二叉树的中序遍历
给定一个二叉树的根节点 root ,返回 它的 中序 遍历 。
示例 1:

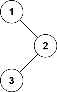
输入:root = [1,null,2,3] 输出:[1,3,2]
示例 2:
输入:root = [] 输出:[]
示例 3:
输入:root = [1] 输出:[1]
提示:
- 树中节点数目在范围
[0, 100]内 -100 <= Node.val <= 100
方法一:递归(最容易想到)
# Definition for a binary tree node.
# class TreeNode:
# def __init__(self, val=0, left=None, right=None):
# self.val = val
# self.left = left
# self.right = right
class Solution:
def inorder(self, root: Optional[TreeNode], res: List[int]) -> None:
if not root:
return
#中序遍历:左中右
#很容易改成前序/后序遍历
self.inorder(root.left, res)
res.append(root.val)
self.inorder(root.right, res)
def inorderTraversal(self, root: Optional[TreeNode]) -> List[int]:
res = []
self.inorder(root, res)
return res
方法二:颜色标记(模拟栈)
兼具栈迭代方法的高效,又像递归方法一样简洁易懂
class Solution:
def inorderTraversal(self, root: Optional[TreeNode]) -> List[int]:
#第一次访问到节点,置节点为白色
#已访问到节点,把节点置为灰色
#如果遇到的节点是白色,则将其置为灰色,并将其右子节点、自身、左子节点分别入栈
#(因为是模拟栈先进后出,所以需要先让右子节点入栈)
#如果遇到的节点是灰色,则将节点的值加到res中
White, Grey = 0, 1
res = []
stk = [(White, root)]
while stk:
color, node = stk.pop()
if not node:
continue
if color == White:
#这里也很好改成前序/中序遍历
stk.append((White, node.right))
stk.append((Grey, node))
stk.append((White, node.left))
else:
res.append(node.val)
return res
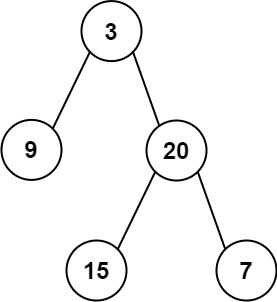
二叉树的最大深度
给定一个二叉树 root ,返回其最大深度。
二叉树的 最大深度 是指从根节点到最远叶子节点的最长路径上的节点数。
示例 1:

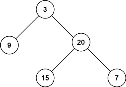
输入:root = [3,9,20,null,null,15,7] 输出:3
示例 2:
输入:root = [1,null,2] 输出:2
提示:
- 树中节点的数量在
[0, 104]区间内 -100 <= Node.val <= 100
方法一:深度优先搜索(dfs)
bfs的核心思想是递归实现
class Solution:
def maxDepth(self, root: Optional[TreeNode]) -> int:
if not root:
return 0
return max(self.maxDepth(root.left), self.maxDepth(root.right)) + 1
方法二:广度优先搜索(bfs)
bfs的核心思想是用队列queue实现
class Solution:
def maxDepth(self, root: Optional[TreeNode]) -> int:
if not root:
return 0
queue = [root]
res = 0
while queue:
tmp = []
#每次把一层的节点都放入tmp
for node in queue:
if node.left:
tmp.append(node.left)
if node.right:
tmp.append(node.right)
queue = tmp
res += 1
return res
翻转二叉树
给你一棵二叉树的根节点 root ,翻转这棵二叉树,并返回其根节点。
示例 1:

