上所有的方程,我们得到了一个二阶PDE方程(Navier方程),

需要一个边界条件来求解,

其中n是表面
的法矢,P是边界上的面力或牵引力。后面会介绍更多边界条件。
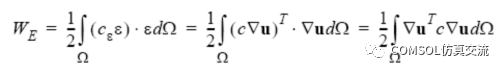
这个PDE方程的弱形式为,

其中v=称为试函数。注意,尽管Navier方程是一个矢量表达式,但是上面的表达式是一个标量形式。下面介绍如何去推导以及理解弱形式。
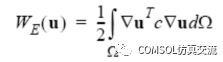
弹性势能
在结构分析中,PDE方程及其弱形式的表达式都不太常见,相反,能量最小化形式因为其直观的表达形式用的较多。这类问题的能量积分形式对应于总势能的最小化,即对象中存储的弹性能。
总弹性能是一个标量,可以写成:

弹性能表达式同样适用于非线性问题。在这些表达式中,我们假设体力F为零,并忽略了边界效应。这些影响可以在以后引入。积分的意义是每个体积微元的内能总和,其中应力张量单位是Pa,微元体上的应变没有单位,dV单位是体积,因此积分出来的单位应该是N·m。
如果问题是线弹性的,则可以显式的写为:

利用下面的通用公式:

用应变张量ε替换上式中的标量变量χ,弹性张量
替换上标量常量α。
联立上面的式子得到:

我们用c代替
来配合COMSOL Multiphysics手册中的标记方式。如果不习惯用张量,可以将张量看成是一个3×3的矩阵,点乘是一种张量的运算符号,弹性张量是一个4阶张量(看上去就像4维矩阵)。
弹性能积分形式下的单位说明:


最终给出总的积分单位是N·m――能量。
的表达式就是我们通常说的能量泛函,即位移矢量u(或实际上是u的梯度)的泛函。这种函数的函数,而不是坐标的函数,通常被称为泛函,比单元微积分和多元微积分更加抽象。
与积分类似,我们可以说
就是函数的泛函:

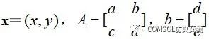
这好比是一个2D的变量x,y的二元函数:

其中
采用这样的类比是因为在后面我们会看到矩阵A与有限元的刚度矩阵比较类似。
我们要说明一下函数和泛函的一些区别。
古典分析中的函数概念是指两个数集之间所建立的一种对应关系,现代数学的发展却是要求建立两个任意集合之间的某种对应关系。函数概念被赋予了更为一般的意义,通俗解释泛函指的就是“函数的函数”。在这里定义域为Ω,泛函可以在整个定义域内进行微分积分等操作。
泛函的变量是函数,这个函数也是有容许空间的。如果函数u可以变化,可能会产生一些不符合物理规则的一些现象,例如结构的刚性位移等。比如一个对u的基本约束就是材料不能穿越本身。
在有限元分析中,泛函一般是某种能量积分,比如弹性能。对于其他的物理场,可能是其他的能量积分,或者是一种等效于能量的标量也可以。至于积分区域,一般由分析对象的CAD几何区域所确定。
更多COMSOL相关内容↓↓↓↓
【COMSOL仿真交流】
https://mp.weixin.qq.com/s/Ejyh1ofbzQgBEhD2_vgcsw
获取PDF格式文件助力学习↑↑↑↑
本文介绍了COMSOL Multiphysics在解决物理问题时如何使用弱形式,弱形式在处理非标准有限元问题及多物理场问题中的重要性。通过弹性静力学的PDE和能量方程,探讨了从偏微分方程到能量最小化再到弱形式的转换,强调了弱形式在处理边界条件和非线性问题的优势。
1492

被折叠的 条评论
为什么被折叠?



