算法拾遗二十三之暴力递归到动态规划一
题目一
假设有排成一行的N个位置,记为1~N,N 一定大于或等于 2 开始时机器人在其中的M位置上(M 一定是 1~N 中的一个) 如果机器人来到1位置,那么下一步只能往右来到2位置; 如果机器人来到N位置,那么下一步只能往左来到 N-1 位置; 如果机器人来到中间位置,那么下一步可以往左走或者往右走; 规定机器人必须走 K 步,最终能来到P位置(P也是1~N中的一个)的方法有多少种 给定四个参数 N、M、K、P,返回方法数。

方法一:
/**
*
* @param N 一共有多少个位置
* @param start 开始位置
* @param aim 目标位置
* @param K 移动步数
* @return
*/
public static int ways1(int N, int start, int aim, int K) {
if (N < 2 || start < 1 || start > N || aim < 1 || aim > N || K < 1) {
return -1;
}
return process1(start, K, aim, N);
}
// 机器人当前来到的位置是cur,
// 机器人还有rest步需要去走,
// 最终的目标是aim,
// 有哪些位置?1~N
// 返回:机器人从cur出发,走过rest步之后,最终停在aim的方法数,是多少?
public static int process1(int cur, int rest, int aim, int N) {
if (rest == 0) { // 如果已经不需要走了,走完了!
//如果当前的位置等于aim位置则方案数加一,否则方案数不变
return cur == aim ? 1 : 0;
}
//rest > 0,还有步数要走
// (cur, rest)
if (cur == 1) { // 1 -> 2
return process1(2, rest - 1, aim, N);
}
// (cur, rest)
if (cur == N) { // N-1 <- N
return process1(N - 1, rest - 1, aim, N);
}
//机器人停在中间位置上
// (cur, rest)
return process1(cur - 1, rest - 1, aim, N) + process1(cur + 1, rest - 1, aim, N);
}
优化Code(空间换时间)
假设我们机器人从七位置触发可以走十步,然后到13位置结束,可以画出如下模型图

可以看到从7位置出发还有八步要走是个重复值。从而推导cur和rest这两个值是决定最终返回值的key,所以可以采用缓存法
public static int ways2(int N, int start, int aim, int K) {
if (N < 2 || start < 1 || start > N || aim < 1 || aim > N || K < 1) {
return -1;
}
// N+1 * K+1 规模
int[][] dp = new int[N + 1][K + 1];
//初始化dp缓存表
for (int i = 0; i <= N; i++) {
for (int j = 0; j <= K; j++) {
dp[i][j] = -1;
}
}
// dp就是缓存表
// dp[cur][rest] == -1 -> process1(cur, rest)之前没算过
// dp[cur][rest] != -1 -> process1(cur, rest)之前算过,返回值,dp[cur][rest]
// N+1 * K+1
return process2(start, K, aim, N, dp);
}
/**
*
* @param cur 范围: 1 ~ N
* @param rest 范围:0 ~ K
* @param aim
* @param N
* @param dp
* @return
*/
public static int process2(int cur, int rest, int aim, int N, int[][] dp) {
//先查缓存表,如果不等于-1表示我之前算过这种情况
if (dp[cur][rest] != -1) {
return dp[cur][rest];
}
// 之前没算过,则在此处进行计算
int ans = 0;
if (rest == 0) {
ans = cur == aim ? 1 : 0;
} else if (cur == 1) {
ans = process2(2, rest - 1, aim, N, dp);
} else if (cur == N) {
ans = process2(N - 1, rest - 1, aim, N, dp);
} else {
ans = process2(cur - 1, rest - 1, aim, N, dp) + process2(cur + 1, rest - 1, aim, N, dp);
}
//返回之前记录此时答案
dp[cur][rest] = ans;
return ans;
}
优化二
如下图:
机器人在2位置,他要到4位置只能走六步,N=5;

先填入basecase
if(rest == 0) cur ==aim ? 1 : 0;

然后由如上的代码我们知道最终要的位置是start 和k,主函数最终调的是start和k这个返回值。

再分析暴力递归代码,找到依赖关系,cur来到1,则依赖值来到cur在2但是rest-1的位置:


依赖关系如上图。
再来看cur==N,依赖值来到cur=N-1的位置,rest=rest-1的位置


如果是其他位置,则依赖关系如下:

依赖关系如下图:

如上三种情况的依赖关系都有了那么则根据依赖关系来填入这张表:

最终得到2,6的位置为13
public static int ways3(int N, int start, int aim, int k) {
if (N < 2 || start < 1 || start > N || aim < 1 || aim > N || K < 1) {
return -1;
}
int[][] dp = new int[N + 1][k + 1];
dp[aim][0] = 1;
for (int rest = 1; rest <= k; rest++) { //列
//第一行
dp[1][rest] = dp[2][rest - 1];
for (int cur = 2; cur < N; cur++) {
dp[cur][rest] = dp[cur-1][rest-1] + dp[cur+1][rest-1];
}
//最后一行
dp[N][rest] = dp[N - 1][rest - 1];
}
return dp[start][k];
}
题目二
给定一个整型数组arr,代表数值不同的纸牌排成一条线玩家A和玩家B依次拿走每张纸牌规定玩家A先拿,玩家B后拿但是每个玩家每次只能拿走最左或最右的纸牌玩家A和玩家B都绝顶聪明请返回最后获胜者的分数【按照最优的方式做决策】。
例:
有如下数组
【50,100,20,10】
先手:10,100
后手:50,20
最后返回110获胜者分数。
思路:
先手:
函数给定f(arr,L,R)这个范围上面拿牌,最后我能获得的最好分数
是多少返回
basecase:
if(L==R) {
只剩一张牌了 return arr[L]
}
第一种选择arr[L] + g(arr,L+1,R)【以后手姿态拿走的牌】
第二种选择arr[R] + g(arr,L,R-1)【以后手姿态拿走的牌】
最后求一个max出来。
后手:
if(L==R) {
return 0;
}
第一种选择,如果对手拿走arr【L】那么后手就在f(arr,L+1,R)先手
第二种选择,如果对手拿走了arr【R】那么后手就在f(arr,L,R-1)先手
//根据规则返回获胜者的分数
public static int win1(int[] arr) {
if(arr == null || arr.length == 0) {
return 0;
}
int first = f(arr,0,arr.length-1);
int second = g(arr,0,arr.length-1);
return Math.max(first,second);
}
//arr[L..R],先手获得的最好分数返回
public static int f(int[] arr,int L,int R) {
if(L == R) {
return arr[L];
}
int p1 = arr[L] + g(arr,L+1,R);
int p2 = arr[R] + g(arr,L,R-1);
return Math.max(p1,p2);
}
//arr[L...R],后手获得的最好分数返回
public static int g(int[]arr,int L,int R) {
if(L==R) {
return 0;
}
int p1= f(arr,L+1,R); //对手拿走了L位置的数的最优
int p2 = f(arr,L,R-1);//对手拿走了R位置的数的最优
//剩下的小的就是先手的
//你获得的少,他必然获得的多,你是后手,是由对手做的决定,所以只能拿最小
return Math.min(p1,p2);
}
优化一(缓存法)
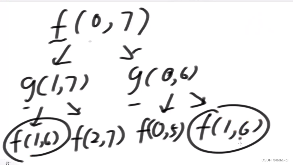
分析如下图可以看出有重复解:

public static int win2(int[] arr) {
if(arr == null || arr.length == 0) {
return 0;
}
int N = arr.length;
int[][] fmap = new int[N][N];
int[][] gmap = new int[N][N];
for(int i = 0 ;i<N;i++) {
for(int j =0;j<N;j++) {
fmap[i][j] = -1;
gmap[i][j] = -1;
}
}
int first = f2(arr,0,arr.length-1,fmap,gmap);
int second = g2(arr,0,arr.length-1,fmap,gmap);
return Math.max(first,second);
}
private static int g2(int[] arr, int L, int R, int[][] fmap, int[][] gmap) {
if(gmap[L][R]!=-1) {
return gmap[L][R];
}
// 省掉一个分支,L==R
int ans = 0;
if(L!=R) {
int p1 = f2(arr,L+1,R,fmap,gmap);
int p2 = f2(arr,L,R-1,fmap,gmap);
ans = Math.min(p1,p2);
}
gmap[L][R] = ans;
return ans;
}
private static int f2(int[] arr, int L, int R, int[][] fmap, int[][] gmap) {
if(fmap[L][R]!= -1) {
return fmap[L][R];
}
int ans = 0;
if(L==R) {
ans = arr[L];
} else {
int p1 = arr[L] + g2(arr,L+1,R,fmap,gmap);
int p2 = arr[R] + g2(arr,L,R-1,fmap,gmap);
ans = Math.max(p1,p2);
}
fmap[L][R] = ans;
return ans;
}
优化三(严格表优化)
如下数组
【7,4,16,15,1】
两张表应该如何填:


如上分别是f表和g表,首先看basecase,得到如下信息


主函数要f这张表里面0-n-1这个格子的值,g要0-n-1的位置,L>R的情况不存在


再找f表的依赖,它依赖g表的L+1和R位置,以及L和R-1位置,再找g表的依赖,g依赖于f这张表的L+1和R位置,以及L和R-1位置。

则可以根据f表的对角线去推出g的对角线,通过g的对角线推f的对角线。
public static int win3(int[] arr) {
if (arr == null || arr.length == 0) {
return 0;
}
int N = arr.length;
int[][] fmap = new int[N][N];
int[][] gmap = new int[N][N];
for (int i = 0; i < N; i++) {
fmap[i][i] = arr[i];
}
for (int startCol = 1; startCol < N; startCol++) {
int row = 0;
int col = startCol;
while (col < N) {
fmap[row][col] = Math.max(arr[row] + gmap[row + 1][col],
arr[col] + gmap[row][col - 1]);
gmap[row][col] = Math.min(fmap[row + 1][col],
fmap[row][col - 1]);
row++;
col++;
}
}
return Math.max(fmap[0][N-1],gmap[0][N-1]);
}
文章讲述了如何将暴力递归算法优化为动态规划,包括使用空间换时间的优化,通过缓存法减少重复计算,以及严格表优化。具体应用示例包括机器人路径问题和纸牌游戏策略问题,展示了如何通过动态规划提高算法效率并找到最优解。

被折叠的 条评论
为什么被折叠?