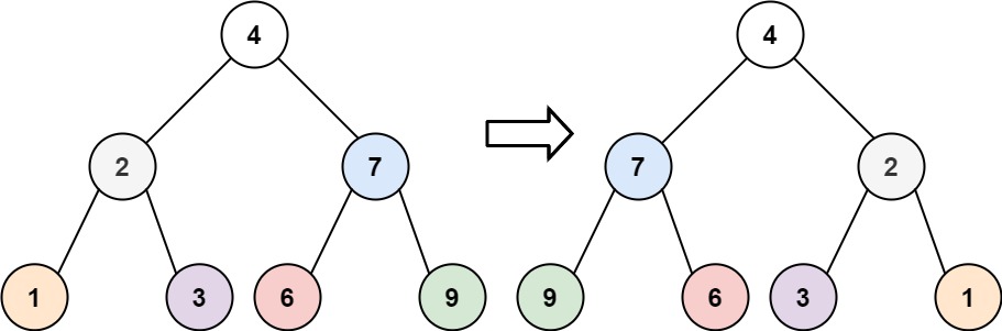
输入:root = [4,2,7,1,3,6,9] 输出:[4,7,2,9,6,3,1]
示例 2:

输入:root = [2,1,3] 输出:[2,3,1]
示例 3:
输入:root = [] 输出:[]
提示:
- 树中节点数目范围在
[0, 100]内 -100 <= Node.val <= 100
方法一:dfs
class Solution:
def invertTree(self, root: Optional[TreeNode]) -> Optional[TreeNode]:
if not root:
return
#先把左右两棵子树交换
root.left, root.right = root.right, root.left
#再递归去处理左子树后面的节点以及右子树后面的节点
self.invertTree(root.left)
self.invertTree(root.right)
return root
方法二:bfs
class Solution:
def invertTree(self, root: Optional[TreeNode]) -> Optional[TreeNode]:
if not root:
return
queue = [root]
while queue:
tmp = queue.pop(0)
tmp.left, tmp.right = tmp.right, tmp.left
if tmp.left:
queue.append(tmp.left)
if tmp.right:
queue.append(tmp.right)
return root
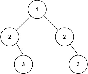
对称二叉树
给你一个二叉树的根节点 root , 检查它是否轴对称。
示例 1:

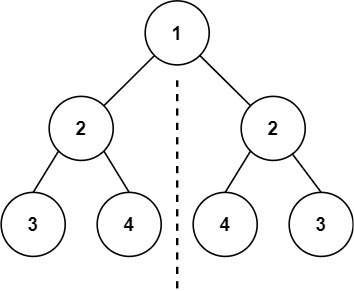
输入:root = [1,2,2,3,4,4,3] 输出:true
示例 2:

输入:root = [1,2,2,null,3,null,3] 输出:false
提示:
- 树中节点数目在范围
[1, 1000]内 -100 <= Node.val <= 100
方法一:dfs
二叉树对称,就是左右两边相等,所以要递归处理左右两棵子树。
将根节点左子树记为left,根节点右子树记为right。比较left和right的值是否相等,不相等直接返回,相等的话再比较left的的左子节点和right的右子节点,left的右子节点和right的左子节点。
规律:左子树的左子节点=右子树的右子节点
左子树的右子节点=右子树的左子节点
class Solution:
def isSymmetric(self, root: Optional[TreeNode]) -> bool:
#定义递归函数
def dfs(left, right):
#递归终止条件:
#1.左右两个节点同时为空,true
if not left and not right:
return True
#2.左右两个节点中一个为空,false
#注意:1和2顺序不能换
if not left or not right:
return False
#3.左右两个节点的值不相等
if left.val != right.val:
return False
#继续递归处理:左左==右右? 左右==右左?
return dfs(left.left, right.right) and dfs(left.right, right.left)
#调用递归函数
return dfs(root.left, root.right)
方法二:bfs
和递归思想相差不大。
首先从队列中拿出两个节点(left 和 right)比较,相等的话将 left 的 left 节点和 right 的 right 节点放入队列,将 left 的 right 节点和 right 的 left 节点放入队列
class Solution:
def isSymmetric(self, root: Optional[TreeNode]) -> bool:
#节点数目的取值范围[1, 1000],所以先判断一下是不是只有一个节点
if not root.left and not root.right:
return True
queue = [root.left, root.right]
while queue:
#把队列中前两个节点取出来
left = queue.pop(0)
right = queue.pop(0)
#和dfs一样的判断过程
if not left and not right:
continue #这里不返回true,因为可能刚比较完左左和右右,还没有比较左右和右左
if not left or not right:
return False
if left.val != right.val:
return False
#下面之所以这样放是因为每次比较的时候都是取queue的前两个节点来比较
#再把 左左 右右 放进队列
queue.append(left.left)
queue.append(right.right)
#把 左右 右左 放进队列
queue.append(left.right)
queue.append(right.left)
return True
因为本题给的节点数目的范围是[1,1000],所以代码里我没有判断root是否为空的情况
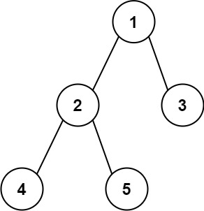
二叉树的直径
给你一棵二叉树的根节点,返回该树的 直径 。
二叉树的 直径 是指树中任意两个节点之间最长路径的 长度 。这条路径可能经过也可能不经过根节点 root 。
两节点之间路径的 长度 由它们之间边数表示。
示例 1:

