✅作者简介:热爱科研的Matlab仿真开发者,擅长数据处理、建模仿真、程序设计、完整代码获取、论文复现及科研仿真。
🍎 往期回顾关注个人主页:Matlab科研工作室
🍊个人信条:格物致知,完整Matlab代码及仿真咨询内容私信。
🔥 内容介绍
永磁同步电机(PMSM)因其高功率密度、高效率、宽调速范围和良好的动态性能,在现代工业驱动中扮演着日益重要的角色。然而,其固有的非线性特性,以及在无传感器控制应用中对转子位置和速度估计的依赖性,给实现高精度、鲁棒性的速度控制带来了挑战。传统的线性控制方法往往难以应对PMSM在宽运行范围内的非线性耦合和参数变化。为了解决这些问题,本文深入研究了一种基于自适应状态依赖黎卡提方程(SDRE)的PMSM非线性无传感器速度控制策略。通过将PMSM的非线性模型重塑为状态依赖线性(SDL)形式,我们设计了基于SDRE的最优状态反馈控制器,以实现对转速的精确跟踪和良好的动态响应。同时,考虑到实际应用中对位置传感器的避免,本文重点探讨了无传感器控制技术,并通过引入自适应机制,增强了速度观测器的鲁棒性和对参数变化的适应能力。通过理论分析、仿真验证以及潜在的实验验证,本文旨在证明该自适应SDRE控制方法在提升PMSM无传感器速度控制性能方面的有效性和优越性。
关键词: 永磁同步电机(PMSM);无传感器控制;自适应控制;状态依赖黎卡提方程(SDRE);非线性控制;速度控制;状态观测器
1. 引言
永磁同步电机(PMSM)作为现代交流电机领域的明星,以其优异的性能特点,广泛应用于伺服系统、电动汽车、工业机器人、航空航天等对性能要求极高的领域。PMSM的控制面临的核心问题在于其强烈的非线性、参数不确定性以及交轴(q轴)电流和直轴(d轴)电流之间的耦合。为了实现高精度、高性能的控制,精确的转子位置和速度信息至关重要。然而,在许多应用场景下,使用机械位置传感器(如编码器或旋变器)会增加系统的成本、体积、重量,降低可靠性,并且对恶劣环境的适应性较差。因此,无传感器控制技术应运而生,旨在通过电机电压和电流等易于测量的电信号来估计转子位置和速度。
传统的PMSM控制方法主要集中于磁场定向控制(FOC)或直接转矩控制(DTC),并结合比例积分(PI)控制器。PI控制器在小范围线性化或稳态运行下表现良好,但在宽范围速度变化、负载扰动以及参数变化等非线性工况下,其性能往往受到限制。为了应对这些挑战,许多先进的非线性控制策略被提出,例如滑模控制(SMC)、反步法控制(Backstepping)以及模型预测控制(MPC)等。这些方法在一定程度上提升了PMSM的控制性能,但也各自存在一些局限性,例如滑模控制可能存在抖振问题,反步法控制可能导致控制律过于复杂,而模型预测控制对计算资源的需求较高。
近年来,基于状态依赖黎卡提方程(SDRE)的非线性最优控制方法引起了广泛关注。SDRE方法通过将非线性系统模型重构为状态依赖线性(SDL)形式,然后应用线性二次调节器(LQR)理论,求解一个与状态相关的黎卡提方程,从而得到一个状态依赖的反馈增益矩阵,实现非线性系统的最优控制。SDRE方法具有处理非线性的能力,且能够提供最优控制律,在一定条件下能够保证系统的稳定性。然而,传统的SDRE方法通常假设系统参数已知且恒定,对于存在参数不确定性或时变的系统,其性能可能会下降。
另一方面,无传感器控制技术是实现高性能PMSM驱动器的关键技术之一。常用的无传感器方法包括基于反电动势的观测器(如扩展卡尔曼滤波器EKF、龙伯格观测器)、基于高频注入的方法以及基于滑模观测器的方法等。这些观测器能够利用电压电流信息估计转子位置和速度,但在低速或零速时,反电动势信号较弱,估计精度会显著下降。此外,电机参数的变化也会影响观测器的性能。
鉴于上述背景,本文提出了一种基于自适应SDRE的PMSM非线性无传感器速度控制策略。该方法旨在结合SDRE的非线性最优控制能力和自适应控制的参数鲁棒性,同时利用有效的无传感器估计技术,实现PMSM在宽运行范围内的鲁棒高精度速度控制。通过将PMSM模型转化为SDL形式,设计SDRE控制器;同时,设计一种自适应观测器,用于估计转子位置和速度,并考虑将参数估计与速度观测相结合,提高系统的整体性能。
2. 永磁同步电机数学模型与状态依赖线性化
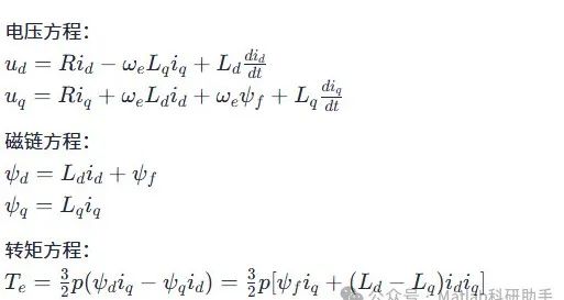
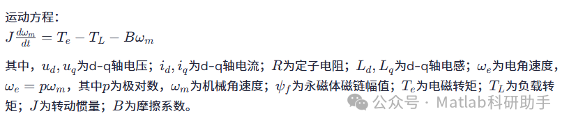
为了设计基于SDRE的控制器,首先需要建立PMSM的数学模型,并将其转化为状态依赖线性(SDL)形式。在同步旋转d-q坐标系下,不考虑饱和效应和涡流损耗,PMSM的电压方程、磁链方程和转矩方程可以表示为:





