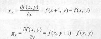
梯度算子,来至于《数字图像处理(第三版) 冈萨雷斯》,其中x表示垂直方向,y表示水平方向。

在《数字图像处理的MATLAB实现》中

在OpenCV中 ,是按照上述公式的
I1 = np.arange(9,dtype = 'uint8').reshape(3,3) +1
grad_y = cv.Sobel(I1,-1,0,1,ksize=3)
print(grad_y)
在MATLAB中,是按照上述公式的
sx = fspecial('sobel'); % 结果和上面的因子顺序不一样。
I = reshape(1:9,3,3)';
% imfilter(I,sx,'replicate') % 这个不是卷积
imfilter(I,sx,'replicate','conv')
梯度算子在图像处理中的应用
本文探讨了梯度算子在数字图像处理中的应用,对比了MATLAB、OpenCV及《数字图像处理(第三版)冈萨雷斯》中的梯度算子公式,并通过具体实例展示了梯度算子在不同平台上的实现方式。
665

被折叠的 条评论
为什么被折叠?