输入:root = [1,2,3,4,5] 输出:3 解释:3 ,取路径 [4,2,1,3] 或 [5,2,1,3] 的长度。
示例 2:
输入:root = [1,2] 输出:1
提示:
- 树中节点数目在范围
[1, 104]内 -100 <= Node.val <= 100
dfs
直径等于该路径上节点的个数减一。
而一个节点的深度等于从该节点到其叶子节点的所有节点的个数。

class Solution:
def diameterOfBinaryTree(self, root: Optional[TreeNode]) -> int:
#ans为路径上节点的数量。根据节点的范围,最少有一个节点
self.ans = 1
#dfs求深度以及更新ans
def dfs(root):
if not root:
return 0
l = dfs(root.left)
r = dfs(root.right)
self.ans = max(self.ans, l + r + 1) #更新最大节点数量
return max(l, r) + 1 #求节点深度
dfs(root)
return self.ans - 1
bfs比较麻烦,先不想了
二叉树的层序遍历
给你二叉树的根节点 root ,返回其节点值的 层序遍历 。 (即逐层地,从左到右访问所有节点)。
示例 1:

输入:root = [3,9,20,null,null,15,7] 输出:[[3],[9,20],[15,7]]
示例 2:
输入:root = [1] 输出:[[1]]
示例 3:
输入:root = [] 输出:[]
提示:
- 树中节点数目在范围
[0, 2000]内 -1000 <= Node.val <= 1000
bfs
本题比较简单,直接用bfs
class Solution:
def levelOrder(self, root: Optional[TreeNode]) -> List[List[int]]:
if not root:
return []
res, q = [], deque()
q.append(root)
while q:
tmp = []
for _ in range(len(q)):
node = q.popleft()
tmp.append(node.val)
if node.left:
q.append(node.left)
if node.right:
q.append(node.right)
res.append(tmp)
return res
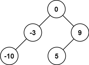
将有序数组转换为二叉搜索树
给你一个整数数组 nums ,其中元素已经按 升序 排列,请你将其转换为一棵 平衡 二叉搜索树。
示例 1:

输入:nums = [-10,-3,0,5,9] 输出:[0,-3,9,-10,null,5] 解释:[0,-10,5,null,-3,null,9] 也将被视为正确答案:

示例 2:

输入:nums = [1,3] 输出:[3,1] 解释:[1,null,3] 和 [3,1] 都是高度平衡二叉搜索树。
提示:
1 <= nums.length <= 104-104 <= nums[i] <= 104nums按 严格递增 顺序排列
基本概念
二叉搜索树(BST)
二叉搜索树(BST,Binary Search Tree)的本质是带有序规则的二叉树,即左小右大的二叉树。其所有节点都满足:
1.左子树中所有节点的值<当前节点的值
2.右子树中所有节点的值>当前节点的值

