✅作者简介:热爱科研的Matlab仿真开发者,擅长数据处理、建模仿真、程序设计、完整代码获取、论文复现及科研仿真。
🍎 往期回顾关注个人主页:Matlab科研工作室
🍊个人信条:格物致知,完整Matlab代码及仿真咨询内容私信。
🔥 内容介绍
自主移动机器人的重要性正迅速提升。其为人类处理常规且枯燥工作的潜力已逐步实现。为进一步挖掘这一潜力,人们正推广 “野外机器人赛事” 等各类活动。在该赛事中,两项核心任务与导航相关:移动机器人需在真实野外环境(地面以上存在尺寸小于 25 毫米的障碍物)中,沿玉米植株的弯曲行列自主导航。要完成这些任务,一套具备轨迹跟踪能力与位姿调节功能的鲁棒性底层控制器至关重要。本项目围绕这些任务,深入探索了控制器的设计过程。
这类移动机器人因驱动系统简单而被广泛应用,且凭借自身鲁棒性,被视为全地形设备。然而,受复杂的轮地相互作用及运动学约束影响,理解此类机器人平台的运动学与动力学特性颇具挑战 [19]。采用这类驱动机制的移动机器人在正常运行时,容易出现打滑(slip)与侧滑(skid)现象,这使得精确估算其位置随时间的变化变得复杂。已有大量研究文献针对滑转转向(skid-steering)型移动机器人的里程计(odometry)问题提出了多种解决方法,但由于本项目的研究时间有限,未对里程计问题展开深入探讨,而是假设其位置信息已知。
移动机器人的路径规划与运动控制是控制器设计的关键环节,通常被视为高层控制器的任务,且由机器人的感知系统决定。本研究项目主要解决位姿调节问题,同时可轻松扩展至所搭建原型机的轨迹跟踪问题。为便于控制器设计,项目基于基本原理,对物理系统进行了数学建模;并综合考虑移动机器人原型机的运动学、动力学特性及执行器限制,设计了控制算法,将设定点调节与轨迹跟踪整合为一个统一的控制问题。研究中使用 MATLAB 与 Simulink 等仿真工具对算法进行仿真,绘制了包括收敛曲线、机器人运动路径在内的关键图表。
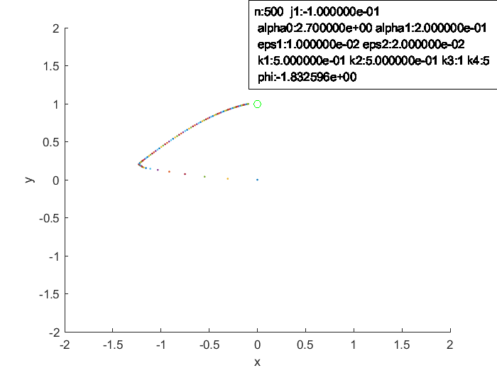
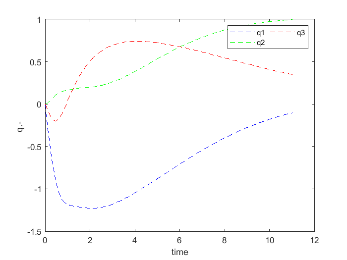
⛳️ 运行结果







📣 部分代码
k2=0.5;
k3=1;
k4=5;
rho=1;
phi=-7*pi/12;
%mobile robot dimensions and specifications
m =12; %mass in kg
I = 0.18; %moment of inertia of the mobile robot kg/m^2
L=0.000065; %inductance in H
R=0.032; %resistance in ohm
j1=-0.1; %ICR projection along x direction in the robot frame or local frame
a=0.3; %should be refered to in fig:4.1(b)in meters
b=0.3; %should be refered to in fig:4.1(b)in meters
r = 0.0765; %radiusof wheel in meters
c = 0.154; %should be refered to in fig:4.1(b)in meters
J =[0 -1; 1 0];
g=9.8; %acceleration of gravity in m/sec^2
%time steps
t(1,n+1)=0; %Initializing time
for i=1:n+1
🔗 参考文献
[1]田宇.基于模型预测的履带式消防巡检机器人轨迹跟踪技术研究[D].燕山大学[2025-09-28].