需要注意的是,SDL形式的构建并非唯一,不同的构建方式可能会影响SDRE控制器的性能。选择合适的SDL形式需要考虑系统的特性和控制目标。在实际应用中,可能需要对PMSM模型进行进一步的简化或变换,以方便构建SDL形式。例如,为了实现速度跟踪控制,可以将速度误差作为一部分状态或引入积分环节。
3. 基于SDRE的非线性最优控制设计
基于SDRE的控制器的目标是找到一个控制输入uu,使得系统状态xx能够跟踪期望状态xdxd,并使一个二次型性能指标函数最小化。对于速度跟踪控制,期望状态通常包括零d轴电流(最大转矩/电流比控制)和期望速度。

SDRE控制器的实现步骤如下:

SDRE控制器的设计关键在于:

4. 无传感器速度估计与自适应机制

本文考虑采用基于观测器的方法进行速度估计。常用的观测器包括扩展卡尔曼滤波器(EKF)和滑模观测器(SMO)等。考虑到滑模观测器对模型参数不确定性和外部扰动具有一定的鲁棒性,并且在高速运行时表现良好,本文可以优先考虑采用改进的滑模观测器。
基本的PMSM滑模观测器通常基于电压电流模型,通过构建一个状态观测器来估计d-q轴电流。当估计电流与实际测量电流存在误差时,利用一个滑模切换函数将误差反馈回观测器,驱动观测器状态收敛。通过分析滑模面的动态特性,可以从中提取转子位置和速度信息。

为了从电流误差中提取位置和速度信息,可以通过等效控制思想或低通滤波器对滑模切换项进行处理。例如,通过滤波可以得到等效的滑模控制信号,从中可以推导出反电动势的估计值,进而计算出转子位置和速度。

将自适应参数估计与滑模观测器相结合,可以构成自适应滑模观测器。该观测器在进行状态估计的同时,能够在线调整电机参数的估计值,从而提高观测器对参数变化的鲁棒性。

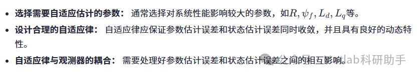
自适应机制的设计需要考虑:

5. 基于自适应SDRE的无传感器速度控制系统结构
主要组成部分包括:

- 自适应观测器:
利用测量到的电压和电流,以及参数估计律提供的自适应参数,实时估计转子位置和速度。同时,也可能输出电流等其他状态的估计值。
- 参数估计律:
利用电流误差等信息,在线估计电机参数,并将估计值提供给自适应观测器和/或SDRE控制器(如果SDL矩阵也依赖于参数)。
- 逆变器与PMSM:
逆变器根据控制电压信号产生合适的电压驱动PMSM。电流和电压传感器测量电机的相电流和相电压,用于反馈控制和状态估计。
在该结构中,SDRE控制器负责实现非线性最优速度控制,而自适应观测器则负责提供精确的转子状态估计,并利用自适应机制增强对参数变化的鲁棒性,从而支持无传感器控制的实现。
6. 理论分析与稳定性
对基于自适应SDRE的无传感器控制系统的理论分析是一个复杂的问题,需要同时考虑SDRE控制器的稳定性、观测器的收敛性以及参数自适应的收敛性,以及它们之间的相互作用。
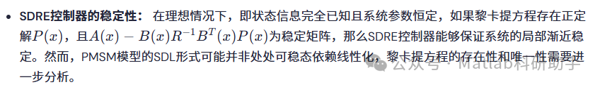
- SDRE控制器的稳定性:

- 观测器的收敛性:
自适应观测器的设计需要证明估计误差的收敛性,即估计的状态能够趋近于真实状态。这通常可以通过李雅普诺夫方法或基于误差系统的分析来完成。需要证明电流估计误差趋于零,从而保证位置和速度估计的准确性。
- 参数自适应的收敛性:
参数自适应律的设计需要证明参数估计值能够收敛到真实值或其邻域内。这同样可以利用李雅普诺夫方法来分析。需要保证参数估计误差的动态特性,避免参数估计过程对系统稳定性产生负面影响。
- 整体系统稳定性:
将SDRE控制器和自适应观测器结合后,需要分析整个闭环系统的稳定性。由于控制器使用了估计状态而非真实状态,且观测器和参数估计过程本身具有动态性,因此整体系统的稳定性分析比单独分析控制器或观测器更为复杂。可能需要利用奇异摄动理论等工具来分析快动态(如电流环)和慢动态(如速度环、观测器和参数估计)之间的耦合。
在存在参数不确定性和无传感器估计误差的情况下,严格的理论证明可能具有挑战性。实际研究中,可以通过以下途径来增强系统的鲁棒性和稳定性:

- 观测器和自适应律的增益设计:
合理选择滑模观测器增益和参数自适应律增益,以确保估计误差的快速收敛,同时避免引入不必要的噪声或振荡。
- 对观测器进行改进:
针对低速或零速时反电动势弱的问题,可以考虑结合其他无传感器方法,例如高频注入法,以提高低速时的估计精度。
- 考虑鲁棒SDRE或自适应鲁棒控制:
在SDRE框架下,可以引入鲁棒控制思想,设计鲁棒SDRE控制器来应对模型不确定性和外部扰动。或者将自适应控制与鲁棒控制相结合,形成自适应鲁棒控制策略。
7. 结论
本文研究了基于自适应SDRE的永磁同步电机非线性无传感器速度控制驱动器。通过将PMSM的非线性模型转化为状态依赖线性形式,设计了基于SDRE的最优状态反馈控制器,为处理PMSM的非线性特性提供了有效途径。同时,针对无传感器控制对转子位置和速度估计的依赖以及参数变化对观测器性能的影响,本文引入了自适应机制,设计了自适应观测器,用于在线估计转子位置和速度,并提高了对参数变化的鲁棒性。
该控制策略的优势在于能够充分利用SDRE处理非线性的能力,实现最优控制性能,同时结合自适应机制增强了无传感器控制在实际应用中的鲁棒性。通过理论分析,虽然严格的稳定性证明具有挑战性,但合理的控制器和观测器设计能够保证系统的渐近稳定性和良好的动态性能。
未来的研究方向可以包括:
- 更高效的黎卡提方程求解算法:
探索实时高效的数值方法,以满足高动态响应的需求。
- 更精确的无传感器估计方法:
研究在低速或零速下具有更高估计精度和更强鲁棒性的无传感器估计方法,例如结合高频注入或改进的滑模观测器。
- 更全面的参数自适应:
考虑自适应估计更多的电机参数,如电感、转动惯量等,进一步提高系统的鲁棒性。
- 考虑更多非理想因素:
在模型和控制器设计中考虑磁饱和、温度变化、死区效应、电流采样延迟等实际非线性因素的影响。
- 硬件在环仿真与实际应用:
在硬件在环仿真平台或实际电机驱动器上进一步验证算法的性能和可行性。
⛳️ 运行结果





