✅作者简介:热爱科研的Matlab仿真开发者,擅长数据处理、建模仿真、程序设计、完整代码获取、论文复现及科研仿真。
🍎 往期回顾关注个人主页:Matlab科研工作室
🍊个人信条:格物致知,完整Matlab代码获取及仿真咨询内容私信。
🔥 内容介绍
研究背景:多无人机三维路径规划的核心需求与技术痛点
1. 应用场景与规划价值
多无人机集群协同作业已广泛应用于:
- 电力巡检:复杂地形(山地、森林)输电线路三维巡航,需规避杆塔、植被威胁;
- 应急救援:地震 / 洪水灾区物资投送,需快速规划避障路径,平衡时效与安全;
- 物流配送:城市 / 乡村多节点配送,需优化路径成本与无人机能耗;
- 军事侦察:战场三维空间渗透,需规避雷达、防空威胁。
三维路径规划需同时满足 “空间维度(x,y,z)避障” 与 “多目标成本优化”,传统方法难以平衡全局搜索效率与局部避障精度。
2. 传统路径规划算法的局限性
| 算法 | 优势 | 核心缺陷 |
| A * 算法 | 静态环境快速搜索 | 动态威胁适应性差,多无人机协同弱 |
| PSO 算法 | 全局优化能力强 | 易早熟收敛,三维空间避障精度不足 |
| GA 算法 | 多目标兼容性好 | 收敛速度慢,转角成本优化不足 |
| 原始 COA | 局部搜索效率高 | 全局探索能力弱,复杂威胁避障差 |
3. TGCOA 算法的适配优势
碳黑四角蜂算法(TGCOA)是在四角蜂算法(COA) 基础上引入 “碳黑沉积机制” 的改进算法,完美匹配多无人机三维规划需求:
- 协同性强:模拟四角蜂集群觅食行为,天然适配多无人机分布式协同;
- 全局 - 局部平衡:碳黑沉积模拟信息素引导,增强全局探索,避免早熟;
- 多目标优化:算法可同时优化路径、高度、威胁、转角多维度成本;
- 避障精度高:蜂群个体的 “防御行为” 机制,可快速响应三维空间威胁。
二、核心原理:TGCOA 算法改进与多无人机协同机制

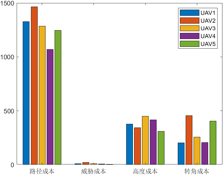
⛳️ 运行结果






📣 部分代码
function c = othercolor(n,m)
% OTHERCOLOR alternative colormaps from various sources
%
% OTHERCOLOR(N,M) returns a M-by-3 matrix contaning a colormap given by
% the name N. OTHERCOLOR, by itself, is the same length as the current
% figure's colormap. If no figure exists, MATLAB creates one.
%
% Supported colormaps are stored in a colorData.mat. And you can easily
% add your own: they are just standard MATLAB RGB colormap matrices.
%
% From: http://geography.uoregon.edu/datagraphics/color_scales.htm
% BrBu_10 BuDOr_18 BuGr_14 BuOr_10 Bu_10 GrMg_16
% BrBu_12 BuDRd_12 BuGy_8 BuOr_12 Bu_7 RdYlBu_11b
% BuDOr_12 BuDRd_18 BuOrR_14 BuOr_8 Cat_12 StepSeq_25
%
% From: http://www.colorbrewer2.org
% Accent3 GnBu6 Paired4 PuOr4 RdYlBu10 Set37
% Accent4 GnBu7 Paired5 PuOr5 RdYlBu11 Set38
% Accent5 GnBu8 Paired6 PuOr6 RdYlBu3 Set39
% Accent6 GnBu9 Paired7 PuOr7 RdYlBu4 Spectral10
% Accent7 Greens3 Paired8 PuOr8 RdYlBu5 Spectral11
% Accent8 Greens4 Paired9 PuOr9 RdYlBu6 Spectral3
% Blues3 Greens5 Pastel13 PuRd3 RdYlBu7 Spectral4
% Blues4 Greens6 Pastel14 PuRd4 RdYlBu8 Spectral5
% Blues5 Greens7 Pastel15 PuRd5 RdYlBu9 Spectral6
% Blues6 Greens8 Pastel16 PuRd6 RdYlGn10 Spectral7
% Blues7 Greens9 Pastel17 PuRd7 RdYlGn11 Spectral8