🎈 部分理论引用网络文献,若有侵权联系博主删除
👇 关注我领取海量matlab电子书和数学建模资料
🏆团队擅长辅导定制多种科研领域MATLAB仿真,助力科研梦:
🌟 各类智能优化算法改进及应用
生产调度、经济调度、装配线调度、充电优化、车间调度、发车优化、水库调度、三维装箱、物流选址、货位优化、公交排班优化、充电桩布局优化、车间布局优化、集装箱船配载优化、水泵组合优化、解医疗资源分配优化、设施布局优化、可视域基站和无人机选址优化、背包问题、 风电场布局、时隙分配优化、 最佳分布式发电单元分配、多阶段管道维修、 工厂-中心-需求点三级选址问题、 应急生活物质配送中心选址、 基站选址、 道路灯柱布置、 枢纽节点部署、 输电线路台风监测装置、 集装箱调度、 机组优化、 投资优化组合、云服务器组合优化、 天线线性阵列分布优化、CVRP问题、VRPPD问题、多中心VRP问题、多层网络的VRP问题、多中心多车型的VRP问题、 动态VRP问题、双层车辆路径规划(2E-VRP)、充电车辆路径规划(EVRP)、油电混合车辆路径规划、混合流水车间问题、 订单拆分调度问题、 公交车的调度排班优化问题、航班摆渡车辆调度问题、选址路径规划问题、港口调度、港口岸桥调度、停机位分配、机场航班调度、泄漏源定位、冷链、时间窗、多车场等、选址优化、港口岸桥调度优化、交通阻抗、重分配、停机位分配、机场航班调度、通信上传下载分配优化
🌟 机器学习和深度学习时序、回归、分类、聚类和降维
2.1 bp时序、回归预测和分类
2.2 ENS声神经网络时序、回归预测和分类
2.3 SVM/CNN-SVM/LSSVM/RVM支持向量机系列时序、回归预测和分类
2.4 CNN|TCN|GCN卷积神经网络系列时序、回归预测和分类
2.5 ELM/KELM/RELM/DELM极限学习机系列时序、回归预测和分类
2.6 GRU/Bi-GRU/CNN-GRU/CNN-BiGRU门控神经网络时序、回归预测和分类
2.7 ELMAN递归神经网络时序、回归\预测和分类
2.8 LSTM/BiLSTM/CNN-LSTM/CNN-BiLSTM/长短记忆神经网络系列时序、回归预测和分类
2.9 RBF径向基神经网络时序、回归预测和分类
2.10 DBN深度置信网络时序、回归预测和分类
2.11 FNN模糊神经网络时序、回归预测
2.12 RF随机森林时序、回归预测和分类
2.13 BLS宽度学习时序、回归预测和分类
2.14 PNN脉冲神经网络分类
2.15 模糊小波神经网络预测和分类
2.16 时序、回归预测和分类
2.17 时序、回归预测预测和分类
2.18 XGBOOST集成学习时序、回归预测预测和分类
2.19 Transform各类组合时序、回归预测预测和分类
方向涵盖风电预测、光伏预测、电池寿命预测、辐射源识别、交通流预测、负荷预测、股价预测、PM2.5浓度预测、电池健康状态预测、用电量预测、水体光学参数反演、NLOS信号识别、地铁停车精准预测、变压器故障诊断
🌟图像处理方面
图像识别、图像分割、图像检测、图像隐藏、图像配准、图像拼接、图像融合、图像增强、图像压缩感知
🌟 路径规划方面
旅行商问题(TSP)、车辆路径问题(VRP、MVRP、CVRP、VRPTW等)、无人机三维路径规划、无人机协同、无人机编队、机器人路径规划、栅格地图路径规划、多式联运运输问题、 充电车辆路径规划(EVRP)、 双层车辆路径规划(2E-VRP)、 油电混合车辆路径规划、 船舶航迹规划、 全路径规划规划、 仓储巡逻、公交车时间调度、水库调度优化、多式联运优化
🌟 无人机应用方面
无人机路径规划、无人机控制、无人机编队、无人机协同、无人机任务分配、无人机安全通信轨迹在线优化、车辆协同无人机路径规划、
🌟 通信方面
传感器部署优化、通信协议优化、路由优化、目标定位优化、Dv-Hop定位优化、Leach协议优化、WSN覆盖优化、组播优化、RSSI定位优化、水声通信、通信上传下载分配
🌟 信号处理方面
信号识别、信号加密、信号去噪、信号增强、雷达信号处理、信号水印嵌入提取、肌电信号、脑电信号、信号配时优化、心电信号、DOA估计、编码译码、变分模态分解、管道泄漏、滤波器、数字信号处理+传输+分析+去噪、数字信号调制、误码率、信号估计、DTMF、信号检测
🌟电力系统方面
微电网优化、无功优化、配电网重构、储能配置、有序充电、MPPT优化、家庭用电、电/冷/热负荷预测、电力设备故障诊断、电池管理系统(BMS)SOC/SOH估算(粒子滤波/卡尔曼滤波)、 多目标优化在电力系统调度中的应用、光伏MPPT控制算法改进(扰动观察法/电导增量法)、电动汽车充放电优化、微电网日前日内优化、储能优化、家庭用电优化、供应链优化
🌟 元胞自动机方面
交通流 人群疏散 病毒扩散 晶体生长 金属腐蚀
🌟 雷达方面
卡尔曼滤波跟踪、航迹关联、航迹融合、SOC估计、阵列优化、NLOS识别
🌟 车间调度
零等待流水车间调度问题NWFSP 、 置换流水车间调度问题PFSP、 混合流水车间调度问题HFSP 、零空闲流水车间调度问题NIFSP、分布式置换流水车间调度问题 DPFSP、阻塞流水车间调度问题BFSP
👇

被折叠的 条评论
为什么被折叠?