平衡二叉搜索树(Self-Balanced BST)
平衡二叉搜索树首先是一棵二叉搜索树,在此基础上增加了平衡条件:
树上所有节点的 |左子树高度-右子树高度| ≤ 1
例子:AVL树,红黑树,B树
中序遍历+递归
题目分析:二叉搜索树的中序遍历就是升序序列,所以题目给的数组可以看成是二叉搜索树的中序遍历。
但是给定二叉搜索树的中序遍历不能确定唯一的一棵二叉搜索树,因为任意一个数字都可以作为BST的根节点

但是即使增加了高度限制,使其成为平衡二叉搜索树,结果也不是唯一的。

为实现平衡二叉搜索树,直观的看就是每次选择数组的中间数字作为根节点,数组长度是奇数,中间数字是唯一的,数组长度是偶数,中间位置做遍的数字或中间位置右边的数字作为根节点都行。
确定好根节点后,左子树和右子树的处理过程一样,所以递归处理。
class Solution:
def sortedArrayToBST(self, nums: List[int]) -> Optional[TreeNode]:
if not nums:
return None
mid = len(nums)//2
root = TreeNode(nums[mid])
root.left = self.sortedArrayToBST(nums[0: mid])
root.right = self.sortedArrayToBST(nums[mid + 1: ])
return root
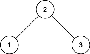
验证二叉搜索树
给你一个二叉树的根节点 root ,判断其是否是一个有效的二叉搜索树。
有效 二叉搜索树定义如下:
- 节点的左子树只包含 严格小于 当前节点的数。
- 节点的右子树只包含 严格大于 当前节点的数。
- 所有左子树和右子树自身必须也是二叉搜索树。
示例 1:

输入:root = [2,1,3] 输出:true
示例 2:

输入:root = [5,1,4,null,null,3,6] 输出:false 解释:根节点的值是 5 ,但是右子节点的值是 4 。
提示:
- 树中节点数目范围在
[1, 104]内 -231 <= Node.val <= 231 - 1
方法一:直接DFS递归判断
之前我的一个错误思路是没有用 [lower,upper] 去维护一个上界下界,每次递归都是只和当前root的值去比较,这就导致只检查了左右孩子而没有考虑左右子树
学到了python定义无穷的方式: 正无穷 float('inf') 负无穷 float('-inf')
class Solution:
def isValidBST(self, root: Optional[TreeNode]) -> bool:
#错误想法
# def dfs(root):
# if not root:
# return
# if root.left.val > root.val:
# return False
# if root.right.val < root.val:
# return False
# self.isValidBST(root.left)
# self.isValidBST(root.right)
def dfs(root, lower = float('-inf'), upper = float('inf')):
if not root:
return True
if root.val >= upper or root.val <= lower:
return False
if not dfs(root.left, lower, root.val):
return False
if not dfs(root.right, root.val, upper):
return False
return True
return dfs(root)
方法二:DFS中序遍历,序列是否升序判断
二叉搜索树的中序遍历是一个升序的序列,所以可以中序遍历此二叉树,比较当前节点的值与前一个遍历到的节点的值的大小。
class Solution:
def isValidBST(self, root: Optional[TreeNode]) -> bool:
#记录前一个节点
self.prv = None
#dfs中序遍历
def inorder(root):
if not root:
return True
#递归左子树
if not inorder(root.left):
return False
#比较当前节点的值和上一个节点的值
if self.prv and root.val <= self.prv.val:
return False
self.prv = root #更新prv
#递归右子树
if not inorder(root.right):
return False
return True
return inorder(root)
二叉搜索树中第K小的元素
中序遍历
很容易想到的思路:因为BST的中序遍历序列是升序的
class Solution:
def kthSmallest(self, root: Optional[TreeNode], k: int) -> int:
def inorder(root, res):
if not root:
return
inorder(root.left, res)
res.append(root.val)
inorder(root.right, res)
res = []
inorder(root, res)
return res[k - 1]
大神优化后的,不需要全部遍历
class Solution:
def kthSmallest(self, root: Optional[TreeNode], k: int) -> int:
def dfs(root):
if not root:
return
dfs(root.left)
if self.k == 0:
return
self.k -= 1
if self.k == 0:
self.res = root.val
dfs(root.right)
self.k = k
dfs(root)
return self.res
二叉树的右视图
给定一个二叉树的 根节点 root,想象自己站在它的右侧,按照从顶部到底部的顺序,返回从右侧所能看到的节点值。
示例 1:
输入:root = [1,2,3,null,5,null,4]
输出:[1,3,4]
解释:

示例 2:
输入:root = [1,2,3,4,null,null,null,5]
输出:[1,3,4,5]
解释:

示例 3:
输入:root = [1,null,3]
输出:[1,3]
示例 4:
输入:root = []
输出:[]
提示:
- 二叉树的节点个数的范围是
[0,100] -100 <= Node.val <= 100
bfs
层序遍历的方法很好想到,每到新的一层,从右到左遍历元素,最先遍历到的元素就是最右边的节点,则加答案里
class Solution:
def rightSideView(self, root: Optional[TreeNode]) -> List[int]:
if not root:
return []
ans = []
q = deque([root])
while q:
ans.append(q[0].val)
n = len(q)
for _ in range(n):
node = q.popleft()
if node.right:
q.append(node.right)
if node.left:
q.append(node.left)
return ans
dfs
思路一样,每次都是先访问柚子树
class Solution:
def rightSideView(self, root: Optional[TreeNode]) -> List[int]:
self.ans = []
def dfs(root, depth):
if not root:
return
if depth == len(self.ans):
self.ans.append(root.val)
dfs(root.right, depth + 1)
dfs(root.left, depth + 1)
dfs(root, 0)
return self.ans
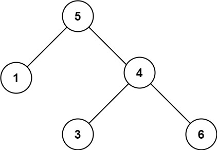
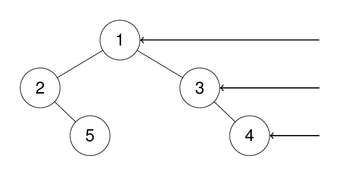
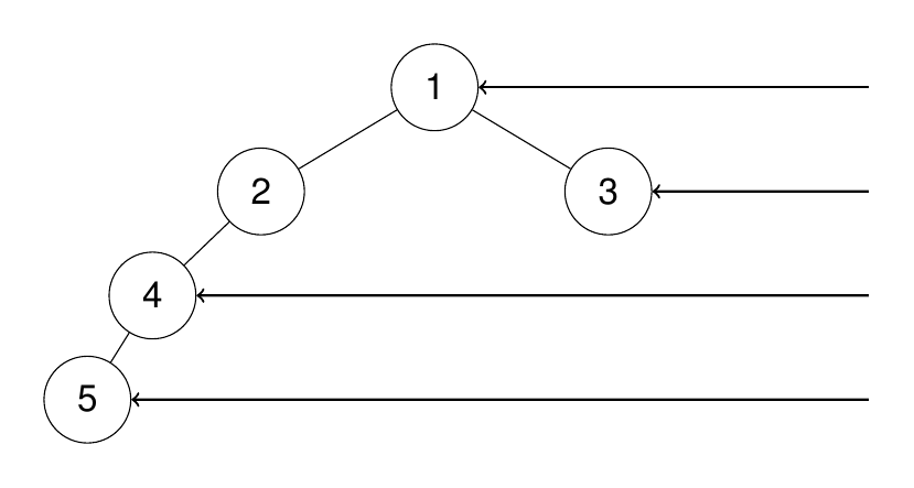
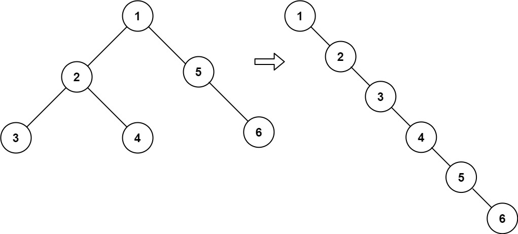
二叉树展开为链表
给你二叉树的根结点 root ,请你将它展开为一个单链表:
- 展开后的单链表应该同样使用
TreeNode,其中right子指针指向链表中下一个结点,而左子指针始终为null。 - 展开后的单链表应该与二叉树 先序遍历 顺序相同。
示例 1:

输入:root = [1,2,5,3,4,null,6] 输出:[1,null,2,null,3,null,4,null,5,null,6]
示例 2:
输入:root = [] 输出:[]
示例 3:
输入:root = [0] 输出:[0]
提示:
- 树中结点数在范围
[0, 2000]内 -100 <= Node.val <= 100
先序遍历和链表展开分着进行
空间复杂度O(n)
class Solution:
def flatten(self, root: Optional[TreeNode]) -> None:
"""
Do not return anything, modify root in-place instead.
"""
preorder = []
def dfs(root):
if not root:
return
preorder.append(root)
dfs(root.left)
dfs(root.right)
dfs(root)
n = len(preorder)
for i in range(1, n):
cur = preorder[i]
prev = preorder[i - 1]
prev.left = None
prev.right = cur
寻找前驱节点
空间复杂度O(1)
从根节点开始,如果根节点存在左子树,那就找左子树最下面的最右边的节点,然后把根节点的右子作为此节点的右子树,之后把根节点的右子树更新为左子树,左子树更新为。后边继续往下遍历,更新节点。

class Solution:
def flatten(self, root: Optional[TreeNode]) -> None:
"""
Do not return anything, modify root in-place instead.
"""
cur = root
while cur:
if cur.left:
prev = cur.left
while prev.right:
prev = prev.right
prev.right = cur.right
cur.right = cur.left
cur.left = None
cur = cur.right
从前序与中序遍历序列构造二叉树
给定两个整数数组 preorder 和 inorder ,其中 preorder 是二叉树的先序遍历, inorder 是同一棵树的中序遍历,请构造二叉树并返回其根节点。
示例 1:

输入: preorder = [3,9,20,15,7], inorder = [9,3,15,20,7] 输出: [3,9,20,null,null,15,7]
示例 2:
输入: preorder = [-1], inorder = [-1] 输出: [-1]
提示:
1 <= preorder.length <= 3000inorder.length == preorder.length-3000 <= preorder[i], inorder[i] <= 3000preorder和inorder均 无重复 元素inorder均出现在preorderpreorder保证 为二叉树的前序遍历序列inorder保证 为二叉树的中序遍历序列
递归
前序遍历:【根】【左子树】【右子树】
中序遍历:【左子树】【根】【右子树】
前序遍历的第一个元素就是根节点,则根据根节点的值在中序遍历序列中定位根节点的位置,该位置左边的数字都属于左子树,右边的数字都属于右子树,又因为前序和中序中左子树节点数量、右子树节点数量都是相等的,所以也可以确定前序遍历哪些数字属于左子树,哪些属于右子树。

class Solution:
def buildTree(self, preorder: List[int], inorder: List[int]) -> Optional[TreeNode]:
#这个是非常直接的思路
if not preorder:
return None
root = TreeNode(preorder[0])
mid = inorder.index(preorder[0])
root.left = self.buildTree(preorder[1: mid + 1], inorder[0:mid])
root.right = self.buildTree(preorder[mid+1:], inorder[mid+1:])
return root
递归优化版
利用哈希表存储中序遍历中每个值的索引,不用每次递归的时候再次用inorder.index了
root是当前子树根节点在前序遍历中的索引,left是当前子树在中序遍历中的左边界,right是当前子树在中序遍历中的右边界。
递归的时候:当前子树的左子树的根节点在前序遍历中的索引是root+1,右子树根节点在前序遍历中的索引=根节点位置+左子树长度+1 = root + i - left + 1。
当前子树根节点在中序遍历中的索引为i,则左子树节点索引为[left, i - 1],右子树节点索引为[i + 1, right],所以左子树长度为 i - 1 - left + 1 = i - left。
递归停止条件是left > right

