一、矩阵
矩阵的定义:
定义 1 : 由 m×n 个数 : αij(i=1,2,…,m;j=1,2,…,n)排成的 m 行 n 列的数表,(横排称为行,竖排称为列)

称为 m 行 n 列矩阵,简称 m×n 矩阵,为表示它是一个整体,总是加一个括 弧,并用大写黑体字母表示它,记作

这 m×n 个数称为矩阵 A 的元素,简称为元,数aij位于矩阵 A 的第 i 行第 j 列,称为矩阵 A 的(i,j)元。m×n 矩阵 A 也记作 Am×n
元素是实数的矩阵称为实矩阵,元素是复数的矩阵称为复矩阵,本书中的矩 阵除特别说明外,都指实矩阵
二、为什么有矩阵
用消元法求解二元线性方程组

借助矩阵进行求解未知数

三、矩阵的应用
矩阵的应用非常广泛,我们习惯将数据描述为矩阵形式,方便统计与计算。 下面举几例
例: 某厂向三个商店(编号 1,2,3)发送四种产品(编号Ⅰ,Ⅱ,Ⅲ,Ⅳ) 的数量可列成矩阵

其中aij为工厂向第 i 家商店发送第 j 种产品的数量。 这四种产品的单价及单件质量也可列成矩阵

其中bi1为第 i 种产品的单价,bi2为第 i 种产品的单件质量
例: 四个城市间的单向航线如图

四、矩阵的类型
方阵: 行数与列数都等于 n 的矩阵称为 n 阶矩阵(也叫 n 阶方阵)。n 阶 矩阵 A 也记作 An
行矩阵: 只有一行的矩阵,称为行矩阵,又称行向量,A=(A1A2…An)
为避免元素间的混淆,行矩阵也记作 A =(A1,A2,…,An)
列矩阵: 只有一列的矩阵,称为列矩阵,又称列向量

同型矩阵: 两个矩阵的行数相等、列数也相等时,就称它们是同型矩阵,如果矩阵 A 和 B 的对应元素相等,那么就称矩阵 A 与矩阵 B 相等,记作 A =B


零矩阵: 元素都是零的矩阵称为零矩阵,记作 0,注意不同型的零矩阵是不 同的,(因为矩阵的行列数不同)

对角矩阵: 从左上角到右下角的直线(叫做对角线)以外的元素都 是 0
单位矩阵: 对角矩阵中对角线上的元素都是 1,其他元素都是 0,这种矩阵 叫做单位矩阵,简称单位阵

对称矩阵: 设 A 为n阶方阵,如果aij=aji(i,j=1,2,…,n),那么A称为对称矩阵,简称对称阵,对称矩阵的特点是:它的元素以对角线为对称轴对应相等

五、矩阵的运算
1、矩阵的加法
只有两个矩阵是同型矩阵时,这两个矩阵才能进行加法运算,矩阵加 法满足下列运算规律(设 A,B,C 都是 m×n 矩阵):
(i) A+B=B+A
(ii)(A+B)+C=A+(B+C)

2、矩阵的减法

3、数与矩阵相乘
数λ与矩阵 A 的乘积记作λA 或 Aλ,规定为

数乘矩阵满足下列运算规律(设 A、B 为 m×n 矩阵,λ、μ为数)
(i) (λμ)A =λ(μA)
(ii) (λ+μ)A =λA+μA
(iii) λ(A+B)=λA +λB
矩阵加法与矩阵数乘统称为矩阵的线性运算

4、矩阵的相乘
只有当第一个矩阵(左矩阵)的列数等于第二个矩阵(右矩阵)的行数时,两个矩阵才能相乘


练习:


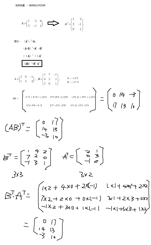
5、矩阵的转置

6、逆矩阵
对于 n 阶矩阵 A ,如果有一个 n 阶矩阵 B ,使
AB=BA=E
则说矩阵 A 是可逆的,并把矩阵 B 称为 A 的逆矩阵,简称逆阵
A 的逆矩阵,表示为 A的逆
逆矩阵的运算:

逆矩阵求解:

7、二阶行列式计算:


8、三阶行列式计算及n阶行列式求解思路:


9、伴随矩阵的求解:



2932

被折叠的 条评论
为什么被折叠?



