(1) Classical multi-objective optimization methods have been around for at least four decades.

(2) Weighted Sum Methods(加权和法)
(1) 因为各个目标的数据什么都不一致,为了方便比较,使用归一化或者是标准化。 目的是同一个量级
我有100给你花50,同 我有十块给你花5块的量级都是 花了 50%
(2)根据结果分配不同的权重, 权重之和为1
标准公式:
(3) 定理:
通过反证法证明:假设所有的w为正数,但获解并不是Pareto-ptimal然后证明矛盾。
该定理并没有说明:只有获得 正数w就可以得到pareto最优,但是Theorem 3.1.2则证明在凸函数中通过获得正数权重 向量w就可以得到Pareto最优
证明:以两个目标的为例 w1确定则w2 = 1-w1
以下: 自己对书本的理解,有误还请指正
(4)举例子计算:
题目:
第一步: 构造表达式:
第二步: 根据各目标函数绘制目标空间
第三步(1): 找 最小值解,从而确定满足的w1
then----
(2) 满足黑塞矩阵
另外:
加权法并不适用与非凸函数:因为按照之前的寻找切点的方法,跟没没有办法获得凸型的切点,导致其 访问不了中间凹进去的部分(我是这么理解的)
(3) ε-Constraint Methods
目的: 克服加权法不能应用在非凸函数的 缺陷
(1) 定义
好像是将非凸函数,通过以上的条件划分,然后转化为凸函数
(2)该方法处理非凸以及凸函数的定理
(3)举例子证明:
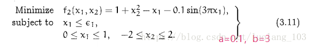
题目:
计算各种条件---然得到各参数的值
then-------
当a=0.2,b=3
多目标优化方法解析

本文深入探讨了经典多目标优化方法的历史,重点介绍了加权和法及其在目标数据不一致情况下的应用,通过归一化和权重分配实现不同目标间的比较。同时,文章分析了加权法在非凸函数中的局限性,并提出了ε-约束法作为解决方案。






then----







then-------


2201

被折叠的 条评论
为什么被折叠?