% Blues8 Greys3 Pastel18 PuRd8 RdYlGn3 Spectral9
% Blues9 Greys4 Pastel19 PuRd9 RdYlGn4 YlGn3
% BrBG10 Greys5 Pastel23 Purples3 RdYlGn5 YlGn4
% BrBG11 Greys6 Pastel24 Purples4 RdYlGn6 YlGn5
% BrBG3 Greys7 Pastel25 Purples5 RdYlGn7 YlGn6
% BrBG4 Greys8 Pastel26 Purples6 RdYlGn8 YlGn7
% BrBG5 Greys9 Pastel27 Purples7 RdYlGn9 YlGn8
% BrBG6 OrRd3 Pastel28 Purples8 Reds3 YlGn9
% BrBG7 OrRd4 PiYG10 Purples9 Reds4 YlGnBu3
% BrBG8 OrRd5 PiYG11 RdBu10 Reds5 YlGnBu4
% BrBG9 OrRd6 PiYG3 RdBu11 Reds6 YlGnBu5
% BuGn3 OrRd7 PiYG4 RdBu3 Reds7 YlGnBu6
% BuGn4 OrRd8 PiYG5 RdBu4 Reds8 YlGnBu7
% BuGn5 OrRd9 PiYG6 RdBu5 Reds9 YlGnBu8
% BuGn6 Oranges3 PiYG7 RdBu6 Set13 YlGnBu9
% BuGn7 Oranges4 PiYG8 RdBu7 Set14 YlOrBr3
% BuGn8 Oranges5 PiYG9 RdBu8 Set15 YlOrBr4
% BuGn9 Oranges6 PuBu3 RdBu9 Set16 YlOrBr5
% BuPu3 Oranges7 PuBu4 RdGy10 Set17 YlOrBr6
% BuPu4 Oranges8 PuBu5 RdGy11 Set18 YlOrBr7
% BuPu5 Oranges9 PuBu6 RdGy3 Set19 YlOrBr8
% BuPu6 PRGn10 PuBu7 RdGy4 Set23 YlOrBr9
% BuPu7 PRGn11 PuBu8 RdGy5 Set24 YlOrRd3
% BuPu8 PRGn3 PuBu9 RdGy6 Set25 YlOrRd4
% BuPu9 PRGn4 PuBuGn3 RdGy7 Set26 YlOrRd5
% Dark23 PRGn5 PuBuGn4 RdGy8 Set27 YlOrRd6
% Dark24 PRGn6 PuBuGn5 RdGy9 Set28 YlOrRd7
% Dark25 PRGn7 PuBuGn6 RdPu3 Set310 YlOrRd8
% Dark26 PRGn8 PuBuGn7 RdPu4 Set311 YlOrRd9
% Dark27 PRGn9 PuBuGn8 RdPu5 Set312
% Dark28 Paired10 PuBuGn9 RdPu6 Set33
% GnBu3 Paired11 PuOr10 RdPu7 Set34
% GnBu4 Paired12 PuOr11 RdPu8 Set35
% GnBu5 Paired3 PuOr3 RdPu9 Set36
%
% From Mathematica:
% MCMYKcolors MIndexed45 Mdarkterrain
% MHTML MIndexed46 Mdeepseacolors
% MIndexed1 MIndexed47 Mfallcolors
% MIndexed10 MIndexed48 Mfruitpunchcolors
% MIndexed11 MIndexed49 Mfuchsiatones
% MIndexed12 MIndexed5 Mgeologicages
% MIndexed13 MIndexed50 Mgraytones
% MIndexed14 MIndexed51 Mgrayyellowtones
% MIndexed15 MIndexed52 Mgreenbrownterrain
% MIndexed16 MIndexed53 Mgreenpinktones
% MIndexed17 MIndexed54 Mhypsometrictints
% MIndexed18 MIndexed55 Mislandcolors
% MIndexed19 MIndexed56 Mlakecolors
% MIndexed2 MIndexed57 Mlegacy
% MIndexed20 MIndexed58 Mlighttemperaturemap
% MIndexed21 MIndexed59 Mlightterrain
% MIndexed22 MIndexed6 Mmintcolors
% MIndexed23 MIndexed60 Mneoncolors
