用到的数据和代码都在我的资源里,免费下载,看看能不能下载,不能我再搞,本来数据就是免费的,我上传后给我自动搞成了vip
1.导入相关库
先把常用的matplotlib,pandas,seaborn导入进去,并处理文字的显示问题

2.导入数据
| city | address | area | floor | name | price | province | rooms | toward | unit | year | origin_url | |||||
| 0 | 合肥 | 龙岗-临泉东路和王岗大道交叉口东南角 | 90㎡ | 中层(共18层) | 圣地亚哥 | 128万 | 安徽 | 3室2厅 | 南北向 | 14222元/㎡ | 2013年建 | https://hf.esf.fang.com/chushou/3_404230646.htm | ||||
| 1 | 合肥 | 龙岗-临泉东路和王岗大道交叉口东南角 | 90㎡ | 中层(共18层) | 圣地亚哥 | 128万 | 安徽 | 3室2厅 | 南北向 | 14222元/㎡ | 2013年建 | https://hf.esf.fang.com/chushou/3_404230646.htm | ||||
| 2 | 合肥 | 生态公园-淮海大道与大众路交口 | 95㎡ | 中层(共18层) | 正荣·悦都荟 | 132万 | 安徽 | 3室2厅 | 南向 | 13895元/㎡ | 2019年建 | https://hf.esf.fang.com/chushou/3_404304901.htm | ||||
| 3 | 合肥 | 生态公园-淮海大道与大众路交口 | 95㎡ | 中层(共18层) | 正荣·悦都荟 | 132万 | 安徽 | 3室2厅 | 南向 | 13895元/㎡ | 2019年建 | https://hf.esf.fang.com/chushou/3_404304901.htm | ||||
| 4 | 合肥 | 撮镇-文一名门金隅裕溪路与东风大道交口 | 37㎡ | 中层(共22层) | 文一名门金隅 | 32万 | 安徽 | 2室1厅 | 南北向 | 8649元/㎡ | 2017年建 | https://hf.esf.fang.com/chushou/3_404372096.htm |
3.数据概览
在分析数据之前我们要先看一下数据大致情况,尤其是info检查数据类型和缺失值

4.数据清洗
①删除无用的列
②检查缺失值--这里我们选择直接删除缺失值
③删除重复值
④完成相应的数据类型的转换
⑤异常值的处理
5.数据特征的构造
①提取地址当中的二级地区
②提取楼层当中的三个等级
③判断是否是直辖市
④提取卧室和厅的数量
⑤计算楼层的年龄
6.问题分析及可视化
(我们只选择几个典型的问题)
①哪些变量最影响房价?

②房价的全国分布

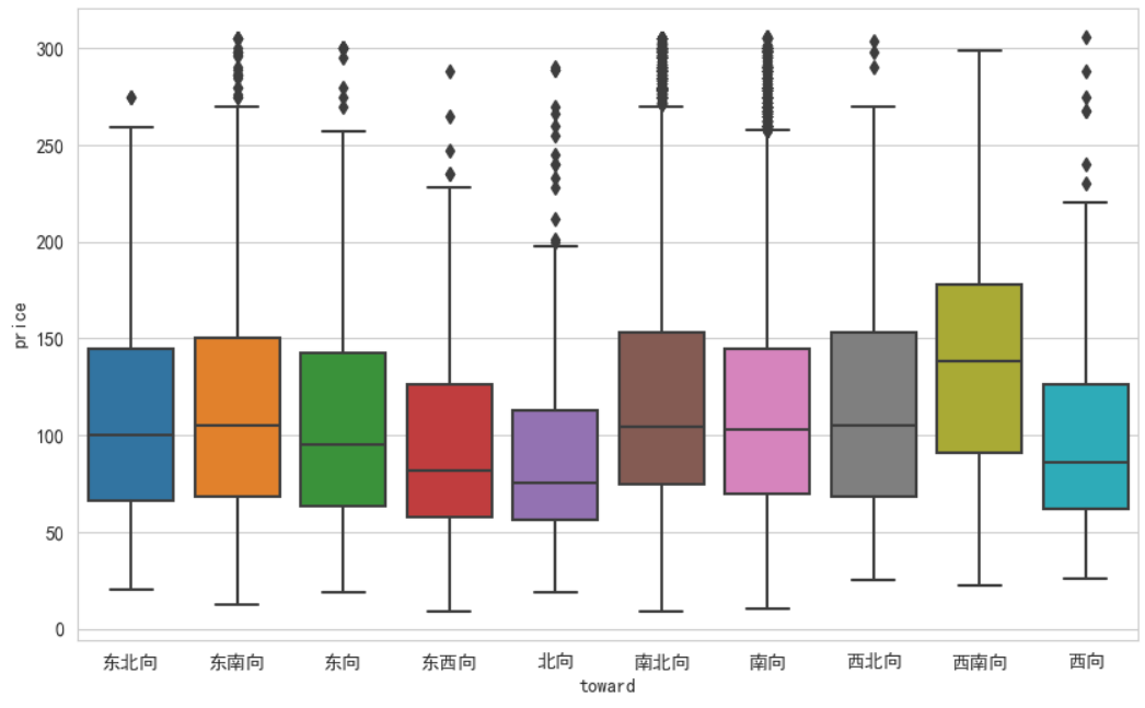
③朝向对价格的差异

1933

被折叠的 条评论
为什么被折叠?