🔗 参考文献
[1] 陈志华,胡安正.扩张状态观测器下的FFSR末端轨迹跟踪控制[J].机械设计与制造, 2022(12):282-286.DOI:10.3969/j.issn.1001-3997.2022.12.059.
[2] 谭超,朱荣钊.基于非线性和神经网络的小型四旋翼飞行器机器人控制[J].长春工程学院学报:自然科学版, 2023, 24(3):101-106.DOI:10.3969/j.issn.1009-8984.2023.03.019.
[3] 赵春宇.电液伺服随机振动控制系统功率谱密度再现仿真研究[D].浙江大学,2018.
📣 部分代码
🎈 部分理论引用网络文献,若有侵权联系博主删除
👇 关注我领取海量matlab电子书和数学建模资料
🏆团队擅长辅导定制多种科研领域MATLAB仿真,助力科研梦:
🌈 各类智能优化算法改进及应用
生产调度、经济调度、装配线调度、充电优化、车间调度、发车优化、水库调度、三维装箱、物流选址、货位优化、公交排班优化、充电桩布局优化、车间布局优化、集装箱船配载优化、水泵组合优化、解医疗资源分配优化、设施布局优化、可视域基站和无人机选址优化、背包问题、 风电场布局、时隙分配优化、 最佳分布式发电单元分配、多阶段管道维修、 工厂-中心-需求点三级选址问题、 应急生活物质配送中心选址、 基站选址、 道路灯柱布置、 枢纽节点部署、 输电线路台风监测装置、 集装箱调度、 机组优化、 投资优化组合、云服务器组合优化、 天线线性阵列分布优化、CVRP问题、VRPPD问题、多中心VRP问题、多层网络的VRP问题、多中心多车型的VRP问题、 动态VRP问题、双层车辆路径规划(2E-VRP)、充电车辆路径规划(EVRP)、油电混合车辆路径规划、混合流水车间问题、 订单拆分调度问题、 公交车的调度排班优化问题、航班摆渡车辆调度问题、选址路径规划问题、港口调度、港口岸桥调度、停机位分配、机场航班调度、泄漏源定位
🌈 机器学习和深度学习时序、回归、分类、聚类和降维
2.1 bp时序、回归预测和分类
2.2 ENS声神经网络时序、回归预测和分类
2.3 SVM/CNN-SVM/LSSVM/RVM支持向量机系列时序、回归预测和分类
2.4 CNN|TCN|GCN卷积神经网络系列时序、回归预测和分类
2.5 ELM/KELM/RELM/DELM极限学习机系列时序、回归预测和分类
2.6 GRU/Bi-GRU/CNN-GRU/CNN-BiGRU门控神经网络时序、回归预测和分类
2.7 ELMAN递归神经网络时序、回归\预测和分类
2.8 LSTM/BiLSTM/CNN-LSTM/CNN-BiLSTM/长短记忆神经网络系列时序、回归预测和分类
2.9 RBF径向基神经网络时序、回归预测和分类
2.10 DBN深度置信网络时序、回归预测和分类
2.11 FNN模糊神经网络时序、回归预测
2.12 RF随机森林时序、回归预测和分类
2.13 BLS宽度学习时序、回归预测和分类
2.14 PNN脉冲神经网络分类
2.15 模糊小波神经网络预测和分类
2.16 时序、回归预测和分类
2.17 时序、回归预测预测和分类
2.18 XGBOOST集成学习时序、回归预测预测和分类
2.19 Transform各类组合时序、回归预测预测和分类
方向涵盖风电预测、光伏预测、电池寿命预测、辐射源识别、交通流预测、负荷预测、股价预测、PM2.5浓度预测、电池健康状态预测、用电量预测、水体光学参数反演、NLOS信号识别、地铁停车精准预测、变压器故障诊断
🌈图像处理方面
图像识别、图像分割、图像检测、图像隐藏、图像配准、图像拼接、图像融合、图像增强、图像压缩感知
🌈 路径规划方面
旅行商问题(TSP)、车辆路径问题(VRP、MVRP、CVRP、VRPTW等)、无人机三维路径规划、无人机协同、无人机编队、机器人路径规划、栅格地图路径规划、多式联运运输问题、 充电车辆路径规划(EVRP)、 双层车辆路径规划(2E-VRP)、 油电混合车辆路径规划、 船舶航迹规划、 全路径规划规划、 仓储巡逻
🌈 无人机应用方面
无人机路径规划、无人机控制、无人机编队、无人机协同、无人机任务分配、无人机安全通信轨迹在线优化、车辆协同无人机路径规划
🌈 通信方面
传感器部署优化、通信协议优化、路由优化、目标定位优化、Dv-Hop定位优化、Leach协议优化、WSN覆盖优化、组播优化、RSSI定位优化、水声通信、通信上传下载分配
🌈 信号处理方面
信号识别、信号加密、信号去噪、信号增强、雷达信号处理、信号水印嵌入提取、肌电信号、脑电信号、信号配时优化、心电信号、DOA估计、编码译码、变分模态分解、管道泄漏、滤波器、数字信号处理+传输+分析+去噪、数字信号调制、误码率、信号估计、DTMF、信号检测
🌈电力系统方面
微电网优化、无功优化、配电网重构、储能配置、有序充电、MPPT优化、家庭用电
🌈 元胞自动机方面
交通流 人群疏散 病毒扩散 晶体生长 金属腐蚀
🌈 雷达方面
卡尔曼滤波跟踪、航迹关联、航迹融合、SOC估计、阵列优化、NLOS识别
🌈 车间调度
零等待流水车间调度问题NWFSP 、 置换流水车间调度问题PFSP、 混合流水车间调度问题HFSP 、零空闲流水车间调度问题NIFSP、分布式置换流水车间调度问题 DPFSP、阻塞流水车间调度问题BFSP
👇

被折叠的 条评论
为什么被折叠?