% MIndexed24 MIndexed61 Mpastel
% MIndexed25 MIndexed62 Mpearlcolors
% MIndexed26 MIndexed7 Mpigeontones
% MIndexed27 MIndexed8 Mplumcolors
% MIndexed28 MIndexed9 Mrainbow
% MIndexed29 Malpinecolors Mredbluetones
% MIndexed3 Maquamarine Mredgreensplit
% MIndexed30 Marmycolors Mrosecolors
% MIndexed31 Matlanticcolors Mrusttones
% MIndexed32 Matoms Msandyterrain
% MIndexed33 Mauroracolors Msiennatones
% MIndexed34 Mavocadocolors Msolarcolors
% MIndexed35 Mbeachcolors Msouthwestcolors
% MIndexed36 Mblackbodyspectrum Mstarrynightcolors
% MIndexed37 Mbluegreenyellow Msunsetcolors
% MIndexed38 Mbrasstones Mtemperaturemap
% MIndexed39 Mbrightbands Mthermometercolors
% MIndexed4 Mbrowncyantones Mvalentinetones
% MIndexed40 Mcandycolors Mvisiblespectrum
% MIndexed41 Mcherrytones Mwatermeloncolors
% MIndexed42 Mcoffeetones Mwebsafe
% MIndexed43 Mdarkbands
% MIndexed44 Mdarkrainbow
%
% Usage:
% A typical 3D plot:
% >> [X,Y,Z] = peaks(30);
% >> surfc(X,Y,Z)
% >> colormap(othercolor('RdYlBu_11b'))
% >> colorbar
% >> axis([-3 3 -3 3 -10 5])
%
% To get the list of available colormaps in a cellarray:
% >> colormapNames = othercolor();
%
% Iterate through colormaps (enter to move to next, ctrl+c to exit loop)
% >> l = othercolor; for i=1:length(l), colormap(othercolor(i));pause;end
%
% Plot the first 50 colormaps
% >> colors = othercolor();
% >> l = 50;
% >> for i=1:l
% >> subplot(ceil(l/10),10,i);
% >> c = othercolor(i);
% >> imagesc(reshape(c,1,size(c,1),size(c,2)));
% >> title(char(colors(i)),'interpreter','none');
% >> axis off;
% >> end
%
% Author: Joshua Atkins
% Date: March 1, 2011
types = who('-file','colorData.mat');
% if no colormap is choosen then display available colormaps
if nargin < 1,
c = types;
else
% default number of points
if nargin < 2, m = size(get(gcf,'colormap'),1); end
% allows numerical indexing
if isnumeric(n), n = char(types(n)); end
% load color data
data = load('colorData.mat',n);
if isempty(fieldnames(data))
c = [];
else
c = interp1(linspace(0,1,size(data.(n),1)),data.(n),linspace(0,1,m),'cubic');
c(c<0) = 0;
c(c>1) = 1;
end
end
🔗 参考文献
🎈 部分理论引用网络文献,若有侵权联系博主删除
👇 关注我领取海量matlab电子书和数学建模资料