class Solution:
def buildTree(self, preorder: List[int], inorder: List[int]) -> Optional[TreeNode]:
#哈希表存储中序遍历中每个值的索引
dic = {}
n = len(inorder)
for i in range(n):
dic[inorder[i]] = i
def helper(root, left, right):
#递归终止条件
if left > right:
return
node = TreeNode(preorder[root])
i = dic[preorder[root]]
#递归处理左右子树
node.left = helper(root + 1, left, i - 1)
node.right = helper(root + i - left + 1, i + 1, right)
return node
#初始,根节点在前序中的索引是0(第一个元素)
#中序遍历中左边界0,右边界len - 1
return helper(0, 0, n - 1)
路径总和III
给定一个二叉树的根节点 root ,和一个整数 targetSum ,求该二叉树里节点值之和等于 targetSum 的 路径 的数目。
路径 不需要从根节点开始,也不需要在叶子节点结束,但是路径方向必须是向下的(只能从父节点到子节点)。
示例 1:

输入:root = [10,5,-3,3,2,null,11,3,-2,null,1], targetSum = 8 输出:3 解释:和等于 8 的路径有 3 条,如图所示。
示例 2:
输入:root = [5,4,8,11,null,13,4,7,2,null,null,5,1], targetSum = 22 输出:3
提示:
- 二叉树的节点个数的范围是
[0,1000] -109 <= Node.val <= 109-1000 <= targetSum <= 1000
前缀和+哈希表+dfs回溯
目标和为targetSum,当前节点为cur,其前缀和为S。
如果存在某个祖先节点的前缀和为S - targetSum,则说明从该祖先节点的下一个节点到当前节点的路径和为targetSum(因为 S - (S - targetSum) = targetSum)
class Solution:
def pathSum(self, root: Optional[TreeNode], targetSum: int) -> int:
#哈希表存储前缀和的值及其出现的次数
prefix = defaultdict(int)
prefix[0] = 1 #初始化,前缀和为0的情况出现1次
def dfs(node, sum):
if not node:
return 0
res = 0
sum += node.val #更新前缀和
res += prefix[sum - targetSum]
prefix[sum] += 1
res += dfs(node.left, sum)
res += dfs(node.right, sum)
prefix[sum] -= 1 #回溯
return res
return dfs(root, 0)
二叉树的最近公共祖先
给定一个二叉树, 找到该树中两个指定节点的最近公共祖先。
百度百科中最近公共祖先的定义为:“对于有根树 T 的两个节点 p、q,最近公共祖先表示为一个节点 x,满足 x 是 p、q 的祖先且 x 的深度尽可能大(一个节点也可以是它自己的祖先)。”
示例 1:

输入:root = [3,5,1,6,2,0,8,null,null,7,4], p = 5, q = 1 输出:3 解释:节点5和节点1的最近公共祖先是节点3 。
示例 2:

输入:root = [3,5,1,6,2,0,8,null,null,7,4], p = 5, q = 4 输出:5 解释:节点5和节点4的最近公共祖先是节点5。因为根据定义最近公共祖先节点可以为节点本身。
示例 3:
输入:root = [1,2], p = 1, q = 2 输出:1
提示:
- 树中节点数目在范围
[2, 105]内。 -109 <= Node.val <= 109- 所有
Node.val互不相同。 p != qp和q均存在于给定的二叉树中。
dfs递归+回溯
递归遍历二叉树,通过「自底向上」(保证深度最深)的判断逻辑,确定 p 和 q 的公共祖先。核心逻辑是:
- 若当前节点的左子树包含 p 或 q,且右子树也包含 p 或 q,则当前节点就是 LCA;
- 若只有左子树包含 p 或 q,则左子树的结果就是 LCA;
- 若只有右子树包含 p 或 q,则右子树的结果就是 LCA;
递归终止条件
if root == q or root == p or root == None:
return root
- 如果当前节点
root是 p、是 q,或者是None(空节点),直接返回root。 - 作用:
- 若
root是 p 或 q:说明在当前路径上找到了目标节点,返回它(供上层判断); - 若
root是None:说明当前路径上没有 p 或 q,返回空(表示未找到)。
- 若
递归遍历左右子树
left = self.lowestCommonAncestor(root.left, p, q) # 左子树中寻找p/q的结果
right = self.lowestCommonAncestor(root.right, p, q) # 右子树中寻找p/q的结果
- 递归处理当前节点的左子树和右子树,分别得到左子树中是否包含 p/q 的结果(
left),以及右子树中是否包含 p/q 的结果(right)。 - 注意:
left和right的返回值可能是None(子树中无 p/q),也可能是 p、q,或它们的公共祖先。
判断当前节点是否为LCA
if left and right:
return root # 左、右子树各包含一个目标节点 → 当前节点是LCA
if left == None and right:
return right # 只有右子树有目标节点 → 右子树的结果是LCA
elif left and right == None:
return left # 只有左子树有目标节点 → 左子树的结果是LCA
else:
return None # 左右子树都没有目标节点 → 返回空
left和right都不为空:说明 p 和 q 分别在当前节点的左子树和右子树中(左子树找到一个,右子树找到另一个),因此当前节点root就是它们的最近公共祖先。left为空,right不为空:说明 p 和 q 都在右子树中(右子树的结果已经是它们的公共祖先),因此返回right。left不为空,right为空:类似情况 2,p 和 q 都在左子树中,返回left。left和right都为空:说明当前子树中既没有 p 也没有 q,返回空。
完整代码
# Definition for a binary tree node.
# class TreeNode:
# def __init__(self, x):
# self.val = x
# self.left = None
# self.right = None
class Solution:
def lowestCommonAncestor(self, root: 'TreeNode', p: 'TreeNode', q: 'TreeNode') -> 'TreeNode':
if root == p or root == q or root == None:
return root
left = self.lowestCommonAncestor(root.left, p ,q)
right = self.lowestCommonAncestor(root.right, p, q)
if left and right:
return root
if not left and right:
return right
if left and not right:
return left
if not left and not right:
return None
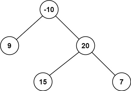
二叉树中的最大路径和
二叉树中的 路径 被定义为一条节点序列,序列中每对相邻节点之间都存在一条边。同一个节点在一条路径序列中 至多出现一次 。该路径 至少包含一个 节点,且不一定经过根节点。
路径和 是路径中各节点值的总和。
给你一个二叉树的根节点 root ,返回其 最大路径和 。
示例 1:

输入:root = [1,2,3] 输出:6 解释:最优路径是 2 -> 1 -> 3 ,路径和为 2 + 1 + 3 = 6
示例 2:

输入:root = [-10,9,20,null,null,15,7] 输出:42 解释:最优路径是 15 -> 20 -> 7 ,路径和为 15 + 20 + 7 = 42
提示:
- 树中节点数目范围是
[1, 3 * 104] -1000 <= Node.val <= 1000
dfs递归+回溯
maxsum是最大路径和,dfs函数中的返回值是以当前子树的root为开始节点的最长的路径和(智能是该root的节点的值+max(左子树的值,右子树的值))
当节点的值是负数的时候,当成0处理,因为不会把该节点加进总路径
# Definition for a binary tree node.
# class TreeNode:
# def __init__(self, val=0, left=None, right=None):
# self.val = val
# self.left = left
# self.right = right
class Solution:
def maxPathSum(self, root: Optional[TreeNode]) -> int:
self.maxsum = root.val
def dfs(root):
if not root:
return 0
left = dfs(root.left)
right = dfs(root.right)
left = max(left, 0)
right = max(right, 0)
self.maxsum = max(self.maxsum, left + right + root.val)
return max(left, right) + root.val
dfs(root)
return self.maxsum
352

被折叠的 条评论
为什么被折叠?