🏆团队擅长辅导定制多种科研领域MATLAB仿真,助力科研梦:
🌟 各类智能优化算法改进及应用
生产调度、经济调度、装配线调度、充电优化、车间调度、发车优化、水库调度、三维装箱、物流选址、货位优化、公交排班优化、充电桩布局优化、车间布局优化、集装箱船配载优化、水泵组合优化、解医疗资源分配优化、设施布局优化、可视域基站和无人机选址优化、背包问题、 风电场布局、时隙分配优化、 最佳分布式发电单元分配、多阶段管道维修、 工厂-中心-需求点三级选址问题、 应急生活物质配送中心选址、 基站选址、 道路灯柱布置、 枢纽节点部署、 输电线路台风监测装置、 集装箱调度、 机组优化、 投资优化组合、云服务器组合优化、 天线线性阵列分布优化、CVRP问题、VRPPD问题、多中心VRP问题、多层网络的VRP问题、多中心多车型的VRP问题、 动态VRP问题、双层车辆路径规划(2E-VRP)、充电车辆路径规划(EVRP)、油电混合车辆路径规划、混合流水车间问题、 订单拆分调度问题、 公交车的调度排班优化问题、航班摆渡车辆调度问题、选址路径规划问题、港口调度、港口岸桥调度、停机位分配、机场航班调度、泄漏源定位、冷链、时间窗、多车场等、选址优化、港口岸桥调度优化、交通阻抗、重分配、停机位分配、机场航班调度、通信上传下载分配优化
🌟 机器学习和深度学习时序、回归、分类、聚类和降维
2.1 bp时序、回归预测和分类
2.2 ENS声神经网络时序、回归预测和分类
2.3 SVM/CNN-SVM/LSSVM/RVM支持向量机系列时序、回归预测和分类
2.4 CNN|TCN|GCN卷积神经网络系列时序、回归预测和分类
2.5 ELM/KELM/RELM/DELM极限学习机系列时序、回归预测和分类
2.6 GRU/Bi-GRU/CNN-GRU/CNN-BiGRU门控神经网络时序、回归预测和分类
2.7 ELMAN递归神经网络时序、回归\预测和分类
2.8 LSTM/BiLSTM/CNN-LSTM/CNN-BiLSTM/长短记忆神经网络系列时序、回归预测和分类
2.9 RBF径向基神经网络时序、回归预测和分类
2.10 DBN深度置信网络时序、回归预测和分类
2.11 FNN模糊神经网络时序、回归预测
2.12 RF随机森林时序、回归预测和分类
2.13 BLS宽度学习时序、回归预测和分类
2.14 PNN脉冲神经网络分类
2.15 模糊小波神经网络预测和分类
2.16 时序、回归预测和分类
2.17 时序、回归预测预测和分类
2.18 XGBOOST集成学习时序、回归预测预测和分类
2.19 Transform各类组合时序、回归预测预测和分类
方向涵盖风电预测、光伏预测、电池寿命预测、辐射源识别、交通流预测、负荷预测、股价预测、PM2.5浓度预测、电池健康状态预测、用电量预测、水体光学参数反演、NLOS信号识别、地铁停车精准预测、变压器故障诊断
🌟图像处理方面
图像识别、图像分割、图像检测、图像隐藏、图像配准、图像拼接、图像融合、图像增强、图像压缩感知
🌟 路径规划方面
旅行商问题(TSP)、车辆路径问题(VRP、MVRP、CVRP、VRPTW等)、无人机三维路径规划、无人机协同、无人机编队、机器人路径规划、栅格地图路径规划、多式联运运输问题、 充电车辆路径规划(EVRP)、 双层车辆路径规划(2E-VRP)、 油电混合车辆路径规划、 船舶航迹规划、 全路径规划规划、 仓储巡逻、公交车时间调度、水库调度优化、多式联运优化
🌟 无人机应用方面
无人机路径规划、无人机控制、无人机编队、无人机协同、无人机任务分配、无人机安全通信轨迹在线优化、车辆协同无人机路径规划、
🌟 通信方面
传感器部署优化、通信协议优化、路由优化、目标定位优化、Dv-Hop定位优化、Leach协议优化、WSN覆盖优化、组播优化、RSSI定位优化、水声通信、通信上传下载分配
🌟 信号处理方面
信号识别、信号加密、信号去噪、信号增强、雷达信号处理、信号水印嵌入提取、肌电信号、脑电信号、信号配时优化、心电信号、DOA估计、编码译码、变分模态分解、管道泄漏、滤波器、数字信号处理+传输+分析+去噪、数字信号调制、误码率、信号估计、DTMF、信号检测
🌟电力系统方面
微电网优化、无功优化、配电网重构、储能配置、有序充电、MPPT优化、家庭用电、电/冷/热负荷预测、电力设备故障诊断、电池管理系统(BMS)SOC/SOH估算(粒子滤波/卡尔曼滤波)、 多目标优化在电力系统调度中的应用、光伏MPPT控制算法改进(扰动观察法/电导增量法)、电动汽车充放电优化、微电网日前日内优化、储能优化、家庭用电优化、供应链优化
🌟 元胞自动机方面
交通流 人群疏散 病毒扩散 晶体生长 金属腐蚀
🌟 雷达方面
卡尔曼滤波跟踪、航迹关联、航迹融合、SOC估计、阵列优化、NLOS识别
🌟 车间调度
零等待流水车间调度问题NWFSP 、 置换流水车间调度问题PFSP、 混合流水车间调度问题HFSP 、零空闲流水车间调度问题NIFSP、分布式置换流水车间调度问题 DPFSP、阻塞流水车间调度问题BFSP
👇

被折叠的 条评论
为什么被折叠?



